Bihar Board Class 11 Physics Solutions Chapter 8 गुरुत्वाकर्षण Textbook Questions and Answers, Additional Important Questions, Notes.
BSEB Bihar Board Class 11 Physics Solutions Chapter 8 गुरुत्वाकर्षण
Bihar Board Class 11 Physics गुरुत्वाकर्षण Text Book Questions and Answers
अभ्यास के प्रश्न एवं उनके उत्तर
प्रश्न 8.1
निम्नलिखित के उत्तर दीजिए:
(a) आप किसी आवेश का वैद्युत बलों से परिरक्षण उस आवेश को किसी खोखले चालक के भीतर रखकर कर सकते हैं। क्या आप किसी पिंड का परिरक्षण, निकट में रखे पदार्थ के गुरुत्वीय प्रभाव से, उसे खोखले गोले में रखकर अथवा किसी अन्य साधनों द्वारा कर सकते हैं?
(b) पृथ्वी के परितः परिक्रमण करने वाले छोटे अन्तरिक्षयान में बैठा कोई अन्तरिक्ष यात्री गुरुत्व बल का संसूचन नहीं कर सकता। यदि पृथ्वी के परितः परिक्रमण करने वाला अन्तरिक्ष स्टेशन आकार में बड़ा है, तब क्या वह गुरुत्व बल के संसूचन की आशा कर सकता है?
(c) यदि आप पृथ्वी पर सूर्य के कारण गुरुत्वीय बल की तुलना पृथ्वी पर चन्द्रमा के कारण गुरुत्व बल से करें, तो आप यह पाएँगे कि सूर्य का खिंचाव चन्द्रमा के खिंचाव की तुलना में अधिक है (इसकी जाँच आप स्वयं आगामी अभ्यासों में दिए गए आँकड़ों की सहायता से कर सकते हैं।) तथापि चन्द्रमा के खिंचाव का ज्वारीय प्रभाव सूर्य के ज्वारीय प्रभाव से अधिक है। क्यों?
उत्तर:
(a) नहीं।
(b) हाँ, यदि अंतरिक्ष यान का आकार उसके लिए इतना अधिक हो कि वह गुरुत्वीय त्वरण (g) के परिवर्तन का संसूचण कर सके।
(c) ज्वारीय प्रभाव दूरी के घन के व्युत्क्रमानुपाती होता है तथा इस अर्थ में यह उन बलों से भिन्न है जो दूरी के वर्ग के व्युत्क्रमानुपाती होते हैं।
![]()
प्रश्न 8.2
सही विकल्प का चयन कीजिए:
(a) बढ़ती तुंगता के साथ गुरुत्वीय त्वरण बढ़ता/घटता है।
(b) बढ़ती गहराई के साथ (पृथ्वी को एकसमान घनत्व को गोला मानकर) गुरुत्वीय त्वरण बढ़ता/घटता है।
(c) गुरुत्वीय त्वरण पृथ्वी के द्रव्यमान/पिंड के द्रव्यमान पर निर्भर नहीं करता।
(d) पृथ्वी के केन्द्र से तथा दूरियों के दो बिन्दुओं के बीच स्थितिज ऊर्जा-अन्तर के लिए सूत्र
-GMm (1/r2 – 1/r1) सूत्र mg(r2 – r1) से अधिक/कम यथार्थ है।
उत्तर:
(a) घटता है।
(b) घटता है।
(c) पिंड के द्रव्यमान पर निर्भर नहीं करता है।
(d) अधिक।
प्रश्न 8.3
मान लीजिए एक ऐसा ग्रह है जो सूर्य के परितः पृथ्वी की तुलना में दो गुनी चाल से गति करता है, तब पृथ्वी की कक्षा की तुलना में इसका कक्षीय आमाप क्या है?
उत्तर:
माना पृथ्वी व ग्रह का परिक्रमण काल क्रमश: TE व Tp हैं।
∴ Tp = \(\frac{T_{E}}{2}\)
माना कक्षीय आमाप क्रमशः re व rp हैं।

अर्थात् ग्रह का आमाप पृथ्वी से 0.63 गुना छोटा है।
![]()
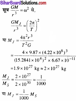
प्रश्न 8.4
बृहस्पति के एक उपग्रह, आयो (lo), की कक्षीय अवधि 1.769 दिन तथा कक्षा की त्रिज्या 4.22 × 108 m है। यह दर्शाइए कि बृहस्पति का द्रव्यमान सूर्य के द्रव्यमान का लगभग 1/1000 गुना है।
उत्तर:
दिया है:
सूर्य का द्रव्यमान = Ms = 2 × 30 kg
बृहस्पति के उपग्रह का आवर्त काल = T = 1.769 दिन
= 1.769 × 24 × 3600s
= 15.2841 × 104 s
बृहस्पति के चारों ओर उपग्रह की त्रिज्या
= r = 4.22 × 8 m
G = 6.67 × 10-11 Nm2kg-2
माना बृहस्पति का द्रव्यमान MJ है।
MJ = \(\frac{1}{1000}\)Ms सिद्ध करने के लिए

