Bihar Board Class 12 Chemistry Solutions Chapter 13 Amines Textbook Questions and Answers, Additional Important Questions, Notes.
BSEB Bihar Board Class 12 Chemistry Solutions Chapter 13 Amines
Bihar Board Class 12 Chemistry Amines Intext Questions and Answers
Question 1.
Classify the following amines as primary, secondary or tertiary?

(iii) (C2H5)2 CHNH2,
(iv) (C2H5)2 NH.
Answer:
(i) Primary amine,
(ii) tertiary amine,
(iii) primary amine,
(iv) secondary amine.
Question 2.
(i) Write structures of different isomeric amines corresponding to the molecular formula C4H11N.
(ii) Write IUPAC names of all isomers.
(iii) What type of isomerism is exhibited by different pairs of amines?
Answer:
(i) C4H11N stands for the following isomeric amines
(a) Primary amines

(b) Secondary amines

(c) Tertiary amines

(ii) IUPAC names of all isomeric amines have been given in brackets along with their structures.
(iii) (a) Chain isomerism -CH3-CH2-CH2-CH2NH2 and

(b) Position isomerism-CH3-CH2-CH2-CH2 NH2 and,

(c) Metamerism-CH3-CH2-NH-CH2-CH3 and CH3-NH-CH2-CH2-CH3 and

(d) Functional Isomerism-Primary, Secondary and tertiary amines having the same molecular formula show the functional isomerism among themselves.
CH3-CH2-CH2-CH2-NH2; CH3-NH-CH2-CH3,

Question 3.
How will you convert (i) Benzene into aniline.
(ii) Benzene into N, N-dimethylaniline.
(iii) Cl-(CH2)4-Cl into hexane-1,6-diamine?
Answer:
(i) Benzene into aniline-

(ii) Benzene into N, N-dimethylaniline

(iii) Cl(CH2)4 Cl into hexane 1,6-diamine

Question 4.
Arrange the following in increasing order of their basic strength.
(i) C2H5NH2, C6H5NH2, NH3, C6H5CH2NH2, and (C2H5)2NH.
(ii) C2H5NH2, (C2H5)2NH, (C2H5)3N, C6H5NH2.
(iii) CH3NH2, (CH3)2NH, (CH3)3N, C6H5NH2, C6H5CH2NH2.
Answer:
(i) C6H5NH2 < NH3 < C6H5CH2 NH2 < C2H5NH2 < (C2H5)2 NH.
(ii) C6H5NH2 < C2H5 NH2 < (C2H5)3 N < (C2H5)2 NH.
(iii) C6H5NH2 < C6H5CH2NH2 < (CH3)3 N < CH3NH2 < (CH3)2 NH.
![]()
Question 5.
Complete the following acid-base reactions and name the products:
(i) CH3 CH2 CH2 NH2 + HCl →
(ii) (C2H5)3N + HCl →
Answer:
(i) CH3 CH2 CH2 NH2 + HCl →CH3 CH2 CH2 NH3Cl– n-Propylinium chloride
(ii) (C2H5)3N + HCl → [(C2H5)3 Triethyl ammonium chloride
Question 6.
Write reactions of the final alkylation product of aniline with excess of methyl iodide in the presence of sodium carbonate solution.
Answer:

Question 7.
Write chemical reaction of aniline with benzoyl chloride and write the name of the product obtained.
Answer:

Question 8.
Write structures of different isomers corresponding to the molecular formula C3H9N. Write IUPAC names of the isomers which will liberate nitrogen gas on treatment with nitrous acid.
Answer:

Out of (i), (ii), (iii) and (iv) above only (i) and (ii) being primary aliphatic amines will liberate N2 gas on reaction with nitrous acid.
(i) CH3 CH2 CH2 NH2 IUPAC name: Propan-1-amine

CH3CH2CH2NH2 + HNO2 → CH3CH2CH2OH + N2 + H2O

Question 9.
Convert (i) 3-Methylaniline into 3-nitrotoluene, (ii) Aniline into 1,3,5-tribromobenzene.
Answer:
(i) 3-Methylaniline into 3-nitrotoluene-

