Bihar Board Class 11 Physics Solutions Chapter 14 दोलन Textbook Questions and Answers, Additional Important Questions, Notes.
BSEB Bihar Board Class 11 Physics Solutions Chapter 14 दोलन
Bihar Board Class 11 Physics दोलन Text Book Questions and Answers
अभ्यास के प्रश्न एवं उनके उत्तर
प्रश्न 14.1
नीचे दिए गए उदाहरणों में कौन आवर्ती गति को निरूपित करता है?
- किसी तैराक द्वारा नदी के एक तट से दूसरे तट तक जाना और अपनी एक वापसी यात्रा पूरी करना।
- किसी स्वतंत्रतापूर्वक लटकाए गए दंड चुंबक को उसकी N – S दिशा से विस्थापित कर छोड़ देना।
- अपने द्रव्यमान केन्द्र के परितः घूर्णी गति करता कोई हाइड्रोजन अणु।
- किसी कमान से छोड़ा गया तीर।
उत्तर:
- यह आवश्यक नहीं है कि तैराक को प्रत्येक बार वापस लौटने में समान समय लगे। अर्थात् यह गति आवर्ती गति नहीं है।
- दण्ड चुंबक को N – S दिशा से विस्थापित कर छोड़ने पर उसकी गति आवर्ती गति होगी।
- यह गति आवर्ती है।
- तीर छूटने के बाद कभी भी पुनः प्रारम्भिक स्थिति में नहीं लौटता है। अत: यह गति आवर्ती नहीं है।
![]()
प्रश्न 14.2
नीचे दिए गए उदाहरणों में कौन (लगभग) सरल आवर्त गति को तथा कौन आवर्ती परंतु सरल आवर्त गति नहीं निरूपित करते हैं?
- पृथ्वी की अपने अक्ष के परितः घूर्णन गति।
- किसी U नली में दोलायमान पारे के स्तंभ की गति।
- किसी चिकने वक्रीय कटोरे के भीतर एक बॉल बेयरिंग की गति जब उसे निम्नतम बिन्दु से कुछ ऊपर के बिन्दु से मुक्त रूप से छोड़ा जाए।
- किसी बहुपरमाणुक अणु की अपनी साम्यावस्था की स्थिति के परित: व्यापक कंपन।
उत्तर:
- आवर्त गति लेकिन सरल आवर्त गति नहीं है।
- सरल आवर्त गति।
- सरल आवर्त गति
- आवर्ती गति लेकिन सरल आवर्त गति नहीं है।
प्रश्न 14.3
चित्र में किसी कण की रैखिक गति के लिए चार x – t आरेख दिए गए हैं। इनमें से कौन-सा आरेख आवर्ती गति का निरूपण करता है? उस गति का आवर्तकाल क्या है? (आवर्ती गति वाली गति का)।