अत: बृहस्पति का द्रव्यमान सूर्य के द्रव्यमान का लगभग (1/1000) गुना है।
प्रश्न 8.5
मान लीजिए कि हमारी आकाशगंगा में एक सौर द्रव्यमान के 2.5 × 1011 तारे हैं। मंदाकिनीय केन्द्र से 50,000 105 ly दूरी पर स्थित कोई तारा अपनी एक परिक्रमा पूरी करने में कितना समय लेगा? आकाशगंगा का व्यास 105 ly लीजिए।
उत्तर:
एक सौर द्रव्यमान = 2 × 1030 kg
एक प्रकाश वर्ष = 9.46 × 1015 m
माना M = आकाश गंगा में तारे का द्रव्यमान
= 2.5 × 1011 × 2 × 1030 kg
= 5 × 1041 kg
तारे की कक्षा की त्रिज्या = r = मंदाकिनी के केन्द्र से तारे की दूरी
= 50,000 प्रकाश वर्ष
= 50,000 × 9.46 × 1015 m
G = 6.67 × 10-11 Nm2 kg-2
एक आवृत्ति काल = T
आकाशगंगा का व्यास = 105 प्रकाश वर्ष

![]()
प्रश्न 8.6
सही विकल्प का चयन कीजिए:
(a) यदि स्थितिज ऊर्जा का शुन्य अनन्त पर है, तो कक्षा में परिक्रमा करते किसी उपग्रह की कुल ऊर्जा इसकी गतिज/स्थितिज ऊर्जा का ऋणात्मक है।
(b) कक्षा में परिक्रमा करने वाले किसी उपग्रह को पृथ्वी के गुरुत्वीय प्रभाव से बाहर निकालने के लिए आवश्यक ऊर्जा समान ऊँचाई (जितनी उपग्रह की है) के किसी स्थिर पिंड को पृथ्वी के प्रभाव से बाहर प्रक्षेपित करने के लिए आवश्यक ऊर्जा से अधिक/कम होती है।
उत्तर:
(a) गतिज ऊर्जा
(b) कम होती है।
प्रश्न 8.7
क्या किसी पिंड की पृथ्वी से पलायन चाल –
- पिंड के द्रव्यमान
- प्रक्षेपण बिन्दु की अवस्थिति
- प्रक्षेपण की दिशा
- पिंड के प्रमोचन की अवस्थिति की ऊँचाई पर निर्भर करती है।
उत्तर:
- नहीं
- नहीं
- नहीं
- हाँ।
![]()
प्रश्न 8.8
कोई धूमकेत सूर्य की परिक्रमा अत्यधिक दीर्घवृत्तीय कक्षा में कर रहा है। क्या अपनी कक्षा में धूमकेतु की शुरू से अन्त तक –
- रैखिक चाल
- कोणीय चाल
- कोणीय संवेग
- गतिज ऊर्जा
- स्थितिज ऊर्जा
- कुल ऊर्जा नियत रहती है। सूर्य के अति निकट आने पर धूमकेतु के द्रव्यमान में ह्रास को नगण्य मानिये।
उत्तर:
- नहीं
- नहीं
- हाँ
- नहीं
- नहीं
- हाँ।
प्रश्न 8.9
निम्नलिखित में से कौन से लक्षण अन्तरिक्ष में अन्तरिक्ष यात्री के लिए दुःखदायी हो सकते हैं?
(a) पैरों में सूजन
(b) चेहरे पर सूजन
(c) सिरदर्द
(d) दिक्विन्यास समस्या।
उत्तर:
(b), (c) व (d)।
![]()
प्रश्न 8.10
एक समान द्रव्यमान घनत्व की अर्धगोलीय खोलों द्वारा परिभाषित ढोल के पृष्ठ के केन्द्र पर गुरुत्वीय तीव्रता की दिशा देखिए चित्र]
- a
- b
- c
- 0 में किस तीर द्वारा दर्शायी जाएगी?

