Bihar Board Class 12 Chemistry Solutions Chapter 12 Aldehydes, Ketones and Carboxylic Acids Textbook Questions and Answers, Additional Important Questions, Notes.
BSEB Bihar Board Class 12 Chemistry Solutions Chapter 12 Aldehydes, Ketones and Carboxylic Acids
Bihar Board Class 12 Chemistry Aldehydes, Ketones and Carboxylic Acids Intext Questions and Answers
Question 1.
Write the structures of the following compounds:
(i) α-Methoxypropionaldehyde
(ii) 3-Hydroxybutanal
(iii) 2-Hydroxycyclopentane carbaldehyde
(iv) 4-Oxopentenal
(v) Di-sec-butyl ketone.
(vi) 4-Fluoroacetophenone.
Answer:

Question 2.
Write the structures of the products of the following


Answer:

Question 3.
Arrange the following compounds in increasing order of their boiling points. CH3 CHO, CH3 CH2OH, CH3O CH3 CH3 CH2 CH3.
Answer:
The following is the order:
CH3CH2 CH3 < CH3O CH3 < CH3CHO < CH3 CH2OH.
Question 4.
Arrange the following compounds in increasing order of their reactivity in nucleophilic addition reactions.
(i) Ethanal, Propanal, Propanone, Butanone.
(ii) Benzaldehyde, p-Tolualdehyde, p-Nitrobenzaldehyde, acetophenone.
Answer:
(i) Butanone < Propanone < Propanal < ethanal. Lesser the steric hindrance, more is the reactivity.
(ii) Acetophenone < p-tolualdehyde < benzaldehyd p-nitrobenzaldehyde.
Question 5.
Pred products of the following reactions:

Answer:

Question 6.
Give the IUPAC names of the following compounds:
(i) phCH2CH2COOH
(ii) (CH3)2C=CHCOOH

Answer:
(i) 3-Phenyl propanoic acid.
(ii) 3-Methylbut-2-enoic acid.
(iii) 2-Methylcyclopentanecarboxylic acid.
(iv) 2,4,6-Trinitrobenzoic acid.
![]()
Question 7.
Show how each of the following compounds could be converted to benzoic acid.
(i) Ethylbenzene,
(ii) Acetophenone,
(iii) Bromobenzene,
(iv) Phenylethene (Styrene).
Answer:
(i) Ethylbenzene to benzoic acid

(ii) Acetophenone to benzoic acid

(iii) Bromobenzene to benzoic acid

(iv) Phenylethene (Styrene) to benzoic acid

Question 8.
Which acid of each pair shown here would you expect to be stronger?
(i) CH3CO2H or CH2F CO2H
(ii) CH2F CO2H or CH2ClCO2H
(iii) CH2F CH2 CH2 CO2 H or CH3CHFCH2CO2H

Answer:
(i) CH2FCOOH
(b) CH2F COOH
(c) CH3 CHFCH2COOH

Bihar Board Class 12 Chemistry Aldehydes, Ketones and Carboxylic Acids Text Book Questions and Answers
Question 1.
What is meant by the following terms? Give an example of the reaction in each case.
(i) Cyanohydrin,
(ii) Acetal,
(iii) Semicarbazone,
(iv) Aldol,
(v) Hemiacetal,
(vi) Oxime,
(vii) Ketal,
(viii) imine,
(ix) 2, 4-DNP- derivative,
(x) Setoff’s base.
Answer:
(i) Cyanohydrin is the compound obtained on the reaction of the carbonyl compounds with hydrogen cyanide.

(ii) Acetal-When aldehydes react with two equivalents of a monohydric alcohol in the presence of dry HCl gas, the product formed is called an acetal.

(iii) Semicarbazone is the product obtained from the reaction of aldehydes and ketones with semicarbazide NH2NHCONH2.

(iv) Aldol-The product formed as,a result of the reaction of a carbonyl compound containing at least one a-hydrogen in the presence of dilute alkali is called aldol.