(ii) Aniline into 1, 3,5-tribromobenzene-

Bihar Board Class 12 Chemistry Amines Text Book Questions and Answers
Question 1.
Write IUPAC names of the following compounds and classify them into primary, secondary and tertiery amines.
(i) (CH3)2 CHNH2,
(ii) CH3 (CH2)2 NH2,
(iii) CH3NHCH(CH3)2,
(iv) (CH3)3 CNH2,
(v) C6H5NHCH3,
(vi) (CH3CH2)2 NCH3,
(vii) m- BrC6H4NH2.
Answer:

Question 2.
Give one chemical test to distinguish between the following pairs of compounds.
(i) Methylamine and dimethylamine
(ii) Secondary and tertiary amines
(iii) Ethylamine and aniline
(iv) Aniline and benzylamine
(v) Aniline and N-methlyaniline.
Answer:
(i) Methylamine and dimethylamine-Methylamine-a primary amine respond to Carbylamine reaction whereas dimethylamine does not.

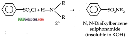
(ii) Secondary and tertiery amines-A secondary amine reacts with benzene sulphonyl chloride to form N, N-dialkyl benzene sulphonamide which does not dissolve in KOH. A tertiary amine does not react with benzene sulphonyl chloride.

(iii) Ethylamine and aniline-Ehtylamine on reaction with nitrous acid (HNO2) gives out N2 gas, whereas aniline does not.

Aniline, on the other harid, reacts with nitrous acid and HCl to form benzene diazonium chloride which gives orange dye on reaction with β-Naphthol. It does not give out N2 gas.

(iv) Aniline and benzylamine-
Nitrous acid test-Benzylamine on reaction with HNO2 decomposes even at low temp, to liberate N2 gas.

Aniline, on the other hand, reacts with HNO2 + HCl to form benzene diazonium chloride which is stable at 273-278 K and hence does not decompose to give N2 gas.

(v) Aniline and N-methyl aniline-Aniline is a primary aromatic amine, N-methyl aniline is a secondary aromatic amine. They may be distinguished by Carbylamine test.
Aniline gives phenyl isocyanide on heating with chloroform (CHCl3) and alcoholic KOH which is extremely foul-smelling while N-methyl aniline does not give this test.

![]()
Question 3.
Account for the following:
(i) pKb of aniline is more than that of methylamine.
(ii) Ethylamine is soluble in water, whereas aniline is not.
(iii) Methylamine in water reacts with ferric chloride to precipitate hydrated ferric oxide.
(iv) Although amino group is o- and p- directing in aromatic electrophilic substitution reactions, aniline on nitration gives a substantial amount of m-nitroaniline.
(v) Aniline does not undergo Friedel-Crafts reaction.
(vi) Diazonium salts of aromatic amines are more stable than those of aliphatic amines.
(vii) Gabriel phthalimide synthesis is preferred for synthesising primary amines.
Answer:
(i) Aniline is a much weaker amine than methylamine. In methylamine, the lone pair of electrons on N of
is made many phones readily available for sharing due to the +1 effect exerted by – CH3 group thus making its KJ, large or pkb small. On the other hand, the benzene ring present in aniline withdraws electrons towards itself making the lone pair of electrons less available on N of NH2 group. Here its pkb is large.
(ii) Ethylamine is soluble in water because it can form H-bonds with water molecules.