उत्तर:
गोलों को पूरा करने पर, केन्द्र C पर नेट तीव्रता शून्य होगी। इसका तात्पर्य है कि केन्द्र C पर दोनों अर्धगोलों के कारण तीव्रताएँ परस्पर विपरीत व बराबर होंगी। अर्थात् दिशा (iii) C द्वारा व्यक्त होगी।
प्रश्न 8.11
उपरोक्त समस्या में किसी यादृच्छिक बिन्दु P पर गुरुत्वीय तीव्रता किस तीर –
(i) d
(ii) e
(iii) f
(iv) g द्वारा व्यक्त की जाएगी?
उत्तर:
(ii) (e) द्वारा व्यक्त होगी।
प्रश्न 8.12
पृथ्वी से किसी रॉकेट को सूर्य की ओर दागा गया है। पृथ्वी के केन्द्र से किस दूरी पर रॉकेट पर गुरुत्वाकर्षण बल शून्य है? सूर्य का द्रव्यमान = 2 × 1030 kg, पृथ्वी का द्रव्यमान = 6 × 1024 kg। अन्य ग्रहों आदि के प्रभावों की उपेक्षा कीजिए ( कक्षीय त्रिज्या = 15 × 1011 m)
उत्तर:
माना पृथ्वी के केन्द्र से दूरी पर सूर्य व पृथ्वी के कारण गुरुत्वाकर्षण बल बिन्दु P पर है। अतः रॉकेट पर गुरुत्वाकर्षण बल शून्य है।
माना सूर्य से पृथ्वी से बीच की दूरी = x = पृथ्वी की त्रिज्या
सूर्य का द्रव्यमान, Ms = 2 × 1030 किग्रा
पृथ्वी का द्रव्यमान Me = 6 × 1024 किग्रा
x = 1.5 × 1011 मीटर
माना रॉकेट का द्रव्यमान m है।

बिन्दु P पर, सूर्य व रॉकेट के मध्य गुरुत्वाकर्षण बल
= पृथ्वी व रॉकेट के मध्य गुरुत्वाकर्षण बल।

![]()
प्रश्न 8.13
आप सूर्य को कैसे तोलेंगे, अर्थात् उसके द्रव्यमान का आंकलन कैसे करेंगे? सूर्य के परितः पृथ्वी की कक्षा की औसत त्रिज्या 15 × 108 km है।
उत्तर:
हम जानते हैं कि पृथ्वी, सूर्य के चारों ओर 1.5 × 1011 मीटर त्रिज्या की कक्षा में घूमती है। पृथ्वी एक चक्कर 365 दिनों में पूरा करती है।
दिया है:
पृथ्वी की त्रिज्या = R = 1.5 × 1011 मीटर
सूर्य के चारों ओर पृथ्वी और पृथ्वी का आवर्तकाल,
T = 365
दिन = 365 × 24 × 60 × 60 से०,
G = 6.67 × 1011 न्यूटन-मीटर2 प्रति किग्रा2
जहाँ Ms = सूर्य का द्रव्यमान है = ?
हम जानते हैं कि –
जहाँ Ms = सूर्य का द्रव्यमान है।

∴ सूर्य का द्रव्यमान = 2.0 × 1030 किग्रा।
प्रश्न 8.14
एक शनि वर्ष एक पृथ्वी-वर्ष का 29.5 गुना है। यदि पृथ्वी सूर्य से 15 × 108 km दूरी पर है, तो शनि सूर्य से कितनी दूरी पर है?
उत्तर:
केप्लर के नियम से,
i.e., T2 ∝ R3
∴ शनि के लिए \(T_{s}^{2} \propto R_{s}^{3}\) …………….. (i)
तथा पृथ्वी के लिए \(T_{e}^{2} \propto R_{c}^{3}\) ……………. (ii)
समी० (i) को (ii) से भाग देने पर,

दिया है:
Ts = 29.5Te या \(\frac{T_{s}}{T_{e}}\) = 29.5
सूर्य से पृथ्वी की दूरी = Rs = 1.5 × 108 km
सूर्य से शनि की दूरी = Rs ……. (iv)
∴ समी० (iii) व (iv) से,

= 1.43 × 107 किमी
![]()
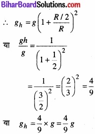
प्रश्न 8.15
पृथ्वी के पृष्ठ पर किसी वस्तु का भार 63N है। पृथ्वी की त्रिज्या की आधी ऊँचाई पर पृथ्वी के कारण इस वस्तु पर गुरुत्वीय बल कितना है?
उत्तर:
पृथ्वी के पृष्ठ से ऊँचाई = h = \(\frac{R}{2}\)
जहाँ R = पृथ्वी की त्रिज्या है।
हम जानते हैं कि gh = g[1 + \(\frac{h}{R}\))2
दिया है:
h = \(\frac{R}{2}\)