(v) Hemiacetal-When an aldehyde reacts with one molecule of an alcohol in the presence of dry HCl gas, a hemiacetal is formed.

(vi) Oxime-When an aldehyde or a ketone reacts with hydroxylamine, (NH2OH), an oxime is formed.

(vii) Ketal-When a ketone reacts with ethylene glycol in the presence of dry HCl gas, a cyclic product is formed which is called a ketal.

(viii) Imine-The product formed by the reaction of an aldehyde or a ketone with ammonia (NH3) is called an imine.

(ix) 2,4-DNP-derivative—When carbonyl compounds react with 2,4-DNP (dinitrophenyl) hydrazine, the product formed is called 2,4- DNP hydrazone.

(x) Schiff’s base-A substituted imine obtained by the reaction of an amine on an aldehyde or a ketone is called Schiff’s base.

Question 2.
Name the following compounds according to IUPAC system of nomenclature:
(i) CH3CH (CH3)CH2 CH2CHO
(ii) CH3CH2COCH (C2H5)CH2CH2Cl
(iii) CH3CH = CHCHO
(iv) CH3COCH2COCH3
(v) CH3CH(CH3)CH2C(CH3)2COCH3
(vi) (CH3)3CCH2COOH
(vii) OHCC6H4CHO-p
Answer:


Question 3.
Draw the structures of the following compounds.
(i) 3-Methylbutanal
(ii) p-Nitropropiophenon
(iii) p-Methylbenzaldehyde
(iv) 4-Chloropentan-2-one
(v) 3-Bromo-4 pehnylpentanoic acid
(vii) p, p’ -Dihydroxybenzo phenone
(viii) Hex-2-en-4-ynoic acid
Answer:
(i) 3-Methylbutanal

(ii) p-Nitropropiophenone

(iii) p-Methylbenzaldehyde

(iv) 4-Methylpent-3-en-2-one

(v) 4-Choloropentan-2-one

(vi) 3-Bromo-4 pehnylpentanoic acid

(vii) p,p-Dihydroxybenzopheone

(viii) Hex-2-en-4-ynoic acid

Question 4.
Write the IUPAC names of the following ketones and aldehydes. Wherever possible, give also common names.
(i) CH3CO (CH2)4CH3
(ii) CH3CH2CHBrCH2CH(CH3)CHO
(iii) CH3(CH2)5CHO
(iv) Ph-CH = CH-CHO

(vi) PhCOPh
Answer:
(i) Heptane-2-one
(ii) 4-Bromo-2-methyl hexanal
(iii) Heptanal
(iv) 3-Phenyl propenal
(v) Cyclopentane carbaldehyde
(vi) Diphenyl methanone.
![]()
Question 5.
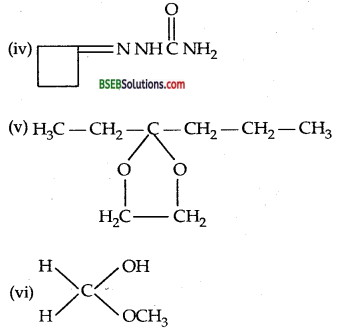
Draw structures of the following derivatives.
(i) The 2,4-dinitrophenylhydrazone of benzaldehyde.
(ii) Cyclopropanone oxime.
(iii) Acetaldehydedimethylacetal.
(iv) The semicarbazone of cyclobutanone.
(v) The ethylene ketal of hexane-3-one.
(vi) The methyl hemiacetal of formaldehyde.
Answer:


Question 6.
Predict the product when cyclohexane carbaldehyde reacts with following reagents:
(i) PhMgBr and then H3O+.
(ii) Tollen’s reagent.
(iii) Semicarbazide and weak acid.
(iv) Excess ethanol and acid
(v) Zinc amalgam and dilute hydrochloric acid.
Answer:


Question 7.
Which of the following compounds would undergo aldol condensation, which the Cannizzaro reaction and which neither? Write the structures of the expected products of aldol condensation and Cannizzaro reaction.
(i) Methanal,
(ii) 2-Methylpentanal,
(iii) Benzaldehyde,
(iv) Benzophenone,
(v) Cyclohexanone,
(vi) 1-Phenylpropanone,
(vii) Phenylacetaldehyde,
(viii) Butan-l-ol,
(ix) 2,2-Dimethylbutanal.
Answer:
(i) Methanal (HCHO) undergoes Cannizaro’s reaction-Two molecules of methanol (containing no hydrogen on a-carbon atom) combine with cone. NaOH to give the following:

It does not undergo aldol condensation.