उत्तर:
(a) ग्राफ से स्पष्ट है कि कण कभी भी अपनी गति की पुनरावृत्ति नहीं करता है; अत: यह गति आवर्ती गति नहीं है।
(b) ग्राफ से ज्ञात है कि कण प्रत्येक 2 s के बाद अपनी गति की पुनरावृत्ति करता है; अतः यह गति एक आवर्ती गति है जिसका आवर्तकाल 2 s है।
(c) यद्यपि कण प्रत्येक 3 s के बाद अपनी प्रारम्भिक स्थिति में लौट रहा है परन्तु दो क्रमागत प्रारम्भिक स्थितियों के बीच कण अपनी गति की पुनरावृत्ति नहीं करता; अतः यह गति आवर्त गति नहीं है।
(d) कण प्रत्येक 2 s के बाद अपनी गति को दोहराता है; अत: यह गति एक आवर्ती गति है जिसका आवर्तकाल 2 s है।
![]()
प्रश्न 14.4
नीचे दिए गए समय के फलनों में कौन –
(a) सरल आवर्त गति
(b) आवर्ती परंतु सरल आवर्त गति नहीं, तथा
(c) अनावर्ती गति का निरूपण करते हैं। प्रत्येक आवर्ती गति का आवर्तकाल ज्ञात कीजिए : (ω कोई धनात्मक अचर है।)
(a) sin ωt – cos ωt
(b) sin3 ωt
(c) 3 cos (\(\frac{1}{4}\) – 2ωt)
(d) cos ωt + cos 3ωt + cos 5ωt
(e) exp(-ω2t2)
(f) 1 + ωt + ω2t2
उत्तर:
(a) x = sin ωt – cos ωt
= 2 [\(\frac{1}{\sqrt{2}}\) sin ωt – \(\frac{1}{\sqrt{2}}\) cos ωt]
= \(\sqrt{2}\) [sin ω + cos \(\frac{π}{4}\) – cos ωt sin \(\frac{π}{4}\)]
= \(\sqrt{2}\) (ωt – \(\frac{π}{4}\))
स्पष्ट है कि यह सरल आवर्त गति को व्यक्त करता है।
इसका आयाम = \(\sqrt{2}\)
कोणीय वेग = ω
∴ आवर्त काल, T = \(\frac{2π}{ω}\)
(b) दिया गया फलन आवर्ती गति को व्यक्त करता है लेकिन यह सरल आवर्त गति नहीं है।
आवर्त काल, T = \(\frac{2π}{ω}\)
(c) यह फलन स० आ० ग० को व्यक्त करता है।
आवर्त काल T = \(\frac{2π}{ω}\) = \(\frac{π}{ω}\)
(d) यह फलन आवर्ती गति को व्यक्त करता है जोकि सरल आवर्त गति नहीं है।
फलन cos T = \(\frac{2π}{2ω}\) = \(\frac{π}{ω}\)
फलन cos ωt का आवर्तकाल T1 = \(\frac{2π}{ω}\)
फलन cos 2ωt का आवर्तकाल T2 = \(\frac{2π}{3ω}\)
व फलन cos 5ωt का आवर्तकाल T3 = \(\frac{2π}{5ω}\) है।
यहाँ T1 = 3T1 = 5T3
अत: T1 समय पश्चात् पहले फलन की एक बार दूसरे की तीन बार व तीसरे की पाँच बार पुनरावृत्ति होती है।
∴ दिए गए फलन का आवर्तकाल T = \(\frac{2π}{ω}\) है।
(e) तथा (f) में दिये दोनों फलन न तो आवर्त गति और न ही सरल आवर्त गति को निरूपित करते हैं।
![]()
प्रश्न 14.5
कोई कण एक दूसरे से 10 cm दूरी पर स्थित दो बिन्दुओं A तथा B के बीच रैखिक सरल आवर्त गति कर रहा है। A से B की ओर की दिशा को धनात्मक दिशा मानकर वेग, त्वरण तथा कण पर लगे बल के चिह्न ज्ञात कीजिए जबकि यह कण
(a) A सिरे पर है,
(b) B सिरे पर है,
(c) A की ओर जाते हुए AB के मध्य बिन्दु पर है,
(d) A की ओर जाते हुए B से 2 cm दूर है,
(e) B की ओर जाते हुए A से 3 cm दूर है तथा
(f) A की ओर जाते हुए B से 4 cm दूर है।
उत्तर:
प्रश्न से स्पष्ट है कि बिन्दु A व B अधिकतम विस्थापन की स्थितियाँ हैं जिनका मध्य बिन्दु O सरल आवर्त गति का केन्द्र है।
(a)
- बिन्दु A पर कण का वेग शून्य होगा।
- कण के त्वरण की दिशा बिन्दु A से O की ओर होगी। अतः त्वरण धनात्मक होगा।
- कण पर बल त्वरण की दिशा में होगा। अतः बल धनात्मक होगा।
(b)
- बिन्दु B पर कण का वेग शून्य होगा।
- कण का त्वरण B से O की ओर दिष्ट होगा। अत: त्वरण ऋणात्मक होगा।
(c)
- AB का मध्य बिन्दु O से सरल आवर्त गति का केन्द्र है। चूँकि कण B से A की ओर चलता हुआ 0 से गुजरता है। अतः वेग BA के अनुदिश है अर्थात् वेग ऋणात्मक है।
- त्वरण शून्य है।
- बल भी शून्य है।
(d)
- B से 2 सेमी० की दूरी पर कण B व O के मध्य होगा।
- चूँकि कण B से A की ओर जा रहा है अत: वेग ऋणात्मक होगा।
- त्वरण भी B से O की ओर दिष्ट है अतः त्वरण भी ऋणात्मक होगा।
- बल भी ऋणात्मक होगा।
(e)
- चूँकि कण B की ओर जा रहा है अतः वेग धनात्मक होगा।
- चूँकि कण A व O के मध्य है अतः त्वरण A से O की ओर दिष्ट है। अतः त्वरण भी धनात्मक है।
(f)
- चूँकि कण A की ओर गतिमान है अतः वेग ऋणात्मक होगा।
- बल भी धनात्मक है।
- चूँकि कण B तथा O के बीच है व त्वरण B से O की ओर दिष्ट है। अत: त्वरण ऋणात्मक है।
- बल भी ऋणात्मक है।
![]()
प्रश्न 14.6
नीचे दिए गए किसी कण के त्वरण a तथा विस्थापन के बीच संबंधों में से किससे सरल आवर्त गति संबद्ध है:
(a) a = 0.7x
(b) a = -200 x2
(c) a = -10x
(d) a = 100x3
उत्तर:
उपरोक्त में से केवल विकल्प (c) में a = -10x, त्वरण विस्थापन के समानुपाती है। इसमें त्वरण विस्थापन के विपरीत दिशा में है। अत: केवल यह सम्बन्ध सरल आवर्त गति को व्यक्त करता है।
प्रश्न 14.7
सरल आवर्त गति करते किसी कण की गति का वर्णन नीचे दिए गए विस्थापन फलन द्वारा किया जाता है,
x(t) = A cos (ωt + ϕ) ……………. (i)
यदि कण की आरंभिक (t = 0) स्थिति 1 cm तथा उसका आरंभिक वेग πcm s-1 है, तो कण का आयाम तथा आरंभिक कला कोण क्या है? कण की कोणीय आवृत्ति πs-1 है। यदि सरल आवर्त गति का वर्णन करने के लिए कोज्या (cos) फलन के स्थान पर हम ज्या (sin) फलन चुने; x = B sin (ωt + α) तो उपरोक्त आरंभिक प्रतिबंधों में कण का आयाम तथा आरंभिक कला कोण क्या होगा?
उत्तर:
(a) x (t) = A cos (ωt + ϕ) ……………. (i)
t = 0, ω = π cms-1
∴ x = 1 cm पर
v = ω = π cms-1 ……………….. (ii)
∴ समी० (i) व (ii) से,
1 = A cos (π × 0 + ϕ) = A cos ϕ ……………….. (iii)
पुनः ω = \(\frac{2π}{T}\)
∴ T = \(\frac{2π}{ω}\) = 2s
समी० (i) का t के सापेक्ष अवकलन करने पर,
\(\frac{d}{dx}\) (x) = -A sin (ωt + ϕ) (ω)
= -Aω sin (ωt + ϕ)
या v = -Aω sin (ωt + ϕ) …………………. (iv)
समी० (ii) व (iv) से
π = -A × π × sin (ω × 0 + b)
= -A sin ϕ
या 1 = -A sin ϕ
समी० (ii) व (v) का वर्ग करके जोड़ने पर,
12 + 12 = A2 (sin2 ϕ + cos2 ϕ) = A2
∴ A = \(\sqrt{2}\) cm
समी० (v) को समी० (iii) से भाग देने पर,