On the other hand aniline is insoluble in water due to the larger hydrocarbon part [C6H5 as compared to C2H5 of ethylamine] which tends to retard the formation of H-bonds.
(iii) Methylamine like ammonia reacts with transition metal ions in aqueous solutions like Fe3+ [of ferric chloride] to form complex like [Fe (NH3)6]3+ as methylamine in aqueous solution is a good nucleophile and hence attacks metal ions like Fe3+ which are electrophiles. The iron complex in aqueous solution precipitates as hydrated ferric oxide.
(iv) Aniline, in the strongly acidic medium (like in a mixture of cone. HNO3 and cone. H2SO4) is protonated to form anilinium ion C6H5 NH3 which is meta-directing. That is why NH2 group in spite of being 0- and p-directing also forms significant amount of meta-derivative during nitration in strongly acidic medium in electrophilic substitution reactions.
(v) Aniline does not undergo Friedel Crafts reaction like alkylation and acetylation because it forms salt with aluminium chloride which is used at a catalyst and is a Lewis acid. Due to this, nitrogen of – NH2 of aniline acquires a positive charge and hence acts as a strong deactivating group for further reaction.
(vi) Diazonium salts of aromatic amines are more stable than that of aliphatic amines. It is because even at low-temperature diazonium salts of aliphatic amines decompose to give out N2 gas.

(vii) Gabriel’s phthalimide synthesis is preferred for synthesis of primary aliphatic amines because primary amines are obtained in the pure form by this method. Aromatic primary amines cannot be prepared by this method because aryl halides do not undergo nucleophilic substitution with the anion formed by phthalimide.
Question 4.
Arrange the following:
(i) In decreasing order of the pKb values:
C2H5NH2, C6H5NHCH3, (C2H5)2NH and C6H5NH2
(ii) In increasing order of basic strength:
C6H5NH2, C6H5N (CH3)2, (C2H5)2NH and CH3NH2
(iii) Increasing order of basic strength
(a) Aniline, p-nitroaniline and p-toluidine
(b) C6H5NH2,C6H5NHCH3,C6H5CH2NH2
(iv) In decreasing order of basic strength in gas phase C2H5NH2, (C2H5)2NH, (C2H5)3N and NH3
(v) In increasing order of boiling point C2H5OH, (CH3)2NH, C2H5NH2
(vi) Increasing order of solubility in water
C6H5NH2, (C2H5)2NH, C2H5NH2
Answer:
(i) In decreasing order of pkb values
C6H5NH2 > C6H5NHCH3 > C2H5NH2 > (C2H5)2 NH.
(ii) In increasing order of basic strength
C6H5NH2 < C6H5N(CH3)2 < CH3NH2 < (C2H5)2NH.
(iii) Increasing order of basic strength
(i) p-nitroaniline < aniline < p-toluidine.
(iv) Decreasing order of basic strength in gas phase.
(C2H5)3N > (C2H5)2NH > C2H5NH2 > NH3.
(v) Increasing order of boiling point (CH3)2NH<C2H5NH2<C2H5OH.
(vi) Increasing order of solubility in water C6H5NH2 < (C2H5)2 NH < C2H5NH2.
Question 5.
How will you convert
(i) Ethanoic acid into methenamine,
(ii) Hexanenitrtile into 1-amino pentane,
(iii) Methanol to ethanoic acid,
(iv) Ethanamine into methenamine,
(v) Ethanoic acid into propanoic acid,
(vi) Methanamine into ethanamine,
(vii) Nitromethane into dimethylamine,
(viii) Propanoic acid into ethanoic acid?
Answer:
(i) Ethanoic acid into methanamine:

(ii) Hexanenitrile into 1-amino pentane:

(iii) Methanol to ethanoic acid:

(iv) Ethanamine to methenamine:

(v) Ethanoic acid into propanoic acid-

(vi) Methanmine into ethanemine-

(vii) Nitromethane into dimethylamine

(viii) Propanoic acid into ethanoic acid-

Question 6.
Describe the method for the identification of primary, secondary and tertiery amines. Also write chemical equations of the reactions involved.
Answer:
Hinsberg’s Method-This is an excellent test for distinguishing primary, secondary and tertiery amines. The amine is shaken with benzene sulphonyl chloride in the presence of aqueous KOH solution.
(i) A primary amine gives a clear solution which an acidification gives an insoluble N-alkyl benzene sulphonamide.