It will not give Cannizzaro reaction. It gives aldol Condensation Products in the presence of dil. NaOH solutions.

(iii) Benzaldehyde undergoes Cannizaro reaction in the presence of conc.(about 40%) NaOH

(iv) Benzophenone 
It can neither give aldol condensation nor Cannizzaro reaction,
(v) Cyclohexanone
. It will give aldol Condensation.

(vi) 1-Phenylpropanone C6H5CH2COCH3. It will give aldol condensation.

(vii) Phenylacetaldehyde

Two molecules condense in the presence of dil. NaOH to give a idol Condensation.

(viii) Butan-1-ol CH3-CH2-CH2-CH2OH
It gives neither aldol Condensation nor Cannizzaro reaction.

Since it contains no hydrogen on a-C atom, it will not give aldol condensation, but it will give Cannizaro reaction.

Question 8.
How will you convert ethanal into the following compounds?
(a) Butane-1,3-diol,
(b) But-2-enal,
(c) But-2-enoic acid.
Answer:
(a) Ethanol to Butane-1,3-diol

(b) But-2-enal,

(c) But-2-enoic acid

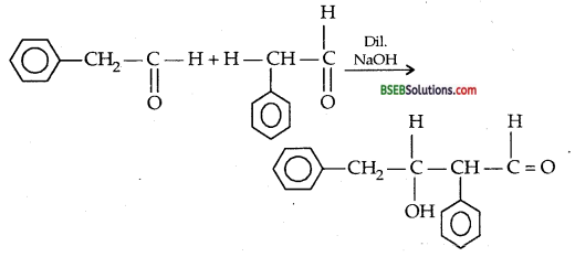
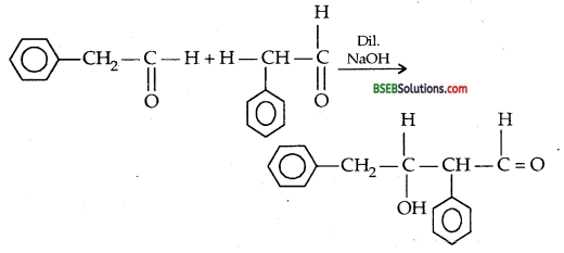
Question 9.
Write structural formulas and names of the four possible aldol condensation products from propanol and butanol. In each case,
indicate which aldehyde acts as nucleophile and which as electrophile.
Answer:

Here propanal acts as nucleophile and electrophile.
(b) CH3CH2CHO (electrophile) and butanol as nuclophile-

(c) Butanal as electrophile and propanal as nucleophile-

(d) Butanal both as Electrophile and nucleophile-

![]()
Question 10.
An organic compound with the molecular formula C9H10O forms 2, 4-DNP derivative, reduces Tollen’s reagent and undergoes Cannizzaro reaction. On vigorous oxidation, it gives 1,2- benzene dicarboxylic acid. Identify the compound.
Answer:
(i) Since the given compound with M.F. C9H10O forms 2,4- DNP derivative and reduces Tollen’s reagent, it must be an aldehyde.
(ii) Since it gives 1, 2-benzene dicarboxylic acid in vigorous oxidation, it has a benzene nucleus in it.
(iii) Since it undergoes Cannizzaro’s reaction, therefore, the -CHO group is directly attached to the benzene ring.
(iv) Since on vigorous oxidation it gives 1,2-benzene dicarboxylic acid, therefore, it must be an ortho-substituted benzaldehyde. The only ortho-substituted aromatic aldehyde with molecular formula C9H10O is o-ethyl benzaldehyde. All the reactions can be explained on the basis of o-ethyl benzaldehyde.