(b) जब x = B sin (ωt + α)
या x = B cos Cos [(ωt + α) – \(\frac{π}{2}\)]
अब (a) t = 0 पर x = 1 सेमी
तथा ∴ v = π cms-1, ω = π s-1 से,
∴ 1 = B cos (π × 0 + α – \(\frac{π}{2}\))
= B cos (α – \(\frac{π}{2}\)) ……………….. (vii)
पुनः माना v’ = वेग

समी० (vii) व (viii) का वर्ग कर जोड़ने पर,

![]()
प्रश्न 14.8
किसी कमानीदार तुला का पैमाना 0 से 50 kg तक अंकित है और पैमाने की लम्बाई 20 cm है। इस तुला से लटकाया गया कोई पिण्ड, जब विस्थापित करके मुक्त किया जाता है, 0.65 के आवर्तकाल से दोलन करता है। पिंड का भार कितना है?
उत्तर:
दिया है, m = 50 kg,
अधिकतम प्रसार y = 20 – 0 = 20 cm
= 0.2 m, T = 0.65
∴ अधिकतम बल
F = mg = 50 × 9.8 = 490.0 N
∴ स्प्रिंग नियतांक
k = \(\frac{F}{y}\) = \(\frac{490}{0.2}\)
= \(\frac{490×10}{2}\) = 2450 Nm-1
हम जानते हैं कि आवर्त काल

वस्तु का भार w = mg = 22.36 × 9.8
= 219.1 N
= 22.36 kg
प्रश्न 14.9
1200 Nm-1 कमानी-स्थिरांक की कोई कमानी (चित्र) में दर्शाए अनुसार किसी क्षैतिज मेज से जुड़ी है। कमानी के मुक्त सिरे से 3 kg द्रव्यमान का कोई पिण्ड जुड़ा है। इस पिण्ड को एक ओर 2.0 cm दूरी तक खींच कर मुक्त किया जाता है।
(i) पिण्ड के दोलन की आवृत्ति
(ii) पिण्ड का अधिकतम त्वरण, तथा
(iii) पिण्ड की अधिकतम चाल ज्ञात कीजिए।

उत्तर:
दिया है:
k = 1200 Nm-1, m = 3.0 kg,
A = 2.0 cm = 0.02 m
= अधिकतम विस्थापन
(i) हम जानते हैं कि आवर्तकाल