माना m = वस्तु का द्रव्यमान है
माना पृथ्वी के पृष्ठ व hऊँचाई पर भार क्रमश: W व Wh हैं।
अतः w = mg = 63 N दिया है।
तथा Wh = mgh
= m × \(\frac{4}{9}\)g = \(\frac{4}{9}\) mg
= \(\frac{4}{9}\) × 63 = 28 N
∴ Wh = 28 N
प्रश्न 8.16
यह मानते हुए कि पृथ्वी एकसमान घनत्व का एक गोला है तथा इसके पृष्ठ पर किसी वस्तु का भार 250N है, यह ज्ञात कीजिए कि पृथ्वी के केन्द्र की ओर आधी दूरी पर इस वस्तु का भार क्या होगा?
उत्तर:
माना कि पृथ्वी के पृष्ठ तथा पृथ्वी के पृष्ठ से d दूरी पर गुरुत्व के कारण त्वरण क्रमशः g व gd हैं।
माना कि पृथ्वी के पृष्ठ तथा पृथ्वी के पृष्ठ से d दूरी पर भार क्रमश: W व Wd है।
∴ W = mg = 250 N ……. (i)
तथा Wd = mgd ……………….. (ii)
हम जानते हैं कि gd = g(1 – \(\frac{d}{R}\)) ………………. (iii)
दिया है: d = \(\frac{R}{2}\) जहाँ R = पृथ्वी की त्रिज्या। ………………… (iv)
∴ समी० (iii) व (iv) से,
gd = g(1- \(\frac{R/2}{R}\))
= g (1 – \(\frac{1}{2}\)) = g × \(\frac{1}{2}\)
= \(\frac{g}{2}\) ……………. (v)
∴ wd = mgd = m \(\frac{g}{2}\) (समी० (v) से)
= \(\frac{1}{2}\) mg = \(\frac{1}{2}\) W
= \(\frac{1}{2}\) × 250 = 125 N
∴ पृथ्वी के केन्द्र से आधी दूरी पर वस्तु पर वस्तु का भार
= 125 N
![]()
प्रश्न 8.17
पृथ्वी के पृष्ठ से ऊर्ध्वाधरतः ऊपर की ओर कोई रॉकेट 5 kms-1 की चाल से दागा जाता है। पृथ्वी पर वापस लौटने से पूर्व यह रॉकेट पृथ्वी से कितनी दूरी तक जाएगा? पृथ्वी का द्रव्यमान = 6.0 × 1024 kg पृथ्वी की माध्य त्रिज्या = 6.4 × 106 m तथा G = 6.67 × 10-11 Nm2 kg-2
उत्तर:
माना रॉकेट की प्रारम्भिक चाल है रॉकेट की पृथ्वी से h ऊँचाई पर वेग शून्य है।
माना रॉकेट का द्रव्यमान m है तथा पृथ्वी के पृष्ठ पर इसकी सम्पूर्ण ऊर्जा
K.E. + P.E. = \(\frac{1}{2}\) mv2 – \(\frac{GMm}{R}\) ………………… (i)
जहाँ M = पृथ्वी का द्रव्यमान
R = पृथ्वी की त्रिज्या
G = सार्वत्रिक गुरुत्वाकर्षण नियतांक
उच्चतम बिन्दु पर K.E. = 0 (∵ वेग = 0)
तथा P.E. = –\(\frac{GMm}{R}\) ………….. (ii)
h ऊँचाई पर रॉकेट की सम्पूर्ण ऊर्जा
= K.E. + P.E. = 0 + P.E. = P.E.
= \(\frac{G M_{m}}{R+h}\) ……………….. (iii)
ऊर्जा संरक्षण के नियम से,

दिया है: v = 5 km s-1 = 5000 ms-1
दिया है: R = 6.4 × 6 m
समी० (iv) में दिया मान रखने पर,

∴ पृथ्वी के केन्द्र से दूरी
= R + h = 6.4 × 106 + 1.6 × 106
= 8.0 × 106 मीटर।
![]()
प्रश्न 8.18
पृथ्वी के पृष्ठ पर किसी प्रक्षेप्य की पलायन चाल 11.2 kms-1 है। किसी वस्तु को इस चाल की तीन गुनी चाल से प्रक्षेपित किया जाता है। पृथ्वीसे अत्यधिक दूर जाने पर इस वस्तु की चाल क्या होगी? सूर्य तथा अन्य ग्रहों की उपस्थिति की उपेक्षा कीजिए।
उत्तर:
माना वस्तु की प्रारम्भिक व अन्तिम चाल v व v’ है।
माना वस्तु का द्रव्यमान m है।
वस्तु की प्रारम्भिक गतिज ऊर्जा
= \(\frac{1}{2}\) mv2
वस्तु की स्थितिज ऊर्जा (पृथ्वी की सतह पर)
= \(\frac{-GMm}{R}\)