Question 11.
An organic compound (A) (molecular formula (C8H16O2) was hydrolysed with dilute sulphuric acid to give a carboxylic acid (B) and an alcohol (C). Oxidation of (C) with chromic acid produced (B).
(C) on dehydration gives but-l-ene. Write equations for the reactions involved.
Answer:
(i) Since an ester A with M.F. C8H16O2 upon hydrolysis gives carboxylic acid B and the alcohol C and oxidation of C with chromic acid produces the acid B, Therefore, both the carboxylic acid B and alcohol C must contain the same no. of carbon atoms.
(ii) Further, since ester A contains eight carbon atoms, therefore, both the carboxylic acid B and alcohol C must contain four carbon atoms each. Therefore, possible structure for the alcohol C containing four carbon atoms which upon oxidation will give carboxylic acid B containing four carbon atoms are:

Question 12.
Arrange the following compounds in increasing order of their property as indicated:
(i) Acetaldehyde, Acetone, Di-ferf-butyl ketone, Methyl tert-butyl ketone (reactivity towards HCN)
(ii) CH3CH2CH (Br)COOH, CH3CH(Br)CH2COOH, (CH3)2 CHCOOH, CH3 CH2CH2COOH (acid strength).
(iii) Benzoic acid, 4-Nitrobenzoic acid, 3,4-Dinitrobenzoic acid, 4- Methoxybenzoic acid (CH3)2 CHCOOH (acid strength).
Answer:
(i) Di-tert-butyl ketone < Methyl tert-butyl ketone < Acetone < Acetaldehyde.
(ii) (CH3)2 CHCOOH < CH3CH2CH2COOH < CH3CH (Br) CH2COOH < CH3CH2CH (Br) COOH.
(iii) 4-Methoxy benzoic acid < Benzoic acid < 4-Nitrobenzoic acid < 3,4 Diriitrobenzoic acid.
Question 13.
Give simple chemical tests to distinguish between the following pairs of compounds.
(i) Propanal and Propanone
(ii) Acetophenone and Benzophenone
(iii) Phenol and Benzoic acid
(iv) Benzoic acid and Ethyl benzoate
(v) Pentan-2-one and Pentan-3-one
(vi) Benzaldehyde and Acetophenone.
(vii) Ethanal and Propanal
Answer:
(i) Distinguishing test between Propanal and Propanone:
Iodoform Test:
It is given by propanone and not by propanal. Propanone an reacting with hot NaOH/I2 gives a yellow precipitate of CHI3 whereas propanal does not give. This reaction is :

(ii) Acetophenone and benzophenone-Acetophenone responds to Iodoform test, but benzophenone does not.

(iii) Phenol and Benzoic acid-Phenol gives a violet COLOURATION with neutral FeCl3 solution, whereas benzoic acid gives buff coloured ppt.

(OR) Benzoic acid reacts with NaHCO3 giving CO2 gas with effervescence, whereas Phenol does not

(iv) Benzoic acid and ethyl benzoate-Benzoic acid on reaction with sodium bicarbonate gives out CO2 gas with effervescece whereas ethyl benzoate does not.

(v) Pentan-2-one and Pentan-3-one-Pentan-2-one responds to haloform test, where as Pentan-3-one does not.

(vi) Benzaldehyde and acetophenone-Acetopisenctt? responds to iodoform test whereas benzaldehyde does not.

(vii) Ethanal (CH3CHO) and Propanal (CH3CH2CHO)-Ethanal responds to the above given haloform test and propanal does not.