(ii) त्वरण, α = -ω2 x = \(\frac{-k}{m}\) x
या c|amax| = \(\frac{k}{m}\) |xmax|, जहाँ ω = \(\sqrt{\frac{k}{m}}\)
या x के अधिकतम होने पर त्वरण भी अधिकतम होगा।
या x = A = 0.02 m
∴ a = \(\frac{1200}{m}\) × 0.02 × 8.0 ms-2
(iii) द्रव्यमान की अधिकतम चाल
ν = Aω = A \(\sqrt{\frac{k}{m}}\) = 0.02 × \(\sqrt{\frac{1200}{3}}\)
= 0.02 × 20
= 0.40 ms-1
![]()
प्रश्न 14.10
प्रश्न 14.9 में मान लीजिए जब कमानी अतानित अवस्था में है तब पिण्ड की स्थिति x = 0 है तथा बाएँ से दाएँ की दिशा :-अक्ष की धनात्मक दिशा है। दोलन करते पिण्ड के विस्थापन x को समय के फलन के रूप में दर्शाइए, जबकि विराम घड़ी को आरम्भ (t = 0) करते समय पिण्ड,
(a) अपनी माध्य स्थिति,
(b) अधिकतम तानित स्थिति, तथा
(c) अधिकतम संपीडन की स्थिति पर है।
सरल आवर्त गति के लिए ये फलन एक दूसरे से आवृत्ति में,आयाम में अथवा आरंभिक कला में किस रूप में भिन्न है?
उत्तर:
चूँकि द्रव्यमान x = 0 पर स्थित है। अतः x – दिशा में विस्थापन निम्नवत् होगा
x = A sin ωt …………….. (i)
[∴ x = 0 पर प्रारम्भिक कला ϕ = 0] प्रश्न 14.9 से A = 2 cm = 0.02 m
k = 1200 Nm-2 ω = \(\sqrt{\frac{k}{m}}\)
= \(\sqrt{\frac{1200}{3}}\) = 20 s-1
(a) जब वस्तु माध्य स्थिति में है, समी० (i) से,
x = 2 sin 20 t ……………… (ii)
(b) अधिकतम तानित स्थिति में ϕ = \(\frac{π}{2}\)
∴ x = A sin (ωt + ϕ )
= 2 sin (20t + \(\frac{π}{2}\)) = 2 cos 20t ………………… (iii)
(c) अधिकतम सम्पीडन की स्थिति में,
ϕ = \(\frac{π}{2}\) + \(\frac{π}{2}\) = \(\frac{2π}{2}\)
∴ x = A cos ωt = – 2cos (20t) ………………… (iv)
समी० (ii), (iii) तथा (iv) से स्पष्ट है कि फलन केवल प्रारम्भिक कला. में ही असमान है चूँकि इनके आयाम (A = 2 cm) तथा आवर्तकाल समान है –
i.e.,T = \(\frac{2π}{ω}\) = \(\frac{2π}{20}\) = \(\frac{π}{10}\) rad s-1
![]()
प्रश्न 14.11
चित्र में दिए गए दो आरेख दो वर्तुल गतियों के तद्नुरूपी हैं। प्रत्येक आरेख पर वृत्त की त्रिज्या, परिक्रमण काल, आरंभिक स्थिति और परिक्रमण की दिशा दर्शायी गई है। प्रत्येक प्रकरण में, परिक्रमण करते कण के त्रिज्य-सदिश के x अक्ष पर प्रक्षेप की तद्नुरूपी सरल आवर्त गति ज्ञात कीजिए।

उत्तर:
(a) यहाँ t = 0 पर, OP, x अक्ष से एका कोण बनाती है। चूंकि गति वर्तुल है अतः ϕ = \(\frac{+π}{2}\) रेडियन। अतः t समय पर OP का मन्घटक सरल आवर्त गति करता है।
t = 0 पर OP, x – अक्ष से धन दिशा में π कोण बनाता है।

x = -3 sin πt (cm)
T = 4 S, A = 2 m
t = 0 पर Op x – अक्ष से धन दिशा में कोण बनाता है।
i.e., ϕ = + L
अतः t समय में OP के x घटक की सरल आवर्त गति की समीकरण निम्न होगी –
चूँकि

प्रश्न 14.12
नीचे दी गई प्रत्येक सरल आवर्त गति के लिए तद्नुरूपी निर्देश वृत्त का आरेख खींचिए। घूर्णी कण की आरंभिक (t = 0) स्थिति, वृत्त की त्रिज्या तथा कोणीय चाल दर्शाइए। सुगमता के लिए प्रत्येक प्रकरण में परिक्रमण की दिशा वामावर्त लीजिए। (x को cm में तथा t को s में लीजिए।)
(a) x = – 2 sin (3t ÷ π/3)
(b) x = cos (π/6 – t)
(c) x = 3 sin (2πt + π/4)
(d) x = 2 cos πt
उत्तर:
(a) x = – z sin (3t + π/3)

∴ संगत निर्देश वृत्त चित्र (a) में दिखाया गया है।
समी० (i) की तुलना x = A cos (ωt + ϕ) से करने पर,
T = \(\frac{2π}{3}\), ϕ = \(\frac{5π}{6}\), A = 2 cm
(b) x = cos (\(\frac{π}{6}\) – t)
= cos (t – \(\frac{π}{6}\))
= 1 cos (\(\frac{2π}{2π}\)t – \(\frac{π}{6}\)) ………………. (ii)
∴ संगत निर्देश चित्र (b) में दिखाया गया है।
समी० (ii) की तुलना x = A cos (\(\frac{2π}{T}\)t + ϕ) से करने पर
A = 1 cm, t = 2π, ϕ = –\(\frac{π}{-6}\)

(c)

संगत निर्देश वृत्त चित्र (d) में दिखाया गया है।
समी० (iii) की (v) से तुलना करने पर,
A = 2 cm, T = 1s,
ϕ = – \(\frac{π}{4}\)
(d) x = 2 cos πt
= 2 cos (\(\frac{π}{1}\) t + 0) …………………. (v)
संगत निर्देश वृत्त चित्र (d) में दिखाया गया है।
समी० (iii) की (v) से तुलना करने पर,
A = 2cm, T = 15, ϕ = 0

![]()
प्रश्न 14.13
चित्र (a) में k बल-स्थिरांक की किसी | कमानी के एक सिरे को किसी दृढ़ आधार से जकड़ा तथा दूसरे मुक्त सिरे से एक द्रव्यमान m जुड़ा दर्शाया गया है। कमानी के मुक्त सिरे पर बल F आरोपित करने से कमानी तन जाती है। चित्र (b) में उसी कमानी के दोनों मुक्त सिरों से द्रव्यमान m जुड़ा दर्शाया गया है। कमानी के दोनों सिरों को चित्र में समान बल F द्वारा तानित किया गया है।
(a) दोनों प्रकरणों में कमानी का अधिकतम विस्तार क्या
(b) यदि (a) का द्रव्यमान तथा (b) के दोनों द्रव्यमानों को मुक्त छोड़ दिया जाए, तो प्रत्येक प्रकरण में दोलन का आवर्तकाल ज्ञात कीजिए।