जहाँ M व R क्रमशः पृथ्वी के द्रव्यमान व त्रिज्या हैं।
वस्तु की अन्तिम स्थितिज ऊर्जा (अनन्त पर) = 0
वस्तु की अन्तिम गतिज ऊर्जा (अनन्त पर) = \(\frac{1}{2}\) mv2
ऊर्जा संरक्षण के नियम से,
प्रा० गतिज ऊर्जा + प्रा० PE = अन्तिम (KE + PE)
या \(\frac{1}{2}\) mv2 – \(\frac{GMm}{R}\) = \(\frac{1}{2}\) mv2 + 0
या \(\frac{1}{2}\) mv2 = \(\frac{1}{2}\) mv2 – \(\frac{GMm}{R}\) ……………….. (i)
Also Let ve = escape velocity
\(\frac{1}{2} m v_{e}^{2}\) = \(\frac{GMm}{R}\) ………….. (ii)
समी० (i) तथा (ii) से,
\(\frac{1}{2}\) mv2 = \(\frac{1}{2}\) mv2 – \(\frac{1}{2} m v_{e}^{2}\) …………….. (iii)
अब
ve = 11.2 kms-1
v = 3ve ……………… (iv) (दिया है)
समी० (iii) तथा (iv) से,

= 31.7 kms-1
![]()
प्रश्न 8.19
कोई उपग्रह पृथ्वी के पृष्ठ से 400 km ऊँचाई पर पृथ्वी की परिक्रमा कर रहा है। इस उपग्रह को पृथ्वी के गुरुत्वीय प्रभाव से बाहर निकालने में कितनी ऊर्जा खर्च होगी? उपग्रह का द्रव्यमान = 200 kg; पृथ्वी का द्रव्यमान = 6.0 × 1024 kg; पृथ्वी की त्रिज्या = 6.4 × 106 m तथा G = 6.67 × 10-11 Nm2 kg-2
उत्तर:
माना पृथ्वी का द्रव्यमान व त्रिज्या क्रमशः M व R है।
माना पृथ्वी पृष्ठ से L ऊँचाई पर उपग्रह का द्रव्यमान m है।
h ऊँचाई पर कक्ष में वेग = कक्षीय वेग = v
कक्ष में उपग्रह की KE = \(\frac{1}{2}\) mv2
h ऊँचाई पर उपग्रह की स्थितिज ऊर्जा
= \(\frac{-GMm}{R+h}\)
अत: चक्रण करते उपग्रह की सम्पूर्ण ऊर्जा (KE + PE)
= \(\frac{1}{2}\) mv2 – \(\frac{GMm}{R+h}\)
= \(\frac{1}{2}\)m (\(\frac{GM}{R+h}\)) – \(\frac{GMm}{R+h}\)
(∵ h ऊँचाई पर कक्षीय वेग = \(\sqrt{\frac{G M}{R+h}}\))
= – \(\frac{1}{2}\) \(\frac{GMm}{R+h}\)
उपग्रह को पृथ्वी की गुरुत्वाकर्षण से बाहर भेजने के लिए इसकी गुरुत्वाकर्षण स्थितिज ऊर्जा शून्य होगी तथा इसकी गतिज ऊर्जा भी शून्य होगी।
पृथ्वी के गुरुत्वाकर्षण से बाहर भेजने पर उपग्रह की अन्तिम ऊर्जा = 0
R ऊँचाई पर चक्रण करती वस्तु की ऊर्जा + दी गई ऊर्जा = 0 (ऊर्जा संरक्षण के नियम से)
उपग्रह को पृथ्वी के गुरुत्वाकर्षण से बाहर भेजने के लिए दी गई ऊर्जा
= E = – चक्रण करते उपग्रह की ऊर्जा
= -(\(\frac{1}{2}\) \(\frac{GMm}{R+h}\)) = \(\frac{1}{2}\) \(\frac{GMm}{R+h}\)
दिया है
h = 400 km
= 400 × 103 m, R = 6400 × 103 m,
G = 6.67 × 10-11 Nm2 kg-2
M = 6 × 1024 kg, m = 200 kg