![]()
Question 14.
How will you prepare the following compounds from benzene? You may use any inorganic reagent and any organic reagent having not more than one carbon atom.
(i) Methyl benzoate,
(ii) wi-Nitrobenzoic acid,
(iii) p-Nitrobenzoic acid,
(iv) Phenylacetic acid,
(v)p-Nitrobenzaldehyde.
Answer:
(i) Methyl benzoate

(ii) Benzene to m-nitrobenzoic acid-

(iii) Benzene to p-nitrobenzoic acid-

(iv) Benzene to phenylacetic acid

(v) Benzene to p – nitrobenzaldehyde-

Question 15.
How will you bring about the following conversions in not more than two steps?
(i) Propanone to Propene
(ii) Benzoic acid to Benzaldehyde
(iii) Ethanol to 3-Hydroxybutanal
(iv) Benzene to M-Nitroacetophenone
(v) Benzaldehyde to Benzophenone
(vi) Bromobenzene to 1-Phenylethanol
(vii) Benzaldehyde to 3-Phenylpropan-l-ol
(viii) Benzaldehyde to a-Hydroxyphenylacetic acid
(ix) Benzoic acid to m-Nitrobenzyl alcohol
Answer:
(i) Propanone to Propene-

(ii) Benzoic acid to benzaldehyde-

(iii) Ethanol to 3-Hydroxybutanal

(iv) Benzene to m-Nitroacetophenone

(v) Benzaldehyde to Benzalacetophenone-

(vi) Bromobenzene to I-phenyl ethanol

(vii) Benzaldehyde Acetaldehyde

(viii) Benzaldehyde to α -Hydroxypehnylacetic acid-

(ix) Benzoic acid to m- Nitrobenzaldehyde alcohol-

Question 16.
Describe the following:
(i) Acetylation
(ii) Cann Pizzaro reaction
(iii) Cross aldol condensation
(iv) Decarboxylation.
Answer:
(i) Acetylation-The replacement of an active hydrogen of alcohols, phenols or amines with an acyl (RCO) group to form the corresponding esters or amides is called acetylation. It is carried out by using acid chloride or an acid anhydride in the presence of a base like pyridine or dimethylaniline.

(ii) Cannizzaro’s reaction-Aldehydes which do not have a- hydrogenation atom, such as formaldehyde and benzaldehyde, when heated with concentrated (50%) alkali solution, give a mixture of alcohol and the salt of a carboxylic acid.

In this reaction, the aldehyde undergoes disproportionation. It implies that one molecular of aldehyde is oxidised to carboxylic acid and the other is reduced to alcohol Ketones do not give this reaction.

The reaction is also possible in all compounds which lack a-hydrogen atom.
(iii) Cross aldol Condensation-Aldol condensation can take place between two different types of aldehydes or ketones in the presence of a dilute base. This type of condensation is called cross aldol condensation or mixed aldol condensation. For example, acetaldehyde undergoes this type of condensation with acetone in the presence of KCN.

Cross aldol condensation can also occur between carbonyl compound having no a-H atom with aldehydes or ketones possessing a-H atom.
In this case, the carbon atom having a-H atom attached itself to the carbonyl group of the molecule which does not have a-H atom as described in the reaction between benzaldehyde and acetaldehyde.

Similarly, acetone reacts with benzaldehyde in alkaline medium to form dibenzalacetone.

(iv) Decarboxylation:
(I) On decomposition-It is the process of removal of a molecule of CO2 from carboxylic acids, dicarboxylic acids. Sodium or potassium salts of carboxylic acids when distilled with Soda-lime undergo decarboxylation,

(II) Electrolytical decarboxylation Kolbe’s Electrolytical reaction-
2RCCONa → 2RCOO” + Na+ Ionisation Anode Cathode
2H2O ⇌ 2OH– + 2H+ Ionisation
At anode:

At cathode:
2H++2e–→ H2(g)
(III) Decarboxylation of silver salt of fatty acids in the presence of Br2 [Hundsdiecker reaction].

(IV) Calcium salts of fatty acids also undergo decarboxylation on heating.
![]()
Question 17.
Complete each synthesis by giving missing starting material, reagent or products.