उत्तर:
माना कि स्प्रिंग का बल नियतांक = k
मुक्त सिरे से लटकाया गया द्रव्यमान = M
(1) मुक्त सिरे पर लगाया गया बल = F
(a) माना बल F लगाने पर मुक्त सिरे पर द्रव्यमान m लटकाने से उत्पन्न त्वरण a है।
अतः F = ma ……………… (i)
माना कि चित्र (a) में उत्पन्न विस्तार y1 है।
∴ F = -ky1 ……………… (ii)
समी० (i) व (ii) से,

जहाँ y विस्थापन y1 के समान है।
पुनः हम जानते हैं कि
a = -ω2y ………………. (iv)
∴ समी० (iii) व (iv) से,
ω2 = \(\frac{k}{M}\) य ω = \(\sqrt{k/m}\) ………………. (v)
∴ स्प्रिंग में उत्पन्न अधिकतम प्रसार y1 = y
या y1 = \(\frac{F}{k}\)
(b) समी० (v) से, a ∝ y तथा द्रव्यमान स० आ० ग० करता
∴ माना m द्रव्यमान के दोलन का आवर्तकाल T1 है।
अत: T1 = \(\frac{2π}{ω}\)
= 2π \(\sqrt{m/k}\) (समी० (v) से)
या T1 = 2π \(\sqrt{m/k}\) ………………… (vi)
(2) (a) माना दोनों द्रव्यमानों को छोड़ने पर, स्प्रिंग में कुल उत्पन्न प्रसार y2 है। चूँकि दो द्रव्यमान समान हैं अतः प्रत्येक द्रव्यमान के कारण स्प्रिंग में उत्पन्न प्रसार y है। अतः
y2 = y’ + y’ = 2y’
पुनः 1 (a) से,

i.e., प्रत्येक द्रव्यमान का विस्थापन

∴ प्रत्येक द्रव्यमान में उत्पन्न त्वरण

(b) माना प्रत्येक द्रव्यमान का आवर्तकाल T2 है।

![]()
प्रश्न 14.14
किसी रेलगाड़ी के इंजन के सिलिंडर हैड में पिस्टन का स्ट्रोक (आयाम का दो गुना) 1.0 m का है। यदि पिस्टन 200 rad/min की कोणीय आवृत्ति से सरल आवर्त गति करता है तो उसकी अधिकतम चाल कितनी है?
उत्तर:
दिया है:
ω = 200 रेडियन/मिनट = \(\frac{200}{60}\) = \(\frac{10}{3}\) रेडियन प्रति सेकण्ड
स्ट्रोक की लम्बाई = 1 मीटर
माना सरल आवर्त गति का आयाम = a
∴2a = 1 मीटर
या a = \(\frac{1}{2}\) = 0.5 मीटर
सूत्र चाल = aω से,
पिस्टन की अधिकतम चाल,
νmax = aω = 0.5 × \(\frac{10}{3}\)
= \(\frac{5}{3}\) = 1.67 मीटर/सेकण्ड
प्रश्न 14.15
चंद्रमा के पृष्ठ पर गुरुत्वीय त्वरण 17 ms-2 है। यदि किसी सरल लोलक का पृथ्वी के पृष्ठ पर आवर्तकाल 3.5 s है, तो उसका चंद्रमा के पृष्ठ पर आवर्तकाल कितना होगा? (पृथ्वी के पृष्ठ पर g = 9.8 ms-2)
उत्तर:
दिया है:
पृथ्वी के पृष्ठ पर आवर्तकाल T = 3.5 s
चंद्रमा के पृष्ठ पर आवर्तकाल = Tm = ?
पृथ्वी के पृष्ठ पर गुरुत्वाकर्षण के कारण त्वरण
ge = 9.8 ms-2
सरल लोलक की लम्बाई l = ?