(ii) A secondary amine gives an insoluble N, N-dialkyl benzene sulphonamide which remains unaffected on addition of acid.

(iii) A tertiery amine does not react at all. Therefore, it remains insoluble in the alkaline solution but dissolves on acidification to give a clear solution.

Question 7.
Write short notes on the following:
(i) Carbylamine reaction
(ii) Diazotisation
(iii) Hofmann’s bromamide reaction
(iv) Coupling reaction
(v) Ammonolysis
(vi) Acetylation
(vii) Gabriel phthalimide synthesis
Answer:
(i) Carbylamine reaction-Both aliphatic and aromatic primary amines when warmed with chloroform and an alcoholic solution of KOH produce isocyanides or carylamines which have an unpleasant odour.

In contrast, secondary and tertiery amines (both aliphatic and aromatic) do not give this test.
(ii) Diazotisation-The reaction of converting aromatic primary amines into diazonium salts with a cold (273-278 K) solution of nitrous acid is called diazotisation.

(iii) Hoffmann bromamide reaction-The reaction of a higher add amide with Br2 and KOH to give a lower amine is called Hoffman bromamide reaction. It gives an amine-containing one carbon atom less than the original amide.

(iv) Coupling Reaction-Arenediazonium salts react with highly reactive (i.e., electron-rich) aromatic compounds such as phenols and amines to form brightly coloured azo compounds. Ar-N = N-Ar.

(v) Ammonolysis-Reactions of an alkyl halide (R-X) with an alcoholic solution of ammonia giving a mixture of 1°, 2°, 3° amines and quaternary salt is called ammonolysis.

If R-X is used in excess, a mixture of 1°, 2°, 3° amines along with some quartemary ammonium salts is obtained.

It is a typical nucleophilic substitution reaction.

(vi) Acetylation-The replacement of an active hydrogen of alcohols, phenols or amines with an acyl group (RCO) to form the corresponding esters or amides is called acetylation. Acetylation is carried out in the presence of a base like pyridine, dimethylaniline etc. by acetyl chloride or acetic anhydride.

(vii) Gabriel’s phthalimide synthesis-In this reaction phthalimide is converted into its potassium salt by treating it with alcoholic KOH. Then potassium phthalimide is heated with an alkyl halide to yield on N-alkyl phthalimide which is hydrolysed to phthalic acid and a primary amine by heating with HCl or KOH solution. This synthesis is very useful for the preparation of pure aliphatic primary amines.

![]()
Question 8.
Accomplish the following conversions:
(i) Nitrobenzene to benzoic acid.
(ii) Benzene to m-bromophenol.
(iii) Benzoic acid to aniline.
(iv) Aniline to 2,4,6-tribromofluorobenzene.
(v) Benzyl chloride to 2-phenylethanolamine.
(vi) Chlorobenzene to p-chloroaniline.
(vii) Aniline to p-bromoaniline.
(viii) Benzamide to toluene (ix) Aniline to benzyl alcohol.
Answer:
(i) Nitrobenzene to benzoic acid

(ii) Benzene to m-bromophenol-

(iii) Benzoic acid into aniline-

(iv) Aniline to 2,4,6-tribromofluorobenzene-

(v) Benzyl chloride to 2-phenyl ethanamine-

(vi) Chlorobenzene to p-chloroaniline-

(vii) Aniline top-bmmoaniline-

(ix) Aniline to benzyl alcohol-

Question 9.
Give the structures of A, B and C in the following reactions:

Answer:
(i) A is CH3CH2CN; B is CH3CH2CONH2; C is CH3CH2NH2.
(ii) A = C6H5 CN; B = C6H5COOH; C = C6H5CONH2.
(iii) A = CH3 CH2CN;B = CH3CH2 NH2; C = CH3CH2CH2OH
(iv) A = C6H5NH2; B = C6H5N2+ Cl–; C = C6H5OH
(v) A = CH3CONH2; B = CH3NH2; C = CH3OH
(vi) A = C6H5NH2; B = C6H5N2+ Cl–;