![]()
प्रश्न 8.20
दो तारे, जिनमें प्रत्येक का द्रव्यमान सूर्य के द्रव्यमान (2 × 1030 kg) के बराबर है, एक दूसरे की ओर सम्मुख टक्कर के लिए आ रहे हैं। जब वे 109 km की दूरी पर हैं तब इनकी चाल उपेक्षणीय है। ये तारे किस चाल से टकराएंगे? प्रत्येक तारे की त्रिज्या 104 km है। यह मानिए कि टकराने के पूर्व तक तारों में कोई विरूपण नहीं होता (G के ज्ञात मान का उपयोग कीजिए)।
उत्तर:
दिया है:
प्रत्येक तारे का द्रव्यमान
M = 2 × 1030 किग्रा
दोनों तारों के मध्य प्रा० दूरी,

r = 109 किमी = 1012 मीटर
प्रत्येक तारे का आकार = त्रिज्या
= r = 104 किमी = 107 मीटर
माना दोनों तारे एक दूसरे से v से टकराते हैं।
माना दोनों तारे की प्रा० चाल u है।
r दूरी पर रखे एक तारे की दूसरे के सापेक्ष स्थितिज ऊर्जा
PE = \(-\frac{G m_{1} m_{2}}{r}=-\frac{G M m}{r}\)
r दूरी पर KE = 0 [∵ u = 0]
सम्पूर्ण प्रा० ऊर्जा
KE + PE = 0 – \(\frac{G M^{2}}{r}\) = \(\frac{-G M^{2}}{r}\) ……………… (i)
माना दोनों तारों के केन्द्र r’ दूरी पर जब दोनों तारे एकदम टकराने वाले होते हैं = 2R
संघट्ट के बाद दोनों तारों की KE
= \(\frac{1}{2}\) mv2 + \(\frac{1}{2}\) mv2
– Mv2
संघट्ट के समय दोनों तारों की
PE = \(\frac{-GMM}{r’}\) = \(\frac{G M^{2}}{r}\)
ऊर्जा संरक्षण के नियम से
सम्पूर्ण प्रा० ऊर्जा = अन्तिम (ICE + IPE)
या \(\frac{-G M^{2}}{r}\) = Mv2 – \(\frac{G M^{2}}{2R}\)
या Mv2 = \(\frac{G M^{2}}{2R}\) – \(\frac{-G M^{2}}{r}\)
v2 = GM(\(\frac{1}{2R}\) – \(\frac{1}{r}\))
![]()
प्रश्न 8.21
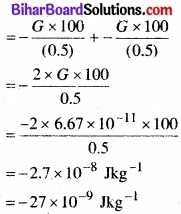
दो भारी गोले जिनमें प्रत्येक का द्रव्यमान 100 kg, त्रिज्या 0.10 m है किसी क्षैतिज मेज पर एक दूसरे से 1.0 m दूरी पर स्थित हैं। दोनों गोलों के केन्द्रों को मिलाने वाली रेखा के मध्य बिन्दु पर गुरुत्वीय बल तथा विभव क्या है? क्या इस बिन्दु पर रखा कोई पिंड संतुलन में होगा? यदि हाँ, तो यह सन्तुलन स्थायी होगा अथवा अस्थायी?
उत्तर:
माना दोनों गोले क्रमश: A व B बिन्दु पर रखे गए हैं। दोनों गोलों के बीच की दूरी = r = AB = 1 मीटर

AB का मध्य बिन्दु 0 = AB × \(\frac{1}{2}\)
= \(\frac{1}{2}\) × 1m = 0.5 m
AO = OB
= \(\frac{1}{2}\) × 1m = 0.5 m
प्रत्येक गोले का द्रव्यमान = M = 100 kg
माना कि O बिन्दु पर रखी प्रत्येक वस्तु का द्रव्यमान = m
हम जानते हैं कि गुरुत्वाकर्षण बल,
F = \(\frac{G M m}{d^{2}}\)
माना A व b के कारण O पर बल क्रमश: FA व FB हैं। अतः
FA = \(\frac{G \times 100 \times m}{(0.5)^{2}}\) along OA
तथा FB = \(\frac{G \times 100 \times m}{(0.5)^{2}}\) along OB
चूँकि |\(\vec{F}\)A| = |\(\vec{F}\)B|
ये दोनों विपरीत दिशा में लगते हैं।
अतः O पर परिणामी बल = 0
इसका तात्पर्य यह है कि O बिन्दु पर रखी वस्तु पर कोई बल नहीं लगता है। अतः यह वस्तु सन्तुलन में है। लेकिन यह सन्तुलन अस्थिर है चूँकि A व B में सूक्ष्म विस्थापन से भी सन्तुलन बदला जाता है।
पुनः हम जानते हैं कि गुरुत्वाकर्षण विभव,
= – \(\frac{Gm}{d}\)
माना A व B बिन्दुओं पर रखे गोलों पर O के कारण गुरुत्वाकर्षण विभव क्रमश: VA व VB है।
अतः VA = \(\frac{G×100}{(0.5)}\) (∵d = 0.5)
तथा VB = – \(\frac{G×100}{(0.5)}\)
सम्पूर्ण विभव V = VA + VB