![]()
प्रश्न 14.16
नीचे दिए गए प्रश्नों के उत्तर दीजिए:
(a) किसी कण की सरल आवर्त गति के आवर्तकाल का मान उस कण के द्रव्यमान तथा बल-स्थिरांक पर निर्भर करता
T = 2π \(\sqrt{m/k}\)
कोई सरल लोलक सन्निकट सरल आवर्त गति करता है। तब फिर किसी लोलक का आवर्तकाल लोलक के द्रव्यमान पर निर्भर क्यों नहीं करता?
(b) किसी सरल लोलक की गति छोटे कोण के सभी दोलनों के लिए सन्निकट सरल आवर्त गति होती है। बड़े कोणों के दोलनों के लिए एक अधिक गूढ़ विश्लेषण यह दर्शाता है कि T का मान 2π \(\sqrt{l/g}\) से अधिक होता है। इस परिणाम को समझने के लिए किसी गुणात्मक कारण का चिंतन कीजिए।
(c) कोई व्यक्ति कलाई घड़ी बाँधे किसी मीनार की चोटी से गिरता है। क्या मुक्त रूप से गिरते समय उसकी घड़ी यथार्थ समय बताती है?
(d) गुरुत्व बल के अंतर्गत मुक्त सिरे से गिरते किसी केबिन में लगे सरल लोलक के दोलन की आवृत्ति क्या होती है?
उत्तर:
(a) चूँकि सरल लोलक के लिए k स्वयं m के अनुक्रमानुपाती होता है अत: m निरस्त हो जाता है।
(b) sin θ < θ पर, यदि प्रत्यानयन बल mg sin θ का प्रतिस्थापन mg θ से कर दें तब इसका तात्पर्य यह होगा कि बड़े कोणों के लिए g के परिमाण में प्रभावी कमी व इस प्रकार सूत्र T = 2π \(\sqrt{l/g}\) से प्राप्त आवर्तकाल के परिमाण में वृद्धि होगी।
(c) हाँ, क्योंकि कलाई घड़ी में आवर्तकाल कमानी क्रिया पर निर्भर करता है, जिसका गुरुत्वीय त्वरण से कोई सम्बन्ध नहीं होता
(d) स्वतन्त्रतापूर्वक गिरते हुए मनुष्य के लिए गुरुत्वीय त्वरण का प्रभावी मान शून्य हो जाता है। अतः आवृत्ति शून्य होती है।
प्रश्न 14.17
किसी कार की छत से लम्बाई का कोई सरल लोलक, जिसके लोलक का द्रव्यमान M है, लटकाया गया है। कार R त्रिज्या की वृत्तीय पथ पर एकसमान चाल से गतिमान है। यदि लोलकत्रिज्य दिशा में अपनी साम्यावस्था की स्थिति के इधर-उधर छोटे दोलन करता है, तो इसका आवर्तकाल क्या होगा?
उत्तर:
कार जब मोड़ पर मुड़ती है तो उसकी गति में त्वरण अभिकेन्द्र त्वरण \(\frac { v^{ 2 } }{ R } \) होता है। अत: कार एक अजड़त्वीय निर्देश तन्त्र है।
अतः गोलक पर एक छद्म बल \(\frac { mv^{ 2 } }{ R } \) वृत्तीय पथ के बाहर की ओर लगेगा जिस कारण लोलक ऊर्ध्वाधर रहने के स्थान पर थोड़ा तिरछा हो जाएगा।
इस क्षण लोलक पर दो बल क्रमश: उपकेन्द्र बल \(\frac { v^{ 2 } }{ R } \) व भार mg’ लगेंगे। यदि लोलक के लिए गुरुत्वीय त्वरण g का प्रभावी मान g’ हो, तो गोलक पर प्रभावी बल mg’ होगा जो कि उक्त दो बलों का परिणामी है।

अत: लोलक का नया आवर्तकाल, सूत्र T = 2π \(\sqrt{l/g}\)

![]()
प्रश्न 14.18
आधार क्षेत्रफल A तथा ऊँचाई h के एक कॉर्क का बेलनाकार दुकड़ा ρi घनत्व के किसी द्रव में तैर रहा है। कॉर्क को थोड़ा नीचे दबाकर स्वतंत्र छोड़ देते हैं, यह दर्शाइए कि कॉर्क ऊपर-नीचे सरल आवर्त दोलन करता है जिसका आवर्तकाल T = 2π \(\sqrt { \frac { h\rho }{ \rho _{ i }g } } \) है। यहाँ ρ कॉर्क का घनत्व है (द्रव की श्यानता के कारण अवमंदन को नगण्य मानिए)।
उत्तर:
माना कॉर्क के टुकड़े का द्रव्यमान m है। माना साम्यावस्था में इस टुकड़े की l लम्बाई द्रव में डूबती है।

तैरने के सिद्धान्त से, कॉर्क के डूबे भाग द्वारा हटाए गए द्रव का भार कॉर्क के भार के समान होगा। अतः
Vρ1g = mg
जहाँ V = डूबे भाग द्वारा विस्थापित द्रव का आयतन माना कि कॉर्क का अनुप्रस्थ क्षेत्रफल A है।
∴ V = A × l
या Al.ρig = g
या Aρil = m ………………. (i)
कॉर्क को द्रव में नीचे की ओर दबाकर छोड़ने पर यह ऊपर नीचे दोलन करने लगता है। माना किसी क्षण इसका साम्यावस्था से नीचे की ओर विस्थापन y है। इस क्षण, इसकी लम्बाई (y) द्वारा विस्थापित द्रव का उत्क्षेप बेलनाकार बर्तन को प्रत्यानयन बल प्रदान करेगा।
∴ F = -Ayρ1g
यहाँ ऋण चिह्न प्रदर्शित करता है कि प्रत्यानयन बल F1 कॉर्क के टुकड़े के विस्थापन के विपरीत दिशा में लगता है। अतः टुकड़े का त्वरण,
a = \(\frac{F}{m}\) = \(\frac{-A y \rho_{1} g}{m}\) ………………. (ii)
चूँकि कॉर्क के टुकड़े का घनत्व ρ व ऊँचाई h है।
∴ m = Ahp

अतः कॉर्क के टुकड़े का त्वरण α, विस्थापन के अनुक्रमानुपाती परन्तु दिशा विस्थापन के विपरीत है। अतः यह स० आ० ग० करता है।
समी० (ii) से,