Answer:



Question 18.
Give plausible explanation for each of the following:
(i) Cyclohexanone forms cyanohydrin in good yield but 2, 2, 6-tri methyl cyclohexanone does not.
(ii) There are two -NH2 groups in semicarbazide. However, only one is involved in the formation of semicarbazones.
(iii) During the preparation of esters from a carboxylic acid and an alcohol in the presence of an acid catalyst, the water or the ester should be removed as soon as it is formed.
Answer:

2, 2, 6-tri methyl cyclo hexanone does not form cyanohydrin with HCN due to the presence of three methyl groups at the ortho-position w.r.t. the carbonyl group. These three methyl groups cause steric hindrance to the nucleophilic attack of the -CN– group. Since there is no such steric hindrance in cyclohexanone, hence the nucleophilic attack of the – CN– group occurs readily in cyclohexanone.

Although semi-carbazide has two – NH2 groups, but one of them (i.e., directly attached to C = O) is involved in resonance as shown above. As a result, electron density on this NH2 group decreases and hence it does not act as a nucleophile. In contrast, the lone pair of electrons on the other NH2 group is not involved in resonance and hence is available for
nucleophilic attack on the
group of aldehydes and ketones.
(iii) Esterification process being a reversible process, the ester so formed will react with water to give back the acid and the alcohol back.
![]()
Hence water should be removed as soon as it is formed.
![]()
Question 19.
An organic compound contains 69.77% carbon, 11.63% hydrogen and rest oxygen. The molecular mass of the compound is 86. If does not reduce Tollens’ reagent but forms an addition compound with sodium hydrogen sulphite and give positive iodoform test. On vigorous oxidation, it gives ethanoic and propanoic acid. Write the possible structure of the compound.
Answer:

C:H: O = 5:10:1
∴ Empirical formula of the organic compound = C5H10O
Molecular mass = 86 (given)
η = \(\frac{\text { Molecular mass }}{\text { Empirical formula mass }}\)
= \(\frac{86}{5 \times 12+10 \times 1+16}=\frac{86}{86}\) = 1
Molecular formula = η × Empirical formula = 1 × C5H10O = C5H10O
Since it does not reduce Tollen’s reagent, gives an addition compound with sodium hydrogen sulphite. The carbonyl group present in the compound is a keto group and not an aldehyde. Since it gives a positive iodoform rest, the keto group is attached to a methyl group

Question 20.
Although phenoxide ion has more number of resonating structures than carboxylate ion, carboxylic acid is a stronger acid than phenol. Why?
Answer:
Inspite of the many resonating structures shown by phenoxide ion than the following two resonating structures shown by carboxylate ion.

ion, there is more dispersed of the negative charge (on two oxygen atoms) in carboxylate anion rather than on one oxygen in phenoxide ion. Hence the corresponding acid R—COOH is a stronger acid than phenol C6H5OH.
Bihar Board Class 12 Chemistry Aldehydes, Ketones and Carboxylic Acids Additional Important Questions and Answers
Very Short Answer Type Questions
Question 1.
What is formalin?
Answer:
It is 40% aqueous solution of formaldehyde.
Question 2.
Arrange the following in increasing order of their reactivity towards HCN. CH3CHO, CH3COCH3, HCHO, C2H5COCH3. (IIT. 1985)
Answer:
C2H5COCH3 < CH3COCH3 < CH3CHO < HCHO.
Question 3.
How will you convert benzene into acetophenone? (AISE2001)
Answer:

Question 4.
Convert toluene into benzaldehyde.
Answer:

Question 5.
Write IUPAC names of

Answer:
(i) 5-Chloro-3-ethyl pentan-2-one,
(ii) 3-Methyl pentanal.
Question 6.
Arrange them in increasing order of acid strength.
ICH2 COOH, F CH2COOH, Cl CH2COOH, Br CH2COOH.
Answer:
ICH2 COOH < BrCF2COOH < Cl CH2COOH < FCH2COOH.
![]()
Question 7.
What happens when acetic acid is treated with LiAlH4?
Answer:

Question 8.
Give the IUPAC names of (i) Diacetone alcohol, (ii) Crotonaldehyde. (H.S.B. 2005)
Answer:
(i) 4-Hydroxy-4-methylpentane-2-one.
(ii) But-2-en-l-al.
Question 9.
Give the structural formulae of the following:
(i) Methyl vinyl ketone.
(ii) Mesityl oxide.
Answer:
(i) CH2 = CH CO CH3
(ii) (CH3)2 C = CH CO CH3.
Question 10.
Name the reaction and the reagent used for the conversion of acid chlorides to the corresponding aldehydes.(H.S.B. 1987, D.S.B. 2003)
Answer:
Name: Rosenmund’s reaction. Reagent:

Question 11.
Suggest a reason for the large difference in the boiling points of butanol and butanal, although they have the same solubility in water. (I.I.T.1985)
Answer:
Butanol undergoes H-bonding, but butanal does not, though both form H-bonds with water.
Question 12.
Give the name of an aldehyde which undergoes iodoform test.
Answer:
It is acetaldehyde (ethanal) CH3CHO.
Question 13.
Name one reagent to distinguish between pentane-2-ane and pentane-3-one.
Answer:
![]()
Question 14.
What is Tollen’s reagent?
Answer:
Ammoniacal silver nitrate solution [Ag(NH3)2]+ NO3–.
Question 15.
Name one reagent used to distinguish between? aldehyde and a ketone.
Answer:
Tollen’s reagent or Fehling’s solution.
![]()
Question 16.
What type of aldehydes and ketones undergo aldol condensation?
Answer:
Aldehydes and ketones containing α-Hydrogen atom.
Question 17.
What type of aldehydes undergo Cannizzaro’s reaction.
Answer:
Aromatic and aliphatic aldehydes which do not contain α- hydrogen.
Question 18.
Write the structural formula of 3-phenyl prop-2-enal. (D.S.B. 2005)
Answer:
C6H5-CH = CH-CHO.
Question 19.
How will you convert acetone into ethanoic acid.
Answer:

Question 20.
Why HCOOH does not give HVZ reaction but CH3COOH does?
Answer:
CH3COOH contains α-hydrogen atom whereas HCOOH does not.
Question 21.
How is CH3OH converted into CH3COOH in one step?
Answer:
![]()
Question 22.
Why. does benzoic acid hot undergo Friedel Craft’s reaction?
Answer:
Due to deactivating of the benzene ring by electron-withdrawing effect of -COOH group.
Question 23.
What is Vinegar?
Answer:
An 8-10% solution of acetic acid in water is called vinegar.
![]()
Question 24.
Name the reagent used to distinguish between formic and acetic acid.
Answer:
Tollen’s reagent or Fehling solution.
Question 25.
Name the reagent to convert carboxylic acid directly into corresponding alcohol?
Answer:
Lithium Aluminium hydride (LiAlH4).
Question 26.
Give the structure and IUPAC name of isobutyric acid.
Answer:

Question 27.
Give an example of a compound in which hydrogen bonding results in the formation of a dimer.
Answer:
Acetic acid (CH3COOH). Many carboxylic acids form cyclic dimers.
Short Answer Type Questions
Question 1.
Distinguish between 2-Pentanone and 3-Pentanone.
Answer:
Pentan-2-one responds to iodoform test whereas pentane-3- one does not.

Question 2.
What is aldol condensation? Give an example.
Answer:
Aldol condensation is the self-condensation of aldehydes or ketones containing an a-hydrogen atom in the presence of a dilute base.

Question 3.
Give two reactions to show the reducing character of aldehydes.
Answer:
(i) Aldehydes reduce Tollen’s reagent [Amm. AgNO3] to silver mirror.
![]()

Aromatic aldehydes do not reduce Fehling’s solution.
![]()
Question 4.
How will you convert
(i) Ethyne into ethanoic acid
(ii) Propyne to propanone.
Answer:
(i) Ethyne to ethanoic acid.