Question 10.
An aromatic compound ‘A’ on treatment with aqueous ammonia and heating forms compound ‘B’ which on heating with Br2 and KOH forms a compound ‘C’ of molecular formula C6H7N. Write the structures and IUPAC names of compounds A, B and C.
Answer:
Since it is an aromatic compound, it has a benzene ring in it. B on heating with Br2 and KOH [Hoffmann bromamide reaction] forms a compound ‘C’ of molecular formula C6H7N. Now only higher amides on Hoffman bromamide reaction [Br2 + KOH treatment] give rise to lower amine. Therefore B is C6H5CONH2 and ‘C’ with the molecular formula is C6H5NH2. Since the compound C6H5CONH2 is obtained from A on treatment with aqueous ammonia and heating; A has to be a carboxylic acid C6H5COOH. The sequence of reactions along with names (IUPAC) of A, B and C are as follows :

Question 11.
Complete the following reactions:
(i) C6H4NH2 + CHCl3 + ale. KOH
(ii) C6H5N2Cl + H3PO2+ H2O →
(iii) C6H5NH2+ H2SO4 (cone.) →
(iv) C6H5N2Cl + C2H5OH →
(v) C6H5NH2 + Br2 (aq) →
(vi) C6H5NH2+(CH3CO)2O →

Answer:


Question 12.
Why cannot aromatic primary amines be prepared by Gabriel phthalimide synthesis?
Answer:
Aromatic primary amines cannot be prepared by Gabriel phthalimide synthesis because aryl halides do not undergo nucleophilic substitution with the anion formed by phthalimide, that is,

Question 13.
Wite the reaction of
(i) aromatic and (ii) aliphatic primary amines with nitrous acid.
Answer:
Aromatic primary amines react with nitrous acid in the presence of dil. HCl to form aromatic diazonium chloride.

Whereas aliphatic primary amines react with nitrous acid to give primary alcohols librating N2 gas.

Question 14.
Give plausible explanation for each of the following:
(i) Why are amines less acidic than alcohols of comparable molecular masses?
(ii) Why do primary amines have higher boiling than tertiery amines?
(iii) Why are aliphatic amines stronger bases than aromatic amines?
Answer:
(i) The alkoxide ion
left after the removal of a proton from an alcohol ROH is more stable than RNH left after the removal of a proton from an amine RNHr This is due to the fact that oxygen atom in alcohols is more electronegative than N atom in amines and thus can accommodate the negative charge better.
(ii) Due to the presence of two H-atoms on N-atom of primary amines, they undergo extensive intermolecular H-bonding while tertiery amines due to the absence of a H-atom on the N-atom, do not undergo hydrogen bonding. As a result, primary amines have higher boiling points than tertiery amines of comparable molecular mass, e.g., B.Pt of n- Butylaniline (351K) is much higher than that of tert-butylamine (319 K).
(iii) Aliphatic amines are stronger bases than aromatic amines. In aliphatic amines, alkyl groups present exert +1 effect
![]()
(electron releasing) thus make the lone pair of electrons more readily available for sharing by an acid, whereas in aromatic amines, the presence of benzene ring exerts -1 effect (electron-withdrawing) due to which the availability of lone pair of electrons on N in NH2 decreases thus making it less basic.
![]()
Bihar Board Class 12 Chemistry Amines Additional Important Questions and Answers
Very Short Answer Type Questions
Question 1.
Name the amide which on reduction gives 
Answer:

Question 2.
Complete the reaction 
Answer:

Question 3.
How will you convert aniline to phenyl isothiocyanate. (PB. S.B. 1994)
Answer:

Question 4.
Write the TUPAC name of
(I.T.T. 91)
Answer:
N, N Dimethyl-3-methyl pentane-3-amine.
Question 5.
How is aniline converted to sulfanilic acid. (A.I.S.B. 1992)
Answer:

Question 6.
Write the chemical test to distinguish between aniline and N-methyl aniline. (A.I.S.E. 2001)
Answer:
Aniline, being a primary amine, responds to carbylamine test.