![]()
प्रश्न 14.19
पारे से भरी किसी U नली का एक सिरा किसी चूषण पम्प से जुड़ा है तथा दूसरा सिरा वायुमण्डल में खुला छोड़ दिया गया है। दोनों स्तम्भों में कुछ दाबान्तर बनाए रखा जाता है। यह दर्शाइए कि जब चूषण पम्प को हटा देते हैं, तब U नली में पारे का स्तम्भ सरल आवर्त गति करता है।
उत्तर:
स्पष्ट है कि चूषण पम्प की अनुपस्थिति में दोनों नलियों में पारे के तल समान होंगे। यह साम्यावस्था की स्थिति है। चूषण पम्प लगाने पर पम्प वाली नली में पारे का तल ऊपर उठ जाता है और पम्प हटाते ही पारा साम्यावस्था को प्राप्त करने का प्रयास करता है।

माना पम्प हटाने के बाद किसी क्षण दूसरी नली में पारे का तल साम्यावस्था से दूरी नीचे है तो दूसरी ओर यह y दूरी ऊपर होगा। यदि नली में एकांक लम्बाई में भरे पारे का द्रव्यमान m है तो पम्प वाली नली में चढ़े अतिरिक्त पारद स्तम्भ का भार 2y × mg होगा।
यह भार ही द्रव को दूसरी ओर धकेलता है, अतः प्रत्यानयन बल F = -2mgy होगा। ऋण चिहन यह प्रदर्शित करता है कि यह बल विस्थापन के विपरीत दिष्ट है। माना साम्यावस्था में दोनों नलियों में पारद स्तम्भ की ऊँचाई h है, तब नलियों में भरे पारे का कुल द्रव्यमान M = 2hm होगा।
यदि पारद स्तम्भ का त्वरण a है तो
F = ma
⇒ – 2mgy = 2hma
⇒ त्वरण a = – (\(\frac{g}{h}\)) y
अतः a ∝ (-y)
इससे स्पष्ट है कि पारद स्तम्भ की गति सरल आवर्त गति है।

Bihar Board Class 11 Physics दोलन Additional Important Questions and Answers
अतिरिक्त अभ्यास के प्रश्न एवं उनके उत्तर
प्रश्न 14.20
चित्र में दर्शाए अनुसार V आयतन के किसी वायु कक्ष की ग्रीवा (गर्दन) की अनुप्रस्थ काट का क्षेत्रफल a है। इस ग्रीवा में m द्रव्यमान की कोई गोली बिना किसी घर्षण के ऊपर-नीचे गति कर सकती है। यह दर्शाइए कि जब गोली को थोड़ा नीचे दबाकर मुक्त छोड़ देते हैं, तो वह सरल आवर्त गति करती है। दाब-आयतन विचरण को समतापी मानकर दोलनों के आवर्तकाल का व्यंजक ज्ञात कीजिए [चित्र देखिए।

उत्तर:
गोली को नीचे की ओर दबाकर छोड़ने पर यह अपनी साम्यावस्था के ऊपर नीचे सरल रेखीय दोलन करने लगती है। माना कि किसी क्षण गोली का साम्य अवस्था से नीचे की ओर विस्थापन x है। माना इस स्थिति में कक्ष में भरी वायु का आयतन। के स्थान पर V – ∆V हो जाता है व दाब P ये (P + ∆P) हो जाता है।
∴ बॉयल के नियम से,
PV = (P + ∆P) (V – ∆V)
या ∆P.V = P.∆V (∆P ∆V को छोड़ने पर)
∴ P = \(\frac{∆P}{∆V/V}\)
लेकिन P = ET = वायु की समतापी प्रत्यास्थता है।
∴ ET = \(\frac{∆P}{∆V/V}\)
जहाँ F वायु द्वारा गोली पर लगने वाला अतिरिक्त बल है व a ग्रीवा का अनुप्रस्थ क्षेत्रफल है। चूँकि ग्रीवा के गोली का नीचे की ओर विस्थापन = x
वायु के आयतन में कमी, ∆V = ax

परन्तु गोली पर वायु द्वारा लगने वाला बल बाहर की ओर लगता है। अत: यह बल गोली के विस्थापन x के विपरीत दिशा में है अर्थात् यह एक प्रत्यानयन बल है।
∴ सूत्र F = ma से,

∴ त्वरण ∝ (-x)
अर्थात् त्वरण विस्थापन के विपरीत दिशा में हैं। अतः गोली स० आ० ग० करती है।
समी० (ii) से,

![]()
प्रश्न 14.21
आप किसी 3000 kg द्रव्यमान के स्वचालित वाहन पर सवार हैं। यह मानिए कि आप इस वाहन की निलंबन प्रणाली के दोलनी अभिलक्षणों का परीक्षण कर रहे हैं। जब समस्त वाहन इस पर रखा जाता है, तब निलंबन 15 cm आनमित होता है। साथ ही, एक पूर्ण दोलन की अवधि में दोलन के आयाम में 50% घटोतरी हो जाती है। निम्नलिखित के मानों का आंकलन कीजिए:
(a) कमानी स्थिरांक, तथा
(b) कमानी तथा एक पहिए के प्रघात अवशोषक तंत्र के लिए अवमंदन स्थिरांक b यह मानिए कि प्रत्येक पहिया 750 kg द्रव्यमान वहन करता है।
उत्तर:
(a) दिया है:
M = 3000 kg
प्रत्येक पहिए पर लटकाया गया द्रव्यमान = m = 750 kg
y = 15 cm = 0.15 m, a = g
स्प्रिंग नियतांक k = ?
हम जानते हैं कि,
\(\frac{m}{k}\) = \(\frac{y}{a}\) = \(\frac{y}{g}\)