अतः मध्यबिन्दु पर रखी वस्तु अस्थिर सन्तुलन में होती है।
Bihar Board Class 11 Physics गुरुत्वाकर्षण Additional Important Questions and Answers
अतिरिक्त अभ्यास के प्रश्न एवं उनके उत्तर
प्रश्न 8.22
जैसा कि आपने इस अध्याय में सीखा है कि कोई तुल्यकाली उपग्रह पृथ्वी के पृष्ठ से लगभग 36,000 km ऊँचाई पर पृथ्वी की परिक्रमा करता है। इस उपग्रह के निर्धारित स्थल पर पृथ्वी के गुरुत्व बल के कारण विभव क्या है? (अनन्त पर स्थितिज ऊर्जा शून्य लीजिए।) पृथ्वी का द्रव्यमान = 6.0 × 1024 kg; पृथ्वी की त्रिज्या = 6400 km.
उत्तर:
दिया है:
ME = 6 × 1024 किग्रा
RE = 6400 किमी = 6.4 × 106 मीटर
h = 36 × 106 मीटर
हम जानते हैं कि गुरुत्वीय विभव

= -9.4 × 106 जूल प्रति किग्रा
![]()
प्रश्न 8.23
सूर्य के द्रव्यमान से 2.5 गुने द्रव्यमान का कोई तारा 12 km आमाप से निपात होकर 1.2 परिक्रमण प्रति सेकण्ड से घूर्णन कर रहा है। (इसी प्रकार के संहत तारे को न्यूट्रॉन तारा कहते हैं कुछ प्रेक्षित तारकीय पिंड, जिन्हें पल्सार कहते हैं, इसी श्रेणी में आते हैं।) इसके विषुवत् वृत्त पर रखा कोई पिंड, गुरुत्व बल के कारण, क्या इसके पृष्ठ से चिपका रहेगा? (सूर्य का द्रव्यमान = 2 × 1030 kg)
उत्तर:
तारे से चिपके तारकीय पिंड के लिए, तीर का गुरुत्वाकर्षण बल अभिकेन्द्र बल के बराबर या अधिक होगा। इस दशा में अभिकेन्द्र बल, गुरुत्वाकर्षण बल से अधिक नहीं होगा तथा पिंड नहीं उड़ेगा।

अतः तारे से तारकीय पिंड से चिपकने के लिये, गुरुत्व के कारण तारे पर त्वरण ≥ अभिकेन्द्रीय त्वरण
दिया है:
r = 12 km = 12 × 103 m
आवृत्ति v = 1.5 rps
w = 2πv = 2π × 1.5 = 3 × rads-1
अभिकेन्द्रीय त्वरण,
ac = \(\frac{v^{2}}{r}\) = rω2
= 12 × 103 × (3π2) …………… (i)
= 12 × 103 × 9 × 9.87
= 1065.96 × 103 ms-2
= 1.1 × 106 ms-1
पुनः हम जानते हैं कि तारे पर गुरुत्व के कारण त्वरण निम्नवत् है –
g = \(\frac{G M}{r^{2}}\) ……………… (ii)
दिया है:
M = सूर्य के द्रव्यमान का 2.5 गुना
= 2.5 × 2 × 1030 kg (∵ सूर्य का द्रव्यमान = 2 × 1030 kg)
= 5 × 1030
r = 12 km
G = 6.67 × 10-11 Nm2kg-2 …………… (iii)
समी० (ii) व (iii) से,

समीकरण (i).व (iv) से,
g >> a
अतः पिंड तारे से चिपका रहेगा।
![]()
प्रश्न 8.24
कोई अन्तरिक्षयान मंगल पर ठहरा हुआ है। इस अन्तरिक्षयान पर कितनी ऊर्जा खर्च की जाए कि इसे सौरमण्डल से बाहर धकेला जा सके। अन्तरिक्षयान का द्रव्यमान = 1000 kg; सूर्य का द्रव्यमान = 2 × 1030 kg; मंगल का द्रव्यमान = 6.4 × 1023 kg; मंगल की त्रिज्या = 3395 km; मंगल की कक्षा की त्रिज्या = 2.28 × 108 km तथा G = 6.67 × 10-11 Nm2kg-2
उत्तर:
G = 6.67 × 10-11 Nm2kg-2
माना कि सूर्य के सापेक्ष मंगल का द्रव्यमान व त्रिज्या क्रमश: M व R है।
दिया है:
सूर्य का द्रव्यमान M = 2 × 1030 kg