Question 7.
Complete the reaction:
ArN2Cl+H3PO2+H2O→
Answer:

Question 8.
Write the IUPAC and trivial name of CH3NC. (A.I.S.E. 1991)
Answer:
IUPAC name is Methyl carbylamine.
Trivial name is Methyl isocyanide (Aceto isonitrile).
![]()
Question 9.
What happens when methyl cyanide reacts with H2 in the presence of Pt? (H.S.B. 2002)
Answer:

Question 10.
Arrange the following: (M.L.N.R. 1992)
Aniline, ethylamine, ethane, phenol in order of increasing basic strength.
Answer:
Phenol < ethane < aniline < ethylamine.
Question 11.
What are ambident nucleophiles. Give two examples. (A.I. S.E.2001)
Answer:
A nucleophile which can form bonds through more than one atom in it, e.g., NO2– and CN (through C and N).
Question 12.
Name one reagent used for the selective reduction of m- dinitrobenzene to m-nitroaniline.
Answer:
Ammonium sulphide (NH4)2 S.
Question 13.
Give the I.U.P.A.C. name of 
Answer:
2-Methyl-l, 4-dinitrobutane.
Question 14.
– NO2– group is an ambident group. What are the active sites in it.
Answer:
Active sites in – NO2– group are oxygen and nitrogen.
Question 15.
What is a Coupling reaction?
Answer:
The reaction of diazonium salts with phenols in basic medium (pH 9-10) and with amines in acidic medium (pH 4 – 5) to give corresponding azo (- N = N -) dyes is called coupling reaction.
![]()
Question 16.
Horw will you convert aniline to iodobenzene?
Answer:

Question 17.
How will you get benzonitrile from aniline?
Answer:

Question 18.
Complete the following:![]()
Answer:
![]()
Question 19.
What is Hoffmann Bromamide reaction?
Answer:
The conversion of a higher amide (both aliphatic as well as aromatic) into a lower amine (1°) in the presence of ale. KOH and Br2 is known as Hoffman Bromamide reaction.

Question 20.
What is the IUPAC name of a tertiary amine-containing one methyl, one ethyl and one n-propyl group?
Answer:
N-Ethyl-N-methyl propane-l-amine.
Question 21.
What is the IUPAC name of 
Answer:
3-Methylaniline or 3-Methylbenzenamine.
Question 22.
Name one chemical test to distinguish between an aromatic primary amine and an aliphatic primary amine.
Answer:
Azo dye test.
Question 23.
What is the directive influence of the amino group in arylamines?
Answer:
o, p-directing.
![]()
Question 24.
Mention two important uses of sulphanilic acid.
Answer:
It is used in the manufacture of
- dyes,
- sulpha drugs.
Question 25.
Give an example of a Zwitterion.
Answer:
![]()
Question 26.
How will you convert benzene into aniline?
Answer:

Question 27.
Which is more basic: CH3NH2 or (CH3)3N? (H.S.B. 2005)
Answer:
CH3NH2 is more basic than (CH3)3N due to greater stability of conjugate acid CH3+ NH3over (CH3)3N+ H due to hydrogen bonding.
Question 28.
Which is more acidic (or basic): aniline or ammonia? (H.S.B. 2005)
Answer:
Since ammonia is more basic than aniline, therefore, aniline is more acidic than ammonia.
Question 29.
Aniline gets coloured on standing in air for a long time. Why? (H.S.B. 2005)
Answer:
Due to strong electron-donating effect (+ R effect) of NH2 group, the electron density on the benzene ring increases. As a result, aniline is easily oxidized on standing in air for a long time to form coloured products.
Question 30.
Arrange the following in the order of their increasing basicity: p-toluidine, N, N-dimethyl-p-toluidine, p-nitroaniline, aniline.
Answer:
p-Nitroaniline < aniline < p-toluidine < N, N-dimethyl-p- toluidine.
![]()
Question 31.
Arrange the following in increasing order of their acid strength: methylamine, dimethyl-p-toluidine, p-nitroaniline, aniline.
Answer:
The acid strength increases in the reverse order of their basic strength, i.e., dimethylamine < methyl amine < N-methyl aniline < aniline.
Short Answer Type Questions
Question 1.
Which one is more acidic? Explain. (IIT 2004)