(b)

पुनः माना कि प्रारम्भिक मान के आधे मान तक छोड़ने पर आयाम की आवर्त काल T1/2 है।

प्रश्न 14.22
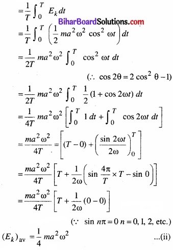
यह दर्शाइए कि रैखिक सरल आवर्त गति करते किसी कण के लिए दोलन की किसी अवधि की औसत गतिज ऊर्जा उसी अवधि की औसत स्थितिज ऊर्जा के समान होती है।
उत्तर:
माना कि m द्रव्यमान का कण सरल आवर्त गति करता है जिसका आवर्त काल T है। किसी क्षण t पर जबकि समय माध्य स्थिति से मापा गया है, कण का विस्थापन निम्नवत् है –
y = a sin wt
V = कण का वेग

∴ (Ek)av = प्रति चक्र औसत KE

पुनः प्रति चक्र औसत स्थितिज ऊर्जा निम्नवत् है –

अतः समी० (ii) व (iii) से स्पष्ट है कि दोलन काल के दौरान औसत गतिज ऊर्जा समान; दोलनकाल में औसत स्थितिज ऊर्जा के समान होती है।
![]()
प्रश्न 14.23
10 kg द्रव्यमान की कोई वृत्तीय चक्रिका अपने केन्द्र से जुड़े किसी तार से लटकी है। चक्रिका को घूर्णन देकर तार में ऐंठन उत्पन्न करके मुक्त कर दिया जाता है। मरोड़ी दोलन का आवर्तकाल 1.5 s है। चक्रिका की त्रिज्या 15 cm है। तार का मरोड़ी कमानी नियतांक ज्ञात कीजिए। [मरोड़ी कमानी नियतांक α संबंध J = -αθ द्वारा परिभाषित किया जाता है, जहाँ J प्रत्यानयन बल युग्म है तथा θ ऐंठन कोण है।]
उत्तर:
सम्पूर्ण निकाय मरोड़ी दोलन की भाँति कार्य करता है जिसका साम्य मरोड़ी आघूर्ण निम्नवत् है –

जहाँ t = तार की त्रिज्या
η = लटकाए गए तार की दृढ़ता गुणांक, θ = तार में ऐंठन कोण प्रति ऐंठन मरोड़ी आघूर्ण

समी० (i) की तुलना दी हुई समी० J = -αθ से करने पर,
J = τ
तथा

समीकरण (iv) मरोड़ी कमानी नियतांक को व्यक्त करता है।
वृत्तीय चक्रिका के लिए I = \(\frac{1}{2}\) mr2
पुनः αI = cθ तथा α = \(\frac{C}{1}\) θ

दिया है:
r = 15 cm = 0.15 cm,
T = 1.5 s, m = 10 kg
इन मानों को समी० (v) में रखने पर,

![]()
प्रश्न 14.24
कोई वस्तु 5 cm के आयाम तथा 0.2 सेकण्ड की आवृत्ति से सरल आवृत्ति गति करती है। वस्तु का त्वरण तथा वेग ज्ञात कीजिए जब वस्तु का विस्थापन (a) 5 cm (b) 3 cm (c) 0 cm हो।
उत्तर:
दिया है:
आयाम, r = 5 cm = 0.05 m
T = 0.2 s
ω = \(\frac{2π}{T}\) = \(\frac{2π}{0.2}\) = 10π rad s-1
मानो कि वस्तु का विस्थापन y है। अत:

प्रश्न 14.25
किसी कमानी से लटका एक पिण्ड एक क्षैतिज तल में कोणीय वेग ω से घर्षण या अवमंद रहित दोलन कर सकता है। इसे जब x0 दूरी तक खींचते हैं और खींचकर छोड़ देते हैं तो यह संतुलन केन्द्र से समय t = 0 पर, v0 वेग से गुजरता है। प्राचल ω, x0 तथा v0 के पदों में परिणामी दोलन का आयाम ज्ञात करिये। [संकेत : समीकरण x = a cos (ωt + θ) से प्रारंभ कीजिए। ध्यान रहे कि प्रारंभिक वेग ऋणात्मक है।]
उत्तर:
माना किसी क्षण t कण का विस्थापन निम्न है –
x = a cos (ωt + ϕ0) ……………… (i)
जहाँ a = आयाम
ϕ0 = प्रा० कला
माना किसी क्षण t पर वेग v है।
तब,

t = 0 रखने पर, समी० (i) व (ii) से,

समी० (iii) यह व्यक्त करता है कि प्रा० वेग ऋणात्मक है। (iii) में दोनों ओर का वर्ग करने पर,