व्यक्ति की सूर्य के चारों ओर त्रिज्या,
= R = 2.28 × 108 km
मंगल की त्रिज्या = R’ = 3395 km
मंगल का द्रव्यमान = M’ = 6.4 × 1023 kg
सौरमण्डल का द्रव्यमान m = 1000 किग्रा
सूर्य के गुरुत्वाकर्षण के कारण अन्तरिक्षयान की स्थितिज ऊर्जा
= \(\frac{-GMm}{R}\) ………………. (i)
मंगल के गुरुत्वाकर्षण के कारण सौरमण्डल की स्थितिज ऊर्जा
= \(\frac{-GM’m}{R’}\) …………….. (ii)
मंगल के पृष्ठ पर अन्तरिक्षयान की सम्पूर्ण स्थितिज ऊर्जा
= \(\frac{-GMm}{R}\) – \(\frac{GM’m}{R’}\) ……………. (iii)
चूँकि अन्तरिक्षयान की KE शून्य है .
∴ अन्तरिक्षयान की सम्पूर्ण ऊर्जा
= KE + PE = 0 + PE
= \(\frac{-GMm}{R}\) + \(\frac{GM’m}{R’}\)
= -Gm \(\frac{M}{R}\) + \(\frac{M’}{R’}\) ………………. (iv)
अन्तरिक्षयान को सौरमण्डल से बाहर करने के लिए, इसकी गतिज ऊर्जा इतनी बढ़ानी चाहिए जिससे इस ऊर्जा का मान, मंगल के पृष्ठ पर ऊर्जा के समान हो जाए।
अभीष्ट ऊर्जा = – (अन्तरिक्षयान की सम्पूर्ण ऊर्जा)

![]()
प्रश्न 8.25
किसी रॉकेट को मंगल के पृष्ठ से 2 kms-1 की चाल से ऊर्ध्वाधर ऊपर दागा जाता है। यदि मंगल के वातावरणीय प्रतिरोध के कारण इसकी 20% आरंभिक ऊर्जा नष्ट हो जाती है, तो मंगल के पृष्ठ पर वापस लौटने से पूर्व यह रॉकेट मंगल से कितनी दूरी तक जाएगा? मंगल का द्रव्यमान = 6.4 × 1023 kg; मंगल की त्रिज्या = 3395 km तथा G = 6.67 × 10-11 Nm 2kg-2
उत्तर:
माना रॉकेट का द्रव्यमान m है।
दिया है:
मंगल का द्रव्यमान, M = 6.4 × 1023 किग्रा
मंगल की त्रिज्या, R = 3395 किमी
गुरुत्वाकर्षण नियतांक
G = 6.67 × 10-11 न्यूटन-मीटर2 प्रति किग्रा2
माना कि रॉकेट मंगल से h ऊँचाई तक पहुँचता है।
माना कि मंगल के पृष्ठ से रॉकेट को प्रारम्भिक चाल v से छोड़ा जाता है।
रॉकेट की प्रारम्भिक गतिज ऊर्जा = \(\frac{1}{2}\) mv2
व रॉकेट की प्रारम्भिक स्थितिज ऊर्जा = \(\frac{-GMm}{R}\)
रॉकेट की सम्पूर्ण प्रा० ऊर्जा = K.E. + P.E.
= \(\frac{1}{2}\) mv2 – \(\frac{GMm}{R}\)
चूँकि h ऊँचाई पर 20% ऊर्जा नष्ट हो जाती है जबकि 80% ऊर्जा संचित रहती है।
संचित ऊर्जा = \(\frac{80}{100}\) × \(\frac{1}{2}\) mv2
सम्पूर्ण उपलब्ध प्रा० ऊर्जा,
= \(\frac{4}{5}\) \(\frac{1}{2}\) mv2 – \(\frac{GMm}{R}\)
= 0.4 mv2 – \(\frac{GMm}{R}\)
h ऊँचाई पर रॉकेट की स्थितिज ऊर्जा = \(\frac{-GMm}{R+h}\)
h ऊँचाई पर K.E. = 0
ऊर्जा संरक्षण के नियम से,
सम्पूर्ण प्रा० ऊर्जा = सम्पूर्ण अन्तिम ऊर्जा
∴ प्रा० (KE + PE) = अन्तिम (KE + PE)
= 0 + P.E. = P.E.

दिया है:

= 495 × 103 m
= 495 किमी