Answer:
Due to powerful -I effect of the F-atom, it withdraws electrons from the N+H3 group. As a result, the electron density in the N-H bond of p-fluoro anilinium ion decreases and hence release of a proton from it is much more easier than from anilinium ion. Therefore, p-fluoro- anilinium ion is more acidic than anilinium ion.
Question 2.
The following reaction gives two products. Write the structure of the products. (IIT. 1998)

Answer:
CH3CONH group is o, p-directing. Therefore CH3CONHC6H5 (acetanilide) on bromination gives a mixture of o- and p-bromo acetamides.

Question 3.
What is the major product in the following reaction? (W. Bengal JEE 2001)

Answer:
In Hoff man elimination reaction, it is the less sterically hindered (β-hydrogen that is removed and hence less substituted alkene is the major product.

Question 4.
Aniline does not undergo Friedel-Crafts reactions. Explain. (Roorkee 1999, C.B.S.E. PMT 2004)
Answer:
Aniline is a base while AlCl3 used as a catalyst in Friedel- Crafts reaction is a Lewis acid. They combine with each other to form the salt.
C6H5NH2 + AlCl3 → C6H5N+H2 AlCl3– Due to the presence of a positive charge on N-atom, the group N+H2 AlCl3– acts as a strongly deactivating group. As a result, it reduces the electron density in the benzene ring and hence aniline does not undergo Friedel craft reaction.
![]()
Question 5.
Aniline dissolves in aqueous HCl. Why?
Answer:
Aniline dissolves in aqueous HCl due to the formation of water-soluble salt.

Question 6.
Why does AgCl dissolves in methylamine solution?
Answer:
Because it forms soluble complex
2CH3NH2 +AgCl → [ Ag(CH3NH2)2]+Cl– Soluble complex.
Question 7.
Identify A, B, C in the following:

Answer:

Question 8.
How will you convert aniline → benzylamine in 3 steps. (I.I.T. 2000)
Answer:

Question 9.
Identify : A,B,C

Answer:

Question 10.
Suggest a structural formula for a compound having molecular formula C8H11N (A) which is optically active, dissolves in dil. aq. HCl and releases N2 on reaction with HNO2.
Answer:


Question 11.
Write the structures of the reagents/organic compounds A to F in the following sequence of reactions: (A.I.S.E. 96)

Answer:

Question 12.
An optically inactive compound A having molecular formula C4H11N or treatment with HNO2 gave an alcohol (B). B an heating at 440 K gave an alkene (C). C on treatment with HBr gave an optically active compound (D) having the molecular formula C4HgBr. Identify A, B, C and D and write down their structural formula. Also, write the equations involved. (C.B.S.E. Sample Paper)
Answer:
Since compound A is optically inactive and contains N which gives alcohol on reaction with HNO2. It is therefore a primary amine – NH2. The reactions are

C* is Chiral Centre. D is optically active.
![]()
Question 13.
How is classification of amines different from that of alcohols?
Answer:
Classification of amines is made on the nature of the Nitrogen atom (whether it has one, two or no hydrogen atom) to which the alkyl group is attached. The classification of alcohols, on the other hand, is made on the basis of carbon atom to which the – OH group is attached.

Question 14.
tert-Butylamine cannot be prepared by the action of NH3 on tertbutyl bromide. Explain why?
Answer:
tert-Butyl bromide being a 3° alkyl halide on treatment with a base (i.e. NH3) prefers to undergo elimination rather than substitution.

Question 15.
Suggest chemical reactions for the following conversions:
(i) Cyclohexanol → Cyclohexylamine
(ii) n-Hexanenitrile → 1-Aminopentane (D.S.B. 2002)
Answer:

Question 16.
Although trimethylamine and n-propylamine have the same molecular weight, the former boils at a lower temperature than the Explain.
Answer:
n-Pfopylamm (CH3CH2CH2NH2) has two H-atoms on N- atom, and hence undergoes intermolecular H-bonding thereby raising boiling point. Trimethylamine (CH3)3N being a 3° amine does not a H-atom on the N-atom. As a result, it does not undergo H-bonding and hence its boiling point is low.
Question 17.
Sulphanilic acid is soluble in dilute NaOH but not in dil. HCl. Explain.
Answer:
Sulphanilic acid exists as a Zwitter ion. In the presence of dil. NaOH, the weakly acidic – N+H3 transfer its H+ ion to OH– ion to form a soluble p-NH2C6H4SO3– Na+, On the other hand, – SO3– is very weak base and hence does not accept a proton from dil. HCl to form p-N+H3C6H4SO3H and hence it does not dissolve in it.
Question 18.
Give increasing order towards electrophilic substitution of the following:

Answer:

Question 19.
Why is it. necessary to add excess of mineral aids to diazotisation of amines. (Roorkee 1999, CBSE PMT 2004)
Answer:
During diazotisation of arylamines, excess of mineral acids is used. In general, one mole of amine is treated with approx, three moles of acid, (i) One mole to dissolve amine, (ii) one mole to liberate HNO2 from NaNO2 and (iii) one mole to maintain proper acidity of the reaction mixture to prevent its coupling with diazotised salt.
![]()
Question 20.
Convert benzene to m-chloroaniline.
Answer:

Long Answer Type Questions
Question 1.
Two isomeric compounds A and B have same molecular formula C3H5N. Predict the structure A and B as the basis of following information.
(i) A and B do not react with HNO2 or CH3COCl.
(ii) On refluxing with dil. HCl A gives C and B gives D, C and D being the monobasic carboxylic acids.
(iii) Molecular mass of D = 74.
(iv) C gives Tollen’s test positive, whereas D does not Predict the structure of C and D. Also give the reduction products of A and B.
Answer:
(i) Since A and B do not react with HNO2 or CH3COCl it implies that they are not amines.
(ii) Since their hydrolytic products are monobasic carboxylic acids (C and D) it means that A and B may be cyano compounds.
(iii) Let the formula of D be CnH2n+1 – COOH.
Its molecular mass = 74.
74-46
Now 14n + 46 = 74; n = \(\frac{74-46}{14}\) =2.
∴D is C2H5COOH i.e., Propionic acid.
(iv) C gives Tollen’s test positive i.e., reduces ammonical AgNO3. The only reducing carboxylic acid is formic acid.
∴ C is HCOOH i.e., Formic acid.
Since D (CH3CH2COOH) is a hydrolytic product of B. Therefore, B should be propane nitrile having formula CH3CH2CN.
Similarly, A which is an isomer of B gives formic acid (HCOOH) as hydrolytic product, therefore, A should be ethyli sonitrile with formula
CH3CH2CN=C.

![]()
Question 2.
Bring out the following conversions:
(i) Nitrobenzene to benzoic acid
(ii) Benzene to 3-bromophenol
(iii) Benzene to m-nitroaniline
(iv) Propanenitrile to ethanamine
(v) m-nitroaniline to m-chloriodobenzene (Roorkee 1988)
(vi) 4-nitroaniline to 1,2,3-tribromobenzene. (I.I.T.J.E.E. 1990)
Answer:
(i) Nitrobenzene to benzoic acid

(ii) Benzene to 3-bromophenol

(iii) Benzene to m – nitroaniline

Na2S2, being a very weak reducing agent, is effective in carrying out selective reduction of only one – NO2 group.
(iv) Propanenitri le to ethanamine

(v) m-nitroaniline to m- chloriodobenzene

(vi) 4- nitroaniline to 1,2,3 – tribromobenzene.