(ii) Propyne to propanone

Question 5.
What is the difference between addition reactions to C = C of alkenes and C = O of aldehydes and ketones?
Answer:
Though both C atoms are sp2 hybridized and both gives addition reactions; addition is initiated by an electrophile in alkenes and are called Electrophilic addition reactions, whereas addition is initiated by a nucleophile in aldehydes and ketones and are called Nucleophilic addition reactions.
Question 6.
How will you prepare ethanal from ethanoyl chloride? Give reaction.
Answer:
Ethanal, (CH3CHO) is prepared from ethanoyl chloride by ROSENMUND’S reaction as given below:

Question 7.
What are the products formed on the reductive ozonolysis of (i) 2,3-dimethyl-but-2-ene, (ii) ethene.
Answer:

Question 8.
Dipole moments of aldehydes and ketones are higher than those of alcohols. Explain.
Answer:
The π-electrons of the
are loosely held and hence can be shifted towards the more electronegative oxygen atom more readily than the more tightly held o-electrons of the C-O bond in alcohols. Consequently, the magnitude of the + ve and – ve charge developed in
bond is higher than those on C-O bond of alcohols. As a result the dipole moment of aldehydes and ketones (2.3 – 2.8 D) is much higher than those of alcohols (1.6-1.8’D).
Question 9.
Why are aldehydes more reactive than ketones? (P.S.B. 2005)
Answer:
(i) Due to smaller +1 effect of the alkyl group in aldehydes as compared to larger+1 effect of two alkyl groups, the magnitude of positive charge on the carbonyl carbon is more in aldehyde than in ketones. As a result, nucleophilic addition reactions occur more readily in aldehydes than in ketones.
(ii) As the no. and size of the alkyl groups around C = O group increases, there is steric hindrance which makes the attack of the nucleophile on the carbonyl carbon more difficult.
![]()
Question 10.
Write down the IUPAC name of:


Answer:
(i) Butane-2,3-dione,
(ii) 2-Methylcyclohexanone,
(iii) 3-Methyl butane-2-one.
Question 11.
Explain why dialkyl cadmium is considered superior to Grignard’s reagent for the preparation of a ketone from acid chloride?
Answer:
Since Cd (electronegativity 1.7) is less electropositive than Mg (1.2), therefore dialkyl cadmiums are less reactive than Grignard’s reagnets towards nucleophilic addition reactions. As such the dialkyl cadmiums react with the more reactive acid chlorides to give ketones but do not only react with acid chlorides, but also ketones so formed to give tert alcohols.
Question 12.
How will you prepare methanol from formaldehyde without using a reducing agent?
Answer:
Cannizzaro’ reaction is a disproportionation reaction in which one molecule of an aldehyde is reduced while the other is oxidized.

Here a cone, solution of NaOH is used which is not a reducing agent.
Question 13.
Convert propanoic acid to propenoic acid is not more than two steps.
Answer:

Question 14.
Convert benzoic acid to n-nitrobenzy1 alcohol.
Answer:

Question 15.
Mention a chemical property in which methanoic acid differs from acetic acid. (A.I.S.B. 2005)
Answer:
Methanoic acid acts as a reducing agent and hence decolourizes the pink colour of acidified KMnO4, but acetic acid does not.
![]()
Long Answer Type Question
Question 1.
(a) Explain why o-hydroxybenzaldehyde is a liquid at room temp, wt p-hydroxybenzaldehyde is a high melting solid. (IIT1999)
(b) Identify A, B and C and give their structure. (IIT 2000)

Answer:
(a) Due to intramolecular H-bonding (chelation) o-hydroxy- benzaldehyde exists as discrete molecules while due to

intermolecular H-bonding, p-hydroxybenzaldehyde exists as associated molecules.

To break these intermolecular H-bonds, a large amount of energy; needed. Hence, p-hydroxybenzaldehyde has higher m and b.points Lhan that of o-hydroxybenzaldehyde which exists as a liquid at room temperature.
(b) The compound (I) below contains CH3CO group and hence in
the presence of undergoes haloform reaction to give sodium salt of carboxylic acid (A) and bromoform CHBr3 (B). A on protonation gives the corresponding acid (II). II being a p-keto acid readily undergoes decarboxylation to give 2-methyl cyclohexanone (C): With molecular formula C7H12O as depicted below:
