Bihar Board Class 12 Physics Solutions Chapter 1 Electric Charges and Fields Textbook Questions and Answers, Additional Important Questions, Notes.
BSEB Bihar Board Class 12 Physics Solutions Chapter 1 Electric Charges and Fields
Bihar Board Class 12 Physics Electric Charges and Fields Textbook Questions and Answers
Question 1.
What is the force between two small charged spheres having charges of 2 x 10-7 C and 3 x 10-7 C placed 30 cm apart in air ?
Answer:
Here., q1 = 2 x 10-7 C, q2 = 3 x 10-7 C, r = 30 cm = 0.30 m. F = ?
Using the relation,

= 6 x 10-3N.
Question 2.
The electrostatic force on a small sphere of charge 0.4 pC due to another small sphere of charge – 0.8 pC in air is 0.2 N.
(a) What is the distance between the two spheres?
(b) What is the force on the second sphere due to the first?
Answer:
Here, q1 = 0.4 µC, q2 = – 0.8 µC = – 0.8 x 10-6 C = 0.4 x 10-6 C F = electrostatic force between q1 and q2 = 0.2 N.
(a) r = ?

= 16 x 9 x 10-4 = 144 x 10-4 m2
.’. r = 12 x 10-2 m = 0.12 m.
(b) Force on q2 due to q1 = ?
We know that electrostatic forces always, appear in priors and follow Newton’s 3rd law of motion.
I F21 ! = Force on q2 due to q1 = 0.2 N and is attractive in nature.

= 0.2 N.
Question 3.
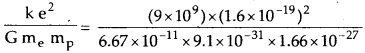
Checks that the ratio ke2/Gmem is dimensionless. Look up a Table of Physical Constants and determine the value of this ratio. What does the ratio signify?
Answer:
Dimensions of e2 are = [C2]
Dimensions of k are = [Nm2 C-2 ] = [ML3T-2 C-2] Dimensions of G are = [M-1 L3 T-2]
Dimensions of m2 = [M]
∴ Dimensions of \( \frac{\mathrm{Ke}^{2}}{\mathrm{Gm}_{\mathrm{e}} \mathrm{m}_{\mathrm{p}}}\) are obtamed as :

.’. \( \frac{\mathrm{Ke}^{2}}{\mathrm{Gm}_{\mathrm{e}} \mathrm{m}_{\mathrm{p}}}\) is a dimensionless quantity as it has no units.
Now using e = 1.6 x 10-19 C, k – 9 x 109 Nm2 C-2, G = 6.67 x 10-11 Nm2 kg-22, me = 9.1 x 1031 kg,
mp = 1.66 x 10-27kg, we get

= 2.29 x 1039
This factor represents the ratio of electrostatic force and the gravitational force between an electron and a proton.
Question 4.
(a) Explain the meaning of the statement ‘electric charge of a body is quantised’.
(b) Why can one ignore quantisation of electric charge when dealing with macroscopic i.e., large scale charges ?
Answer:
(a) The meaning of the statement ‘electric charge of a body is quantised’ is that the charge on it is always some integral multiple of elementary charge of an electron or a proton (= e in magnitude) i.e., charge on a body never varies continuously but it varies in the form of discrete packets called quanta or packets of charge. Mathematically, the charge on a body can be expressed as
q = ±ne
where n is an integer, e = magnitude of the charge of an electron or proton = 1.6 x 10-19 C. A fraction of the fundamental charge e has never been observed in free state.
![]()
(b) In practice, the charge on a charged body at macroscopic level is very large while the charge on an electron is very small. When electrons are added to or removed from a body, the change taking place in the total charge on the body is so small that the charge seems to be varying in a continuous manner. Thus quantisation of electric charge can be ignored at macroscopic level i.e., when dealing with a large scale charged body.
Question 5.
When a glass rod is rubbed with a silk cloth, charges appear on both. A similar phenomenon is observed with many other pairs of bodies. Explain how this observation is consistent with the law of conservaton of charge.
Answer:
Initially i.e., before rubbing both the glass rod and silk cloth are electrically neutral. In other words, net charge On the glass rod and silk cloth is zero. When the glass rod is rubbed with silk cloth, a few electrons get transferred from the rod to the silk cloth, thus glass rod becomes positively charged and silk cloth negatively charged. The positive charge on the glass rod is exactly equal to the negative charge on the silk cloth, so net charge on the system is again zero.
Thus the appearance of charge on the glass rod and silk cloth is in accordance with the law of conservation of charge as the total charge of the isolated system is constant. Similarly when ebonite rod is rubbed with fur, they acquire – ve and + ve charges respectively and net charge is zero again. Thus we conclude that charge is neither created nor destroyed but it is merely transferred from one body to another which is consistent with the law of conservation of charge.
Question 6.
Four point charges qA = 2 µC, qB = – 5 µC, qC = 2 µC, and qD = – 5 µC are located at the comers of a square ABCD of side 10 cm. What is the force on a charge of 1 µC placed at the centre of the square?
Answer:
Consider the square ABCD of each side 10 cm and centre O. The charge of 1 µC is placed at O.
Now clearly OA = OB = OC = OD.
AB = BC = 10 cm = 0.1m.

Here, qA = 2 µC, qB = – 5 µC, qC = 2 µC, qD = – 5 µC
Clearly qA = qC = 2µC = 2 x 10-6 µC.
and qB = qD =-5 qC = -5 x 10-6µC.
Since qA = qC, the charge of 1µC will experience equal and opposite forces due to the charges qA and qC i.e., along OC and OA respectively. Their magnitudes are:

Similarly FB = FD, the charge of 1µC will experience equal and opposite forces due to the charge qB and qD i.e., along OB and OD
respectively, Thus \(\overline{\mathrm{F}}_{\mathrm{B}}\) = – \(\overline{\mathrm{F}}_{\mathrm{D}}\)
Thus the net force on the charge of lqC due to the given arrangement of charges is zero i.e.,
\([latex] \vec{F}=\overrightarrow{F_{A}}+\overrightarrow{F_{B}}+\overrightarrow{F_{C}}+\overline{F_{D}}\)[/latex]
![]()
Question 7.
(a) An electrostatic field line is a continuous curve. That is, a field line cannot have sudden breaks. Why not?
(b) Explain why two fields lines never cross each other at any point?
Answer:
(a) The electrostatic line of force is the path tangent at every point of which gives the direction of electric field at that point. The direction of electric field generally changes from point to point. So the lines of force are generally curved lines. Further they are continuous curves and cannot have sudden breaks because if it is so, then it will indicate the absence of electric field at the break points.
(b) The electric lines of force never cross each other because if they do so, then at the point of their intersection, we can draw two tangents which give two directions of electric field at that point which is not possible.

Question 8.
Two point charges qA = 3 pC and qB = – 3 pC are located 20 cm apart in vacuum.
(a) What is the electric field at the midpoint O of the line AB joining the two charges?
(b) If a negative test charge of magnitude 1.5 x 10-29 C is placed at this point, what is the force experienced by the test charge ?
Answer:

Here, charge at point A, qA = + 3 μC = 3 x 10-6 C.
charge at point B, qB = – 3 μC = 3 x 10-6 C.
r = AB = 20 cm = 0.2 m.
Let O be the mid-point of the line AB, then.
OA = OB = \(\frac {r}{2}\) = \(\frac {0.2}{2}\) = 0.1m
(a) If \(\mathrm{E}_{\mathrm{A}}\) and \(\mathrm{E}_{\mathrm{B}}\) be the electric fields at point O due to qA and qB respectively.
Then

If \(\overrightarrow{\mathrm{E}}\) be the net electric field at point O due to qA and qB then
\(\overrightarrow{\mathrm{E}}=\overrightarrow{\mathrm{E}_{\mathrm{A}}}+\overrightarrow{\mathrm{E}_{\mathrm{B}}}\)
= 2.7 x 10-6 + 2.7 x 10-6
= 5.4 x 10-6 NC-1 along OB.
(b) Force on a negative charge of magnitude 1.5 x 10-9 C is given by the formula.
\(\overrightarrow{\mathrm{F}}\) = q0 \(\overrightarrow{\mathrm{E}}\)
Here q0 = – 1.5 x 10-9C,
\(\overrightarrow{\mathrm{E}}\) = 5.4 x 10-6NC-1 (\(\mathrm{O} \hat{\mathrm{B}}\))
\(\overrightarrow{\mathrm{F}}\) = – 1.5 x 10-9 x 5.4 x 10-6
= – 8.1 x 10-3N.
-ve sign shows that \(\overrightarrow{\mathrm{F}}\) acts opposite to \(\overrightarrow{\mathrm{E}}\) i.e. along OA.
Question 9.
A system has two charges qA = 2.5 x 10-7 C and qB = – 2.5 x 10-7 C located at points A (0, 0, – 15 cm) and B (0, 0, + 15 cm) respectively. Wftat is the total charge and electric dipole moment of the system?
Answer:
The charges qA and qH are located at points A (0,0, – 15 cm) and B (0,0, + 15 cm) on z -axis as shown in the figure here. They forrp an electric dipole.
d – total chrage = ?
p = electric dipole moment of the system = ?
p = q.2a.
Now q = qA + qB = 2-5 x 10-7 + (-2.5 x 10-7) = 0
Also 2a = AB = dipole length= OA + OB
= 15 + 15 = 30 cm
= 0.30 m.
∴ p = either charge x dipole length
= qA x AB = 2.5 x 10-7 x 0.30
= 7.5 x 10-8 cm
The electric dipole moment is directed from B to A i.e., along negative Z-axis.

Question 10.
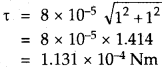
An electric dipole with dipole moment 4 x 10-9 C m is aligned at 30° with the direction of a uniform electric field of magnitude 5 x 10-4 NC-1. Calculate the magnitude of the torque acting on the dipole.
Answer:
Here, p = 4 x 10-9 Cm, E = 5 x 104NC-1,θ = 30°, τ = ?
Using the formula, x = pE sin θ, we get
τ = 4 x 10-9 x 5 x 104 x sin 30°
= 20 x 10-5 x \(\frac {1}{2}\)
= 10-4 Nm.
Question 11.
A polythene piece rubbed with wool is found to have a negative charge of 3 x 10-7 C.
(a) Estimate the number of electrons transferred (from which to which?)
(b) Is there a transfer of mass from wool to polythene?
Answer:
(a) Here, q = Total charge transferred = – 3 x 10-7 C. Charge on an electron, e = -1.6 x 10-19 C.
n = no. of electrons transferred = ?
As the polythene piece rubbed with wool is found to attain -ve charge, so the electrons are transferred from wool to polvihene piece.
From quantisa Lion of charge, we know that q = ne.
n = \(\frac {q}{e}\) = \(\frac{-3 \times 10^{7}}{-1.6 \times 10^{-19}}\) = 1.875 x 1012
= 2 x 1012
![]()
(b) Yes, there is a transfer of mass from wool to polythene as electrons are material particles and are transferred from wool to polythene piece.
m = mass of each electron = 9.1 x 10-13 kg,
n = 1.875 x 1012
M = total mass transferred to polythene = ?
= m x n
= 9.1 x 1031 x 1.875 x 1012 = 1.71 x 10-18kg ≈ 2 x 10-18 kg.
Question 12.
(a) Two insulated charged copper spheres A and B have their centres separated by a distance of 50 cm. What is the mutual force of eiectrosatic repulsion if the charge on each is 6.5 x 10-7C? The radii of A and B are negligible compared to the distance of seperation.
(b) What is the force of repulsion of each sphere is charged double the above amount, and the distance between them is halved?
Answer:
(a) Charge on 1st sphere, A = qA = 6.5 x 10-7C
Charge on 2nd sphere, B = qB = 6.5 x 10-7C
Distance between sphere A and B = 50 cm = 0.5m = d
We know that,

(b) If each sphere is charged double the amount, then
qA = qB = 2 x6.5 x 10-7C
= 13 x 10-7C
and r = \(\frac {1}{2}\) x 50cm = 0.25m
We know that,

Question 13.
Suppose the spheres A and B of previous exercise have identical sizes. A thud sphere of the same size but uncharged is brought in contact with the first, then brought in contact with the second, and finally removed from both. What is the force of repulsion between A and B ?
Answer:
Initial charges on spheres A and B
= qA = qB = 6.5 x 10-7C
r = Distance between the spheres A and B = 0.5 m.
All the spheres will have equal charges on being brought in contact because they are of the same size.
When 3rd sphere C having charge e3 = zero is brought in contact with 1st sphere A, then ;
Charge on A = Charge on C = q 1say ,

or q1 = 3.25 x 10-7 C
When 3rd sphere C having charge 3.25 x 10-7 C is brought in contact with 2nd sphere B, then; charge left on B say q2 is given by –
Charge on B = Charge on C

or q2 = 4.875 x 10-7C
If F be the force of repulsion between spheres A and B and when sphere C is removed, then according to Coulomb’s law of electrostatic forces.

Question 14.
Figure below shows tracks of three charged particles in a uniform electrostatic field. Give the signs of the three charges. Which particle has the highest charge to mass ratio?

Answer:
Charges on the two plates are shown in the figure. Since charged particles are deflected towards the oppositely charged plates, therefore (1) and (2) are -vely charged while particle (3) is +vely charged. Since all the three particles are crossing the same electric field with same speed, so they remain under the action of \(\overrightarrow{\mathrm{E}}\) for same time f (ray).
The deflection produced in the path of a charged particle along vertical
direction is given by, y = \(\frac {1}{2}\) at2 = \(\frac {1}{2}\) \(\frac{\mathrm{eE}}{\mathrm{m}}\) t2
Question 15.
Consider a uniform electric field E = 3 x 103 \(\hat { i }\) N/C.
(a) What is the flux of this field through a square of 10 cm on a side whose plane is parallel to the yz plane?
(b) What is the flux through the same square if the normal to its plane makes at 60° angle with the x-axis?
Answer:
Here, E = 3 x 103 \(\hat { i }\) N/C-1i.e., the electric field acts along positive direction of x-axis.
Side of square = 10 cm
its surface area, ∆S = (10 cm)2 = 10-2 m3
or \(\frac{\mathrm{∆S}}{\mathrm{m}}\) = 10-2\(\hat { i }\)m2
as normal to the square is along x-axis.
(a) If Φ be the electric flux through the square, then
Φ = \(\overrightarrow{\mathrm{E}} \cdot \overrightarrow{\Delta \mathrm{S}}\)
= (3 x 103 \(\hat { i }\)). (10-2 \(\hat { i }\))
= 3 x 103 x 10-2 \(\hat { i }\). \(\hat { i }\) = 3x 10 = 30 Nm2C-1

(b) Here, angle between normal to the square i.e., area vector and the electric field is 60°.
∴ θ = 60°
∴ Φ = \(\overrightarrow{\mathrm{E}} \cdot \overrightarrow{\Delta \mathrm{S}}\) = E. ∆S cos 60°
= 3 x 103 x 10-2 x \(\frac {1}{2}\)
= 15 Nm2 C-1.

Question 16.
What is the net flux of the uniform electric field of Exercise 1.15 through a cube of side 20 cm oriented so that its faces are parallel to the coordinate planes?
Answer:
Net flux over the cube is zero becuase the number of lines entering the cube of side 20 cm is same as the number of lines leaving the cube.
Question 17.
Careful measurement of the electric field at the surface of a black box indicates that the net outward flux through the surface of the box is 8.0 x 103 Nm2/c
(i) What is the net charge inside the box?
(ii) If the net outward flux through the surface of the box were zero, could you conclude that there were no charges inside the box? Why or why not?
Answer:
(i) Given, Φ = 8 x 103Nm2 C-1, ε0= 8.854 x 10-12 C2 N-1m-2
If the net charge inside the black box is q, then using formula
Φ = \(\frac{q}{\varepsilon_{0}}\) or we get, q = E0 Φ
or q = 8.854 x 10-12 x 8x 103C
q = 8.854 x 8 x 10-9 C
q = 70.832 x 10-9 C = 0.070832 x 10-6C = 0.071 pC
![]()
(ii) We cannot conclude that the net electric charge inside the box
is zero if the outward flux through the surface of black box is zero because there might be equal amounts of positive and negative charges cancelling each other and thus making the resultant charge equal to zero. Thus, we can only conclude that the net charge inside the box is zero.
Question 18.
A point charge +10 pC is a distance 5 cm directly above the centre of a square of side 10 cm as shown in figure. What is the magnitude of the electric flux through the square? (Hint: Think of the square as one face of a cube with edge 10 cm.)
Answer:
The given square ABCD can be imagined as one of the side faces of a cube of side 0.10 m. The given charge can be imagined to be at the centre of this cube at a distance of 5 cm.
Here, q = + 10 pC = 10-5C.
Then according to Gauss’s Theorem, the total electric flux through all the 6 faces of the cube is given by
Φ = \(\frac{q}{\varepsilon_{0}}\)

If Φ be the electric flux through the square ABCD, then

Question 19.
A point charge of 2.0 qC is at the centre of a cubic Gaussian surface 9.0 cm on edge. What is the net electric flux through the surface?
Answer:
Here, charge at the centre of the Gaussian surface,
q = 2μC = 2 x 10-6C.
E0 = 8.854 x 10-12 C2 N-1 m-2
Φ = electric flux through it =?
q = 2μC = 2 x 10-6C.
According to Gauss’s Theorem, the electric flux through the six faces of the cubes /.


Question 20.
A point charge causes an electric flux of – 1.0 x 103 Nm2/C to pass through a spherical Gaussian surface of 10.0 cm radius centred on the charge, (a) If the radius of the Gaussian surface were doubled, how much flux would pass through the surface? (b) What is the value of the point charge?
Answer:
Here, = electric flux through the spherical Gaussian surface
= -1.0 x 103 N m2 C-1.
r = radius of Gaussian spherical surfaces – 10 cm
Let q = charge enclosed at its centre.
(a) According to Gauss’s law, the electric flux through a Gaussian surface depends upon the charge enclosed inside the surface and not upon its size. Thus the electric flux will remain unchanged i.e., – 1.0 x 103 Nm2 C-1 through the spherical Gaussian surface of double radius i.e. of 20 cm as it also encloses the same amount of charge.
(b) q = point charge = ?, ε0 = 8.854 x 10-12 Nm-2 C2.
Using the formula,
Φ = \(\frac{q}{\varepsilon_{0}}\) we get
q = ε0 Φ = 8.854 x 10-12 x (-1.0 x 103) = – 8.854 x 10-9C = 8.8 nC.
![]()
Question 21.
A conducting sphere of radius 10 cm has an unknown charge. If the electric field 20 cm from the centre of the sphere is 1.5 x 103 N/C and points radially inward, what is the net charge on the sphere?
Answer:
Here R = radius of the conducting sphere = 0.10 m
r = distance of the point from centre of sphere = 20 cm = 0.2 m
Clearly r > R
E = electric field at a point at a distance of 20 cm from the sphere = 1.5 x 103 NC-1 acting inward.
q = net charge on the sphere = ?
Using the formula,

Also as E acts in the inward direction, so charge on the sphere is negative.
q = – 6.67 x 10-9 C = – 6.67 nC.
Question 22.
A uniformly charged conducting sphere of 2.4 m diameter has a surface charge density of 80.0 μC/m2.
(a) Find the charge on the sphere, (b) What is the total electric flux leaving the surface of the sphere?
Answer:
Here, a = surface charge density = 80.0 μ Cm2 = 80 x 10-6 Cm2
R = radius of the charged sphere = \(\frac {2.4}{2}\) = 1.2 m.
(a) q = charge on the sphere = ?
Using the relation, fa = σ \(\frac{q}{4 \pi R^{2}}\) , we get
q = 4πR2 x σ = 4 x \(\frac {22}{7}\) x (1-2)2 x 80 x 10-6
= 1.45 x 10-3 C.
(b) Φ = Total electric flux leaving the surface of the sphere = ?
Using Gauss’s Theorem, we get

Question 23.
An infinite line charge produces a field of 9 x 104 N/C at a distances of 2,cm. Calculate the linear charge density.
Answer:
Here E = electric field produced by infinite line charge = 9 x 104 NC-1
r = distance of the point where E is produce = 2 cm = 0.02 m.
λ = linear charge density = ?
\(\frac{1}{4 \pi \varepsilon_{0}}\) = 9 x 109 N-1m-2C
Using the relation,
E = \(\frac{1}{2 \pi \varepsilon_{0}}\) \(\frac{λ}{r}\)
we get,

Question 24.
Two large, thin metal plates are parallel and close to each other. On their inner faces, the plates have surface charge densities of opposite signs and of magnitude 17.0 x 10-22Cm2. What is E: (a) in the outer region of the first plate, (b) in the outer region of the second plate, and (c) between the plates?
Answer:
Here a = surface charge density of plates
= 17.0 x 10-22 Cm-2
ε0 = 8.854 x 1012C2N1m-2

The arrangement of the plates is shown in the figure.
(a) Em the outerregion of the first plate E to the left of the first plate =?
Ther onlistotheeftof the fi(st plate thuselectric field E1 in this
region dueto the two plates is given by –
E1 = – E1 + (-E2)

E1 = 0
(b) E in the outer region of second plate = E to the right of second plate i.e., in region III = ?.
The region III, E is given by

(c) E between the plates = E in II region = EII = ? EII(I is given by
EII = EI+ (- E2)
(here E1 is +ve and E2 is – ve)
= E1 – E2

Question 25.
An oil drop of 12 excess electrons is held stationary under a constant electric field of 2.55 x 104 NC-1in Millikan’s oil drop experiment. The density of the oil is 1.26 g cm-3. Estimate the radius of the drop, (g = 9.81 ms-2; e = 1.60 x 10-19 C).
Answer:
Here, E = constant electric field = 2.55 x 104 Vm-1
e = charge of an e = 1.6 x 10’i9 C
n= no. of electrons = 12
If q = cha rge On the drop, then
q = ne = 12 x 1.6 x 10-19 C = 19.2 x 10-19 C.
If Fe be the electrostatic force on the oil drop due to electric field,
Then Fe – q E = 19.2 x 10-19 x 2.55 x 10-4 ……(1)
Also let Fg = Force on the drop due to gravity, then
Fg = mg = \(\frac {4}{3}\) πr3pg …….(2)
Here p = density of oil = 1.26 g cm3
= 1.26 x 10-3kg (10-2 m)-3
= 1.26 x 103 kg m-3
g = 9.81 ms-2
r = radius of the drop = ?
Putting these values in equation (2), we get –
Fg = \(\frac {4}{3}\) πr3 x 1.26 x 103 x 9.81 ……..(3)
As the drop remains stationary,
Fe = Fg
or electros tafic force = weight of the drop due to electric field
or 19.2 x 10-19 x 2.55 x 104 = \(\frac {4}{3}\) πr3 1.26 x 103 x 9.81

Question 26.
Which among the curves shown in figure cannot possibly represent electrostatic field lines?

Answer:
Only (c) represents electric field lines.
(a) As the electrostatic field lines start or end only normally to the surface of the conductor, so figure (a) cannot represent electrostatic field lines as they are not normal to the surface.
(b) The electrostatic lines of force cannot start from negative charge and cannot end on positive charge, so fi^ufe ifb) cannot represent such lines.
(c) This figure represents electrostatic lines of force due to two isolated positive charges separated by some distance.
(d) As no two electrostatic lines of force intersect each other, so this figure cannot represent such lines.
(e) This figure does not represent electrostatic lines of force because they can’t form closed loop:
![]()
Question 27.
In a certian region of space, electric field is along the z- direction throughout. The magnitude of electric field is, however, not constant but increases uniformly along the positive z-direction, at the rate of 105 NC-1 per metre. What are the force and torque experienced by a system having a total dipole moment equal to 10-7 cm in the negative z-direction?
Answer:
Let \(\overrightarrow{\mathrm{p}}\) = 2aq be the electric dipole moment of an electric dipole consisting of charges – q at A and + q at B and placed along z- axis. ,
∴ \(\overrightarrow{\mathrm{p}}\) acts is negative z-direction
∴ its dipolemoment pz along z-direction is
pz = – 10-7cm.
The electric field is applied along the positive direction of z-axis, such that
\(\frac {dE}{dz}\) = 105 NC-1 m-1 ,F = ?, τ = Torque = ?
In a non-uniform electric field, the force on dipole is given by


The negative sign shows that force on the dipole is along negative z-axis.
Calculating of Torque (τ) – Both \(\overrightarrow{\mathrm{p}}\) and \(\overrightarrow{\mathrm{E}}\) act along negative z and + z axes respectively.
∴ 0 = 180°
Using the relation,
τ = pE sin 0, we get
τ = pE sin 180° = pE x 0
τ = 0
∴Torque on the dipole is zero.
Question 28.
(a) A conductor A with a cavity as shown in figure (a) is given a charge Q. Show that the entire charge must appear on the outer surface of the conductor, (b) Another conductor B with charge q is i inserted into the cavity keeping B insulated from A. Show that the total charge on the outside surface of A is Q + q [figure (b)]. (c) A sensitive instrument is to be shielded from the strong electrostatic fields in its environment. Suggest a possible way.

Answer:
(a) Consider a Gaussian surface shown by dotted lines so as to enclose the cavity but lying wholly inside the conductor A shown in fig. a. Also we know that the electric field inside a conductor is zero, so the part of the conductor within the cavity does not contain any net charge. By extending the same argument, we can say that no charge can be present inside the Gaussian surface, which lies just within the conductor. Thus according to Gauss’s law

inside the conductor as E = 0 inside the Gaussian surface
∴ Q = 0 inside the Gaussian surface.
Hence, the entire charge Q must appear on the outer surface of the conductor A.

(b) Let us again consider a Gaussian surface shown by dotted lines in fig. b so that it encloses the cavity and the conductor B with charge q inserted in the cavity. As such, the electric flux will cross the Gaussian surface which means that the electric field exists inside the conductor A. But the electric field inside the conductor A must be zero. It will be true only if the charge q on the conductor B induces charge – q on the inner surface of the cavity and + q charge induced will move the outer surface of theconductor A- As there is already a charge + q on the outer surface of the conductor A, thus total charge on its outer surface becomes Q + q. Hence proved
(c) The electric field inside a hollowmetallic conductor is zero and it resides only on its outer surface. Therefore, the instrument can be shielded from the strong electrostatic fields by enclosing it with a hollow metallic structure or envelope.
![]()
Question 29.
A hollow charged conductor has a tiny hole cut into its surface. Show that the electric field in the hole is (al2ej n, where n is the unit vector in the outward normal direction, and o is the surface charge density near the hole.
Answer:
Let + σ be the surface charge density of the charged conductor, near the hole. Let A = area of the hole. The electric field is perpendicular to the plane sheet of charge and is directed in outward direction shown by \(\hat { i }\)
To find’ \(\overrightarrow{\mathrm{E}}\) in the hole, draw a Gaussian cylinder through, the hole.
Since no lines of force cross the side walls of the cylinder, so the component of \(\overrightarrow{\mathrm{E}}\) normal to the walls iz zero. At the ends of the cylinder, the normal component of \(\overrightarrow{\mathrm{E}}\) is equal to E.
Thus if Φ be the total electric flux through the Gaussian surface,
Then


Also let q = charge enclosed in the Gaussian surface
∴ According to Gauss’s law,
![]()
From (1) and (2), we get

or in vector form E = \(\frac{\sigma}{2 \varepsilon_{0}} \hat{n}\)Hence proved.
Aliter: For a hollow conductor, the electric field at a point on its surface is given by
E = \(\frac{\sigma}{\varepsilon_{0}} \hat{n}\) and is directed outwards. and the \(\overrightarrow{\mathrm{E}}\) inside it is zero. If there is a hole on the surface of a conductor, then we say that the electric field at a point P is the sum of the E at P due to the field up hole and rest of the conductor.
Inside the conductor, the \(\overrightarrow{\mathrm{E}}\) due to filled up hole and the rest of the conductor is directed opposite so as to cancel each other, where as outside the conductor, the two fields act in the same direction and have the same magnitude. Let \(\overrightarrow{\mathrm{E}}\) = electric field in the hole.

2 x Electric field in the Hole = \(\overrightarrow{\mathrm{E}}\) due to the hollow conductor with filled in hole.
or 2\(\overrightarrow{\mathrm{E}}\) = \(\frac{\sigma}{\varepsilon_{0}} \hat{n}\)
or \(\overrightarrow{\mathrm{E}}\) = \(\frac{\sigma}{\varepsilon_{0}} \hat{n}\)
Question 30.
Obtain the formula for the electric field due to a long thin wire of uniform linear charge density X without using Gauss’s law. [Hint: Use coulomb’s law directly and evaluate the necessary integral.]
Answer:
Let AB be an infinite line charge having linear charge density X and centre O. + Let a = perpendicular distance of the point P from the line charge at which the electric field is to be calculated. Consider the long thin wire to be divided into a large number elementary segments and consider one such segment of length dl at point C and having charge dq at a distance r from P.

Also let ∠CPO = θ
∴ λ = \(\frac {dq}{dl}\) or dq = A.dl ……..(1)
If dE be the electric field produced at point P by the dq, then according to Coulomb’s law, dE is given by
dE = \(\frac{1}{4 \pi \varepsilon_{0}} \cdot \frac{\mathrm{dq}}{\mathrm{r}^{2}}\) ………..(2)
The rectangular components of \(\overrightarrow{\mathrm{dE}}\) are shown in the figure. It is clear from the figure that dE sin 9 components due the symmetrical elements are equal in magnitude and act in opposite directions, thus cancel each other. While dE cos θ components due to the whole length of the wire act in the same direction and add upto given the net electric field \(\overrightarrow{\mathrm{E}}\) given by

Now in rt. ∠d ∆ COP,
cos θ = \(\frac {OP}{CP}\) = \(\frac {a}{r}\) …………(4)
∴ From-(1), (2), (3) and (4), we get

Now in rt. ∠d ∆ COP, cos θ = \(\frac {a}{r}\) or \(\frac {1}{r}\) = \(\frac {cos θ}{a}\)…(6)
and \(\frac {1}{a}\) = tan θ
or I = a tan θ ………..(7)
differentiating (7) w.r.t. O, we get
di = a sec2θ dθ ………….(8)
Also when x = – α, θ = \(\frac {π}{2}\) and when x = + α, θ = π/2 …………(9)
from (5), (6), (8) and (9), we get

which is the required expression.
Question 31.
It is now believed that protons and neutrons (which constitute nuclei of ordinary matter) are themselves built out of more elementary units called quarks. A proton and a neutron consist of three quarks each. Two types of quarks, the so called ‘up’ quark (denoted by u) of charge + (2/3) e, and the ‘down’ quark (denoted by d) of charge (-1/3) e, together with electrons build up ordinary matter. (Quarks of other types have also been found which give rise to different unusual varieties of matter.) Suggest a possible quark composition of a proton and neutron. .
Answer:
Two types of quarks are denoted by u and d.
The charge on up quark (u) = + \(\frac {2}{3}\) e.
and the charge on down quark (d) = – \(\frac {2}{3}\) e.
The charge on the proton is + e and it is made of three quarks.
Therefore, the possible quark composition of a proton ¡s uud.
∴ Totaicharge = \(\frac {2}{3}\) e + \(\frac {2}{3}\)e – \(\frac {1}{3}\)e = \(\frac {4-1}{3}\)e = e
On the other hand, neutron is a neutral particle but it is aLso made of three quarks. For this, the possible composition of the neutron is udd.
∴ total charge on neutron = + \(\frac {2}{3}\)e + (\(\frac {-e}{3}\)) + (\(\frac {-e}{3}\)) = 0.
![]()
Question 32.
(a) Consider an arbitrary electrostatic field configuration. A small test charge is placed at a null point (i.e., where E = 0) of the cofiguration. Show that the equilibrium of the test charge is necessarily unstable.
(b) Verify this result for the simple configuration of two charges of the same magnitude and sign placed a certain distance apart.
Answer:
(a) An arbitrary electrostatic configuration consists of two charges of unequal charges of unequal magnitude and of same sign, e.g., consider a system of two fixed charges + ve and + e separated by a distance r placed at point A and B respectively. Let a test charge q0 be placed at a point C at a distance x from + 4e. C is the point is resultant field or force on 90 is zero.

i.e., If \(\overrightarrow{\mathrm{F}_{1}}\) and \(\overrightarrow{\mathrm{F}_{2}}\) be the forces acting on q0 due to + 4e and + e respectively.
then,
\(\left|\overrightarrow{F_{1}}\right|\) = \(\left|\overrightarrow{F_{2}}\right|\)

For equilibrium, the charge q0 can be either +ve or – ve.
Case I. If q0 is – ve, then it experiences equal attractive force due to both the charges. When it is displaced on either side along the line joining the two charges from its equilibrium position, the attractive force due to one charge gets increased while due’to the other, it is decreased. As a result of this, charge – q0 no longer returns to its equilibrium position i.e., equilibrium of – ve charge is necessarily unstable.
Case II. If q0 is the + ve but displaced perpendicular to line joining the two charges, then resultant force tends to displace it further more i.e., it will not come-back to its equilibrium position i.e., equilibrium will be unstable.
(b) Let the simple configuration consists of two equal charges + q at point A and B. As now the two charges are of same nature and have same magnitude hence their resultant \(\overrightarrow{\mathrm{E}}\) will be zero at the mid-point O of the line joining them being equal and opposite and system will be unstable if the charge is slightly displaced, it executes S.H.M.

Question 33.
A particle of mass m and charge (-q) enters the region between the two charged plates initially moving along x-axis with speed vx (like particle 1 in Fig.). The length of plate is L and an uniform electric field E is maintained between the plates. Show that the verticle deflection of the particle at the far edge of the plateis qEL2/(2m vx2).
Compare this motion with motion of a proj ectile in gravitational field discussed in Section 4.10 of Class XITextbook of physics.
Answer:
Consider two charged plates Q, P and let E be the electric field acting between the two plates.

E will be acting from Q to P.
Let t be the time taken by the particle to cross electric field region having vertical deflection y.
t = \(\frac{L}{v_{x}}\)
Charge – q will follow a parabolic path between the charged plates Q and P.
Let a be the acceleration produced in the particle along y axis: Initial velocity along y axis uy = 0
Also we know that \(\overrightarrow{\mathrm{F}}\) = m \(\overrightarrow{\mathrm{a}}\)

Where (-ve) sign shows that \(\overrightarrow{\mathrm{a}}\) is opposite in direction to \(\overrightarrow{\mathrm{F}}\)
Using formula

Question 34.
Suppose that the particle in Exercise in 1.33 is an electron projected with velocity vx = 2.0 x 106 m s-1. If E between the plates separated by 0.5 cm is 9.1 x 102 N/C, where will the electron strike the upper plate? (| e | = 1.6 x 10-19 C, me = 9.1 x 1031 kg.)
Answer:
Here,
ux= 2 x 106 ms-1
d = separation between the plates = 0.5 cm = 0.5 x 10-2 m. .
E = electric field between the plates = 9.1 x 102NC-1.
q = 1.6 x 10-19 C, me = mass of electron = 9.1 x 10-31 kg
y = defection of electron towards upper plate = ?
y is given by = \(\frac{\mathrm{q} \mathrm{EL}^{2}}{2 \mathrm{~m} v_{\mathrm{x}}^{2}}\)
Sustituting the values of q, E, m, V but the value of L is not given.
.’. Insufficient Data.
![]()
Bihar Board Class 12 Physics Chapter 1 Electric Charges and Fields Additional Important Questions and Answers
Very Short Answer Type Questions
Question 1.
What is the permittivity of a medium having dielectric constant one.
Answer:
We know ε = ε0K.
Here K = 1, ε0 = 8.854 x 10-12 N-1m-2 C-2.
ε = 8.854 x 10-12 x 1
= 8.854 x 10-12 C2 m-2 N-1.
Question 2.
Who first assigned the positive and negative signs to charge?
Answer:
Benjamin Franklin first assigned the positive and negative signs to charge.
Question 3.
Two point charges qx and q2 are such that q1 q2 > 0. What is the nature of the force between the two charges?
Answer:
q1q2 > 0 means that the product of q1 and q2is positive which can be possible only if either q1, and q2 are + vely or – vely charged. Thus the force between q, and q2 is repulsive.
Question 4.
What is the elementary charge considered in nature?
Answer:
The elementary charge considered in nature is the charge of an electron or a proton i.e. e = ± 1.6 x 10~19 C.
Question 5.
Does the electric charge vary with the speed of the charged body?
Answer:
No, the electric charge does not vary with the speed of the charged body.
Question 6.
Does the electrostatic forces between two charges are Newtonian i.e., equal in magnitude and opposite in direction?
Answer:
Yes, the electrostatic forces between two charges are Newtonian. .
Question 7.
Define electrostatics.
Answer:
It is defined as the study of the phenomena associated with the charges at rest.
Question 8.
Define charge.
Answer:
It is defined as the basic and characteristic property of elementary particles of matter in the form of which certain force of interaction and interaction energies may be explained.
Question 9.
Is mass of A body affected on charging?
Answer:
Yes, it is affected on charging.
Question 10.
By how much amount the mass of a body is affected on charging?
Answer:
Mass will increase or decrease equal to the mass of electrons gained or lost.
Question 11.
Write the relation between 1 Coulomb and 1 e.s.u. of charge.
Answer:
1 C = 3 x 109 e.s.u. ‘
![]()
Question 12.
Is electrostatic force a ceiitral force?
Answer:
Yes, electrostatic force is a central force.
Question 13.
Is electric field intensity a scalar or a vector quantity?
Answer:
Electric field intensity is a vector quantity.
Question 14.
Write down the S.I. unit of electric field intenstiy.
Answer:
Newton (Coulomb-1) = NC-1
Question 15.
Tell the nature of Torque.
Answer:
Torque is a vector quantity.
Question 16.
What is the direction of electric field due to an electric dipole at a point on its equitorial line?
Answer:
The electric field due to an electric dipole at a point on its equitorial line acts opposite to the direction of dipole moment of the electric dipole.
Question 17.
What is the direction of electric field due to an electric dipole at a point on its axial line?
Answer:
The electric field due to an electric dipole at a point on its axial line acts in the direction of dipole moment of the electric dipole.
Question 18.
What is the nature of symmetry of field due to an electric dipole?
Answer:
It is of cylindrical nature.
Question 19.
What is the nature of lines of force of uniform electric field?
Answer:
The lines of force of uniform electric field are parallel and equispaced as shown in the figure here.

Question 20.
What is the importance of electric field intensity?
Answer:
It is used to find the force on any charge using the relation F = q-E.
Question 21.
What is the S.I. unit of electric dipole moment?
Answer:
The S.I. unit of electric dipole moment is Coulomb metre (C-m).
Question 22.
What is the direction of electric dipole moment?
Answer:
Electric dipole moment acts from negative to postive charge.
![]()
Question 23.
What is the direction of force experienced by an electron in an electric field?
Answer:
Force on an electron in an electric field acts opposite to the electric field.
Question 24.
How are the electric field intensities of a short dipole on axial and equitorial lines related to each other?
Answer:
Electric field at a point on axial is twice the electric field at the same distane on equitorial line.
![]()
Question 25.
Does an electric dipole experiences a force when placed in a non-uniform field?
Answer:
Yes, it experience a force in a non-uniform electric field.
Question 26.
Tell whether the electric flux is a scalar or a vector quantity?
Answer:
Electric flux is a scalar quantity.
Question 27.
What is the S.I. unit of electric flux?
Answer:
The S.I. unit of electric flux is Nm2 C-1.
Question 28.
Define electric flux.
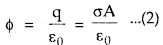
Answer:
It is defined as the total number of electric lines of force passing through a given area held perpendiculare to them. It is also defined as the surface integral of the normal component of the electric field over that surface i.e. mathematically,
![]()
Question 29.
What can be concluded if the electric flux through a closed surface is zero?
Answer:
It can be concluded from it that the inward electric flux is equal to the outward electric flux.
Question 30.
Define a Gaussian surface.
Answer:
It is defined as an imaginary closed surface enclosing some Charge inside it.
Question 31.
If electric flux through a closed surface is negative, then what type of charge it contains?
Answer:
It contains negative charge.
Question 32.
Define electrostatic shielding.
Answer:
It is defined as a method of isolating a system from unwanted • strong electrostatic fields which may affect the working of the given system.
![]()
Question 33.
What is the importance of Gauss’s theorem?
Answer:
Gauss’s theorem helps us to calculate the electric field intensity ‘ in those cases where it becomes quite difficult to calculate it using Coulomb’s law.
Question 34.
A Gaussian surface contains charges of – q, + 2q and- q. Calculate the electric flux through the surface.
Answer:
According to Gauss’s law, we know that the electric flux is givenby
\(\phi=\frac{q}{\varepsilon_{0}}\) …………(1)
Here q = total charge enclosed bv the Gaussian surface=- q + 2q + (-q) = 0.
∴ From (1) and (2), we get
\(\phi=\frac{0}{\varepsilon_{0}}\) = 0
Φ = 0
Question 35.
Does Coulomb’s law and Gauss’s law complement each other? How?
Answer:
Yes, because Coulomb’s law can be derived from Gauss’s law and vice-versa.
Question 36.
Define friction electricity. Why it is called static electricity?
Answer:
It is defined as the electricity produced on the objects when they are rubbed with each other. It is called static electricity because the electric charges so developed cannot move from one part of the object to its other part.
Question 37.
Does, the electric field due to an infinite plane sheet of charge depends upon the distance of the point from the sheet?
Answer:
No, it does not depend upon the distance of the point from the sheet.
Question 38.
Suppose a Gaussian surface does not include any not charge. Does it necessarily means that \(\overrightarrow{\mathrm{E}}\) is equal to zero for all points on its surface?
Answer:
If a Gaussian surface does not include any net charge, there can be electric field on the surface of the Gaussian surface but parallel to the surface. But it will require that there should be some source charge outside the Gaussian surface.
Question 39.
Why does a min inside an insulated metallic cage not ,. receive a shock when the cage is highly charge.
Answer:
It is because, the potential at each point inside the cage is same as that of the cage itself. Since there is no potential difference between the man and the highly charged cage, so the man does not receive any shock.
Question 40.
A positively charged glass rod attracts a suspended pith ball. Does it mean that the pith-ball is negatively charged?
Answer:
No. The pith-ball can be uncharged also. The positively charged glass rod can attract the pith-ball due to induced charges of opposite kind produced on the pith-ball. .
Question 41.
Is Coulomb’s law in electrostatics applicable in all situations?
Answer:
No, Coulomb’s law in electrostatics is not applicable in all situations.
Question 42.
Tell the situations in which Coulomb’s law is applicable.
Answer:
It is applicable in the following situations :
(i) The electric charges must be stationary.
(ii) The electric charges must be point charges in sizes.
Question 43.
What does q1+ q2 = 0 signify in electrostatic.
Answer:
It signifies that the two charges qj and q2 are equal and opposite and constitute an electric dipole.
![]()
Question 44.
Are the field lines a reality?
Answer:
No, the eletric field lines themselves are imaginary but the electric field they represent is real.
Short Answer Type Questions
Question 1.
What are the properties of electric charges?
Answer:
The following are the properties of electric charges.
- They are always additive in nature.
- The charge is a scalar quantity.
- The charge is of two types i.e., + ve and – ve.
- The charge is always quantised.
- The charge of an isolated system always remains conserved.
- The charge on an object unlike mass is not affected by the motion of the object.
- Similar charges repel each other and unlike.charges attract each other.
Question 2.
What is ε0? Why it has been introduced?
Answer:
ε0 is called as absolute permittivity of free space or vaccum of air. In most of the results developed from electrostatics, a factor in is obtained. These results are used for frequently than Coulomb’s law itself. To avoid the appearance of factor 4π, the proportionality constant k is defined as –

Question 3.
Define a test charge. Why it should be infinitessimally small? What is its importance?
Answer:
It is defined as a small positive charge. It helps us to calculate the electric field at a point due to a source charge.
It should be infinitessimally small so that the electric field produced at that point by the source charge is measured accurately.
Question 4.
Define electric field. Derive the expression of electric field intensity due to given point charge.
Answer:
Electric field at a point is defined as the electrostatic force experienced per unit test charge placed at that point. It is also called electric field intensity and is denoted by \(\overrightarrow{\mathrm{E}}\) . i.e., Mathematically

where q0 = test charge.

Expression for \(\overrightarrow{\mathbf{E}_{0}}\) – Let q be a point charge lying at a point O in free space.
r = distance of the point P in free space at which \(\overrightarrow{\mathbf{E}}\) is to be calculated. Place a test charge q0 at P.
If F be the force experienced by q0 at P, then according to Coulomb’s law,
![]()
If \(\overrightarrow{\mathrm{E}}\) be the electric field at P, Then by def.

or its magnitude is given by
![]()
Question 5.
Can test charge be equal to zero? Why?
Answer:
No, the test charge q0 cannot be zero because it will not experience any force and thus there would be no way to measure electric field.
Question 6.
Define an ideal dipole. What is the importance calculating electric field at any point due to an electrical dipole?
Answer:
It is defined as a dipole having dipole length 2a very small but the magnitudes of charges are sufficiently large so that | p j -2aqis finite. Dipoles are common occurrence in nature. With its help we can calculate electric field due to the much more complicated system of charges. In atomic, molecular and solid state Physics, we have to deal with fields due to atomic and molecular dipoles.
![]()
Question 7.
Give important porperties of electric lines of force?
Answer:
The following are the properties of electric lines of force:
- They start from positive charge and terminate on the negative charge.
- They don’t pass through a conductor.
- The lines of force always originate dr terminate at right angles to the surface of the charge.
- The lines of force never intersect each other.
- The lines of force always contract longitudinally. This explains the attraction between two dissimilar charges.
- The lines of force exert a lateral pressure on each other which explains the repulsion between two similar charges.
- The tangent drawn at any point to the electric lines of force gives the direction of electric field at that point.
- The lines of force are closer to each other where the electric field is stronger and spread farther apart where the electric field is weaker.
Question 8.
A boy brings the palm of his hand near the disc of a charged gold leaf electroscope. The leave of the electroscope are observed to collapse slightly. But when the boy moves his hand away from it, the leaves resume their original position. How can you explain this behaviour of leaves?
Answer:
While an equal and opposite charge will be induced on the lower side of the palm, equal and same charge will be induced on the upper side of the palm. But this will leak to the earth. The induced opposite charge causes the leaves to get slightly collapsed. ‘
Question 9.
A metal sphere is held fixed on a smooth horizontal insulated plate and another metal sphere is placed some distance away. If the fixed sphere is given a charge, how will the other sphere react?
Answer:
When the fixed sphere is given a charge, it induces opposite charge on the nearer end of the other sphere and similar charge on the farther end. The net force is attractive in nature. So, the free sphere will be accelerated towards the fixed sphere.
Question 10.
State and prove Gauss’s Theorem.
Answer:
Statement It states that the total electric flux through a closed surface enclosing a charge is equal to \(\frac{1}{\varepsilon_{0}}\)times the magnitude of the charge enclosed in it.
i.e., Mathematically,


Proof : Let q be a point charge lying at the centre of a sphere of radius r. Let \(\overrightarrow{\mathrm{E}}\) be the electric field at any point P on the surface of the sphere. According to Coulomb’s law,
![]()
where \(\hat { n }\) = unit vector acting along \(\overrightarrow{\mathrm{E}}\) . Let \(\overrightarrow{\mathrm{ds}}\) be a small area element around the point P. As it is located on the surface of the sphere, so \(\overrightarrow{\mathrm{ds}}\) will be acting along \(\hat { r }\) .
θ = 0 if dΦ be the electric flux throug \(\overrightarrow{\mathrm{ds}}\),
Then by def. dΦ = \(\overrightarrow{\mathrm{E}}\) . \(\overrightarrow{\mathrm{ds}}\) = E ds cos 0 = E dS.
If Φ be the total electric flux through the closed surface S of the Sphere then

Question 11.
Deduce Coulomb’s law from Gauss’s Theorem.
Answer:
Let q be a point charge located at a point O in free space.
Let P be a point at a distance from O at which \(\overrightarrow{\mathrm{E}}\) is to be found.
Place a test charge ε0 at P. If \(\overrightarrow{\mathrm{F}}\) be the force experienced by q0 at P, then
\(\overrightarrow{\mathrm{F}}\)= q0 \(\overrightarrow{\mathrm{E}}\) = q0 E\( \hat { i }\) ……(1)
Where \( \hat { i }\) = unit vector acting along \(\overrightarrow{\mathrm{E}}\) . ,
Now to find \(\overrightarrow{\mathrm{E}}\) , draw a spherical Gaussian surface S of radius r with O as its centre s.t. the point P lies on its surface.

Also Let \(\overrightarrow{\mathrm{ds}}\) be the area element at P acting along \( \hat { i }\). Thus clearly
\(\overrightarrow{\mathrm{E}}\)| | \(\overrightarrow{\mathrm{ds}}\), ∴ θ = 0.
If dΦ be the electric flux through the \(\overrightarrow{\mathrm{ds}}\)
then by def. dΦ = \(\overrightarrow{\mathrm{E}}\) . \(\overrightarrow{\mathrm{ds}}\) =E dS. cos 0 = E dS
If Φ be the total electric flux through the whole Gaussian surface,
then

where \(\oint_{s} d S\) = 4nr2 is the surface area of the sphere of radius r.
Charge enclosed in the Gaussian surface = q
According to Gauss’s Theorem,
Φ = \(\frac{\mathrm{q}}{\varepsilon_{0}}\)

which is the required form of Coulomb’s law magnified of ~ff is given by
![]()
Question 12.
Derive the expression for E due to a uniformly charged spherical shell at a point:
(a) outside the shell.
(b) at the surface of the shell.
(c) inside the spherical shell.
Answer:
Let R be the radius of the spherical shell of centre O.
Let q = charge on the spherical shell. It will reside on its outer surface.
Let r be the distance of the point P from its centre at which \(\overrightarrow{\mathrm{E}}\) is to be calculated.
(a) When P lies outside the spherical shell – Draw a Gaussian surface S through point P. Let \(\overrightarrow{\mathrm{ds}}\) be the area element at point P and points along \(\overrightarrow{\mathrm{E}}\) .

Charge enclosed inside S = q.
If dΦ be the electric flux through \(\overrightarrow{\mathrm{ds}}\),
then dΦ = \(\overrightarrow{\mathrm{E}}\) . \(\overrightarrow{\mathrm{ds}}\) = E dS cos 0 = E dS
if Φ = Total electric flux through the Gaussian surface, then

Also according to Gauss’s Theorem,

∴ From (2) and (3), we get

(b) When P lies on the surface of the spherical shell.
Then r = R

(c) When point p lies inside the spherical shell – In this case the Gaussian surface will not enclose any charge inside it because the charge q lies outside the spherical shell and Gaussian surface lies inside the shell.
∴ q’ = charge enclosed in the Gaussian surface = 0.
according to Gaussian law
Φ = \(\frac{\mathrm{q}^{\prime}}{\varepsilon_{0}}\) = 0 .
Thus, E. 4πr2 = 0
or E = 0.

Question 13.
An electric dipole free to move is placed in a uniform electric field \(\overrightarrow{\mathrm{E}}\) .Explain with the help of a diagram its motion when it is placed.
(a) parallel to \(\overrightarrow{\mathrm{E}}\) .
(b) perpendicular to \(\overrightarrow{\mathrm{E}}\) .
Answer:
(a) When the dipole is placed parallel to the electric field \(\overrightarrow{\mathrm{E}}\) , then the angle 0 between \(\overrightarrow{\mathrm{E}}\) and \(\overrightarrow{\mathrm{P}}\) is zero. Forces acting on – q and + q charges constituting the dipole are – q \(\overrightarrow{\mathrm{E}}\) and + q \(\overrightarrow{\mathrm{E}}\) acting in opposite directions as shown in the figure. Also their magnitude are equal Thus net force on the dipole – q \(\overrightarrow{\mathrm{E}}\) + q \(\overrightarrow{\mathrm{E}}\) = 0. So the dipole will remain at rest in this position.

(b) When the dipole is placed perpendicular to the direction of electric field, then 0 = 90° between \(\overrightarrow{\mathrm{E}}\) and \(\overrightarrow{\mathrm{P}}\) .

Two equal and opposite forces acting parallel to each other
separated by a distance 2a act on the dipole and thus eonsitute a torque t given by
x = pE sin 90° = pE.
Thus maximum torque acts on the dipole which tends to align the dipole with the direction of E . Hence the dipole will rotate.
![]()
Question 14.
Mention two similarities and two dissimilarities between the electrostatic and gravitational forces.
Answer:
Similarities
(i) Both the electrostatic and gravitational forces are conservative in nature.
(ii) Both of them follow inverse square law i.e., these forces are inversely proportional to the square of the distance between the two charges or two masses.
Dissimilarities –
(i) Electrostatic forces between two point charges can be attractive or repulsive while the gravitational forces are only attractive in nature. ‘
(ii) Electrostatic forces depend on the medium in which the two charges are placed while gravitational force does not depend on the mediumbetween the two bodies.
Question 15.
Derive the expression for electric field due to a charged circular ring at a point on its axis.
Answer:
Let r be the radius of a charged circular ring having linear charge density.
If q be the total charge on it, then λ = \(\frac{\mathrm{q}}{2 \pi \mathrm{r}}\). Let x be the distance of the point P from O on x-axis at which \(\overrightarrow{\mathrm{E}}\) is to be calculated. Divide the ring into a large number of small elements and consider two such elements AB and CD of length dl having charge dq and situated at the ends of the diameter ef.

If \(\overrightarrow{\mathrm{dE}_{1}}\) and \(\overrightarrow{\mathrm{dE}_{2}}\) be the fields produced at Pby them respectively,
then

where dq = λ dl = charge on each element.
Their rectangular components are shown in the figure. Clearly sine components having equal magnitude and acting in opposite directions cancel each other, thus resultant field at P due to these two elements is
dE1 cos 0 + dE2 cos 0 = qdE1Cos θ (∴ |\(\overrightarrow{\mathrm{dE}_{2}}\)| = |\(\overrightarrow{\mathrm{dE}_{1}}\)|)
Thus If E be the total field at P due to whole ring, then

If x > > r, Then r2 may be neglected.

which means that the charged circular ring behaves as a point charge.
Question 16.
Does the value of torque always remains same during rotation of dipole in a uniform electric field? Explain.
Answer:
No, the value of torque acting on a dipole rotating in an electric field changes with its rotation. When the dipole is placed perpendicular
to the electric field \(\overrightarrow{\mathrm{E}}\) , then the value of torque is maximum. As it starts rotating, the angle 0 decreases and thus perpendicular distartfce BC = AB sin θ also decreases.
As τ = qE x BC = qE x AB sin θ
Thus T also decreases and finally when θ = 0, the torque becomes zero and dipole rests along the direction of \(\overrightarrow{\mathrm{E}}\)

Question 17.
What will happen to a dipole placed in a non-uniform electric field?
Answer:
When a dipole is placed in a non-uniform electric field \(\overrightarrow{\mathrm{E}}\), then one of the charges consituting the dipole will experience greater force than the other charge, thus net force on the dipole will not be zero. This net force acting on the dipole will provide translatory as well as rotatory motion to the electric dipole.
Question 18.
Tell the nature of the motion of a dipole place along the direction of non-uniform electric field.
Answer:
When the dipole is aligned with non-uniform electric field, then it will have only translatory motion.
![]()
Question 19.
Show that surface charge density and \(\overrightarrow{\mathrm{E}}\) are higher on sharp points.
Answer:
We know that when some charge is given to a conductor, then it spreads on its surface. The surface charge density o is given by
σ = \(\frac {q}{A}\) = charge per unit area.
For sharp points A is smaller, thus more charge accumulates in a small surface area, hence a will be higher.
Also we know that E = \(\frac{\sigma}{\varepsilon_{0}}=\frac{\mathrm{q}}{\varepsilon_{0} \mathrm{~A}}\) =
As electric field is directly proportional to the surface charge density . Thus E will also be larger for sharp points.
Question 20.
Express Coulomb’s law in vector form in terms of displacement vector.
Answer:
Let q1 and q2 be the two point charges lying at point A and B in free space at a distance r.

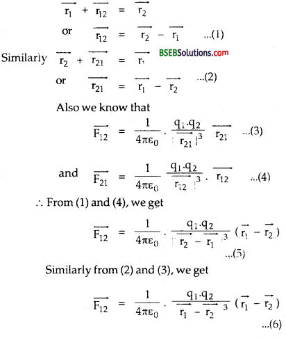
Let \(\overline{\mathrm{F}_{12}}\) be the force applied by q2on q1 and \(\overline{\mathrm{F}_{21}}\) is the force applied by q1 and q2.
Also let \(\overline{\mathrm{r}_{21}}\) = displacement vector from q2 to qt and \(\overline{\mathrm{F}_{12}}\) = displacement vector from q2 to q1
Also let \(\hat{\mathbf{r}}_{12}\) and \(\hat{\mathbf{r}}_{21}\) be the unit vectors acting along \(\overline{\mathrm{F}_{12}}\) and \(\overline{\mathrm{F}_{21}}\) respectively or along \(\overline{\mathrm{F}_{21}}\) and \(\overline{\mathrm{F}_{12}}\) respectively.
Also \(\left|\overrightarrow{\mathrm{r}_{12}}\right|=\left|\overrightarrow{\mathrm{r}_{21}}\right|=\mathrm{r}\)


equation (1) to (4) express Coulomb’s law in vector form in terms Of displacement vectors.
Question 21.
Express Coulomb’s law in vector form in term of position vectors of point charges.
Answer:
Let \(\overrightarrow{\mathbf{r}}_{1}\) and \(\overrightarrow{\mathbf{r}}_{2}\) be the position vectors of the point charges qj and q2 lying at points A and B respectively in free space.

Applying triangle law of vector addition on A OAB, we get

eqns. (5) and (6) express Coulomb’s law in vector form in terms of position vectors.
Question 22.
Derive the expression for electric field at a point on the axial line of an electric dipole. Also find its expression for short dipole.
Answer:
Let p = 2aq …(1) be the electric dipole moment of an electric dipole having dipole length 2a. Let r = distance of the point P on axial line AX the centre of the dipole at which \(\overrightarrow{\mathrm{E}}\) is to be calculated. If \(\overrightarrow{E_{A}}\) and \(\overrightarrow{E_{B}}\) be the electric fields at P due to – q and + q charges at A and B respectively.


Now clearly \(\overrightarrow{E_{B}}\) > \(\overrightarrow{E_{A}}\) , thus il \(\overrightarrow{\mathrm{E}}\) be the net electric field at P due to the dipole, then \(\overrightarrow{\mathrm{E}}\) = \(\overrightarrow{E_{A}}\) + \(\overrightarrow{E_{B}}\) and will’ act along PX.


For short dipole, r> a, :. r2» a2, so a2 may be neglected.

a long PX.
Question 23.
Find E at a point on the equitorial line of an electric dipole. Also derive its empression for a short dipole.
Answer:
Let r be the distance of the point P on the equitOrialJine OY from the centre O of the dipole at which \(\overrightarrow{\mathrm{E}}\) is to be calculated.
p = 2aq …….(1)

is the dipole moment of the electric dipole. If \(\overrightarrow{\mathrm{E}_{\mathrm{A}}}\) and \(\overrightarrow{\mathrm{E}_{\mathrm{B}}}\) be the electric fields at P due to – q and + q charges respectively,

Let ZPBA = ZPAB = ZCPL = ZCPM = θ
Let us resolve \(\overrightarrow{\mathrm{E}_{\mathrm{A}}}\) and \(\overrightarrow{\mathrm{E}_{\mathrm{B}}}\) along PC, PO and PC, PY respectively. Now it is clear from the figure that the sine components cancel
each other. Thus if \(\overrightarrow{\mathrm{E}}\) be the resultant electrie field at point to the dipole, then .
\(\overrightarrow{\mathrm{E}}\) = \(\overrightarrow{\mathrm{E}_{\mathrm{A}}}\) + \(\overrightarrow{\mathrm{E}_{\mathrm{B}}}\)
= (EA cos θ + EB COS θ) along PC
or \(\overrightarrow{\mathrm{E}}\) = (EA cos 0 +EA cos 0) along \(\widehat{\mathrm{PC}}\)
= 2EA COS θ along PC …(3)
Now in rt. Zd A AOP,
![]()
∴ From (1) and (3) and (4), we get
![]()

Clearly \(\overrightarrow{\mathrm{E}}\) acts opposite to \(\overrightarrow{\mathrm{p}}\) for short dipole, a2 << r2, so a2 may be neglected.
![]()
![]()
Question 24.
State Coulomb’s law of force between two charges at rgst. What is the force of repulsion between t^vo charges of 1C each, kgpt 1 m apart in vaccum ?
Answer:
Statement –
It states thaf the magnitude of electrostatic force of attraction or repulsion between two static point charges is always directly proportional to the product of their magnitudes and inversely proportional to the square of the distance between them i.e., Mathematically.

when q1 & q2= magnitude of two point charges, r = distance between them, F = magnitude of electrostatic force set q1 and q2 . k = proportionality constant known as electrostatic force constant or simply force constant Its value depends upon:
(i) Nature of the medium in which the two charges are place.
(ii) the system of units used to measure F1,, q1 and q2
In S.I. system and for free space or vaccum.
k = \( \frac{1}{4 \pi \varepsilon_{0}}\) = 9 x 109 Nm2 C-2 where sn is absolute permitivity of free space having value equal to 8.854 x 10-12 Nm2 C-2m-2
For any other medium, in S.I. system.
![]()
when k = dielectric constant of the medium.
∴ F = \(\frac{1}{4 \pi \varepsilon_{0}} \cdot \frac{q_{1} q_{2}}{r^{2}}\) for SI = system
and F = \(\frac{1}{4 \pi \varepsilon_{0}} \cdot \frac{q_{1} q_{2}}{r^{2}}\) SI = system & qny medium other than air.
Force : Here q1 = q2 = 1 C, r = 1 m F = ? ‘
.’. From the relation

Question 25.
Under what condition a charged circular loop behaves as a point charge?
Answer:
A charged circular loop behaves as a point charge when the point of observation on its axis lies at a distance much greater than the radius of the loop.
![]()
Question 26.
Draw the graph for electric field due to a charged spherical shell.
Answer:
It is given below :

Question 27.
Draw the graph for electric field due to a charged solid sphere.
Answer:
lt is shown below:

Question 28.
Draw electric lines of force due to
(a) an isolated + ve charge.
(b) an isolated – ve charge.
Answer:
The electric lines of force due to an isolated + ve and a negative – charge are shown in figure (a) and (b) given below.

It is clear from figure (a) that they are directed radially outwards while the lines of force due to – ve charge are directed radially inwards.
Question 29.
A free proton and a free electron are placed in a uniform field. Which of the two will experience greater force and greater acceleration and why?
Answer:
We know that the force experienced by a charged particle in an electric field is given by
\(\overrightarrow{\mathrm{F}}\) = q \(\overrightarrow{\mathrm{E}}\) or F = qE.
Now as q = 1.6 x 1019 C both on an electron and a proton, thus both will experience same force as they are moving in the same uniform
electric field. The acceleration of a charged particle in an electric field is given by
a = \(\frac {F}{m}\) = \(\frac {qE}{m}\)
Now as mass of electron is lesser than the mass of proton and a α \(\frac {1}{m}\) thus electron will experience greater acceleration,
![]()
Question 30.
Two point charges of unknown magnitude and sign are at ‘ a distance r apart. The electric field is zero at a point not between the charges but on the line joining them. What can you conclude about the charges?
Answer:
The electric field may be zero at a point not between the charges but on the line joining the two charges if the two charges are of opposite sign. The zero position will be near to the smaller charge (- ve charge) as compared to bigger charge (+ ve). .
Question 31.
State the super-position principle for electrostatic force on a charge due to a number of charges.
Answer:
It States that when a number of charges are interacting, then the total force on a given charge is the vector sum of the individual forces applied on the given charge by all the other charges, i.e., mathematically, the total force \(\overrightarrow{\mathrm{F}}_{\mathrm{i}}\) on a charge q1( due to n other charges is given by ,
\(\overrightarrow{\mathrm{F}}_{\mathrm{i}}\) = \(\overrightarrow{\mathrm{F}}_{\mathrm{1}}\) + \(\overrightarrow{\mathrm{F}}_{\mathrm{2}}\) + \(\overrightarrow{\mathrm{F}}_{\mathrm{3}}\) + ………….+ \(\overrightarrow{\mathrm{F}}_{\mathrm{in}}\)
= \(\sum_{i=1}^{n} \overrightarrow{F_{i j}}\)
If q1 is also one of then-charges, Then
\(\overrightarrow{\mathrm{F}}_{\mathrm{i}}\) = \(\sum_{i=1}^{n} \overrightarrow{F_{i j}}\)
Question 32.
where \(\overrightarrow{\mathrm{p}}\) is the dipole moment of the dipole. What is the net force experienced by the dipole?
Answer:
Consider an electric dipole consisting of charges – q and + q.
Let \(\overrightarrow{\mathrm{p}}\) = 2 \(\overrightarrow{\mathrm{a}}\) q be its displacement having dipole length 2 \(\overrightarrow{\mathrm{a}}\).

Let θ = angle made by \(\overrightarrow{\mathrm{p}}\) with a uniform electric field \(\overrightarrow{\mathrm{E}}\) which it is placed.
∴ Force on – q charge at A = – q \(\overrightarrow{\mathrm{E}}\)
Force on + q charge at B = +q \(\overrightarrow{\mathrm{E}}\)
which acts opposite to and along \(\overrightarrow{\mathrm{E}}\) respectively. Thus the electric dipole is under the action of two equal and opposite parallel forces which give rise to a torque \(\overrightarrow{\mathrm{τ}}\) on the dipole
The magnitude of \(\overrightarrow{\mathrm{τ}}\) is given by
τ = magnitude of either force x perpendicular distance between the two forces. = qE x BC ……..(1).
where BC = 1 drawn from B on the backward extended line of action of – q \(\overrightarrow{\mathrm{E}}\)
Now in rt.∠d ∆ ACB, ∠CAB = θ.
∴ sin θ = \(\frac {BC}{AB}\)
or BC = AB sin θ = 2a sin θ ……….(2)
From (1) and (2), we get
τ = qE x 2a sin θ
= 2aq E sin θ
= pE sin θ (v p = 2aq)
or |τ| = |\(\overrightarrow{\mathrm{p}}\) x \(\overrightarrow{\mathrm{E}}\) |….(3)
or in vector from \(\overrightarrow{\mathrm{τ}}\) = \(\overrightarrow{\mathrm{p}}\) x \(\overrightarrow{\mathrm{p}}\) equation (3) gives the magnitude of τ.
The net force experienced by the dipole If \(\overrightarrow{\mathrm{F}}\) be the net force experienced by the electric dipole, then \(\overrightarrow{\mathrm{F}}\) is vector sum of the forces experienced by the – q & + q charges constituting the dipole i.e.,
\(\overrightarrow{\mathrm{F}}\) = -q \(\overrightarrow{\mathrm{E}}\) + q \(\overrightarrow{\mathrm{E}}\) = 0
Thus, the net force on the electric dipole is zero because the forces .on the two charges of the dipole are equal and opposite.
Long Answer Type Questions
Question 1.
Derive the expression for electric field at a point due to a charged solid sphere.
Answer:
Let R be the radius of an isolated sphere having centre O.
q = charge given to it.
if p be the volume charge density of the sphere,
then

Let r be the distance of the point P from its centre al which electric field Ë is to be calculated.
(a) When point P lies outside the sphere: Draw a Grussian surface
if radius r s.t. point P lies on it. Also \(\overrightarrow{\mathrm{ds}}\). be the area element lying at point P. 1f \(\overrightarrow{\mathrm{E}}\) be the electric field at P, then
![]()
and acts along \( \hat {n}\) or \(\overrightarrow{\mathrm{ds}}\)
Let dΦ = electrìc flux through \(\overrightarrow{\mathrm{ds}}\) Then
dΦ =\(\overrightarrow{\mathrm{E}}\). \(\overrightarrow{\mathrm{ds}}\)= EdS cos θ = EdS

then
If Φ be the total electric flux through the whole Gaussian surface S, then

Now charge enclosed inside the Gaussian surface = q
∴ according to Gauss’s theorem,

(b) When P lies on its surface,
Then

(c) When point P lies inside the sphere:
Let q’ = charge enclosed inside the Gaussian surface drawn through point P lying inside the sphere.

According to Gauss’s law

Φ through Gaussian surface as cakulawd in case (a) is given by
Φ = E 4πr2
According to Gauss’s law

Question 2.
Derive the expression for electric field at any point due to an electric dipole.
Answer:
Let p = 2a q …..(1)
be the dipole moment of an electric dipole having dipole length 2a.
r = distance of any point P from its centre where \(\overrightarrow{\mathrm{E}}\) is to be calculated.

Let ∠POB = θ
\(\overrightarrow{\mathrm{p}}\) can be resolved into its two rectangular components : p cos θ along OP and p sin 9 normal to OP.
The electric dipole AB can now be considered to be equivalent to the combination of two electric dipoles i.e. A1B1 and A2B2 having dipole moments p cos θ and p sin θ respectively.
Now P lies on axialdine of A1B1 and equitorial line of A2B2.
If E1 and E2 be their respective electric fields at P,

If \(\overrightarrow{\mathrm{E}}\) = resultant electric field at P,
\(\overrightarrow{\mathrm{E}}\) = \(\overrightarrow{\mathrm{E}_{1}}+\overrightarrow{\mathrm{E}_{2}}\)
Magnitude of

Direction of E :
Let α = angle madefy E with Et i.e. by PC with PL

Thus E can be calculated using equations (4) and (5).
![]()
Numerical Problems
Question 1.
A metal surface has a + ve charge of 10-9 C. How many electrons would have been removed from the metal surface?
Answer:
Here, q = 10-9C,e = 1.6 x 10-19C
n = no. of electrons removed = ?
Using the relation, q = ne, we get
n = \(\frac {q}{e}\) = \(\frac{10^{-9}}{1.6 \times 10^{-19}}\) = 6.25 x 10-19
Question 2.
Two extremely small charged copper spheres have their centres separated by a distance of 50 cm in vaccum. (a) What is the mutual force of repulsion if the charge on each is 6.5 x 10-7 C?
(b) What will be the force of repulsion if
(i) the charge on each sphere is doubled and their separation is halved?
(ii) the two spheres are placed in water? (Kwater= 80).
Answer:
(a) Here, q, = q2 = 6.5 x 10-7 C
r = 50 cm = 0.5 m, F = ?
From Coulomb’s law,
`
(b) (i) Let q1and qwater be the new charges.
Here q1 = q2 = 2 x 6.5 x 10-7 C = 13.0 x 10-7 C.
Let r1 – new distance between them = \(\frac {r}{2}\) = \(\frac {-0.50}{2}\) = – 0.25 m.
F’ = new force between them = ?
Using the relation,

(b) (ii) Here K for waters 80
Fw = ? Fair from case (a) = 1,521 x 10-2 N
We know that

Question 3.
A certain charge Q is divided into two parts q and (Q – q). How the charges Q and q be related so that when q and (Q – q) placed at a certain distance apart experiences maximum electrostatic repulsion?
Answer:
Let q and (Q – q) be separated by a distance r.
If F be the electrostatic force of repulsion between thein, then according to Coulomb’s law, we get
![]()
For F to be maximum, \(\frac{\partial \mathrm{F}}{\partial \mathrm{q}}=0\) =0

i.e., The charges must be equally divided.
![]()
Question 4.
The arrangement shown in figure here is carried to space. Find the tension T when each small ball carries charge q.
Answer:
Here, charge on each small ball, q1 = q2 = q .
distance between two balls = l + l = 2l.
T = tension in the string = ?
For equilibrium, T = Coulomb’s force between q1 and q2.

Question 5.
Three charges + 2 (iC, + 3 pC and + 4 pC are placed at the comers of the equilateral triangle ABC each of side 0.2 m. Find the force on + 4 pC due to other two charges.
Answer:
Here
qA = 2μC = 2 x 10-6 C.
qB = 3μC = 3 x 10-6 C.
qC = 4μC = 4 x 10-6 C.
AB = BC = CA = 0.2 m.
Let FA and FB be the electrostatic forces applied by qA and qB respectively on + 4μC along the directions shown in figure.


Now angle between FA and FB = 60°
If \(\vec{F}\) be’the resulted force on + 4 μC, then using || gm law of vector addition.

Direction of F –
Let B = angle made by F with \(\overrightarrow{\mathrm{F}_{\mathrm{A}}}\)
∴ tan β = \(\frac{\mathrm{F}_{\mathrm{B}}}{\mathrm{F}_{\mathrm{A}}}=\frac{2.7}{1.8}\) = 1.5 = tan 56.31°
β = 56.31°.
Question 6.
Foul charges + q, + q, – q and – q are placed respectively at the four comers of a square of side a. Find the magnitude and direction
of \(\overrightarrow{\mathrm{E}}\) at the centre of the square.
Answer:
Here qA = qA = q Coulomb
qC = qD = -q Coulomb
AC = BD= \(\sqrt{a^{2}+a^{2}}\) = a\(\sqrt{2}\)
AO = BO = CO = DO = \(\frac{\mathrm{a} \sqrt{2}}{2}\) = \(\frac{a}{\sqrt{2}}\)

If EA and EB be the electric fields at O due to charges at A and B respectively then

Also but EC and ED be the electric fields at O due to charges at C and D respectively.

Now let \(\overrightarrow{\mathrm{E}}\) and \(\overrightarrow{\mathrm{E}_{2}}\) be the total electric fields along OC and OD respectively.

Let \(\overrightarrow{\mathrm{E}}\) be the resultant electric field at O, then its magnitude is given by:

Direction of \(\overrightarrow{\mathrm{E}}\) Let O be the angle made by E with E1.

i.e., \(\overrightarrow{\mathrm{E}}\) acts paraflel to BC or AD.
Question 7.
A pendulum bob of mass 80 mg and carrying charge of 2 x 10-8C is at rest in a horizontal uniform electric field of 20,000 Vm-1 Find the tension in thread of the pendulum and the angle it makes with the vertical.
Answer:

Here, Electric field, E = 20,000 Vm-1
m = mass of bob = 80 x 10-5 kg
q = charge on the pendulum bob = 2 x 10-8C
T = tension in the string = ?
Let θ = angle made by the string with the vertical = ?
Let us resolve T into its rectangular components :
Under equilibrium condition,
T cos θ = mg ……….(1)
T sin θ = qE ………….(2)


Question 8.
A pendulum consisting of an insulating bob of mass m and charge q is hung as shown in figure. What is the time period of the pendulum if uniform electric field E is set up between the plates.
Answer:
Total force acting on the bob is = mg + q \(\overrightarrow{\mathrm{E}}\)

If g’ be the effective acceleration, then

If T be the time period of the bob, then

Question 9.
Two charges of ÷25 x 10-9C and -25 x 10-9 C are placed 6 m ápart. Find the electric field at a point 4 m from the centre of the dipole on (i) axial line, (ii) equitorial line. .
Answer:
Here q = 25 x 10-9 C
29 = 6m,
∴ a = 3m
r = 4m,
∴p = 2a q = 6 x 25 x 10-9
= 150 x 10-9cm

Question 10.
Calculate the electric flux through a Gaussian surface if q1 = + 3.0 nC, q2 = – 6.0 nC and q3 = – 3.0 nC are the charges enclosed inside it.
Answer:
Here q1= + 3.0 nC = 3.0 x 10-9 C
q2 = – 6.0 nC = – 6.0 x 10-9 C
q3= -3.0nC = -3.0 x 10-9C.
If q be the total charge enclosed in the Gaussian surface, then
q = q1 + q2 + q3 = (3-6-3) x 10-9C
= – 6.0 x 10-9 C.
electric flux = d = ?
According to Gauss’s Theorem,

Here – ve sign shows that the net flux is in inward direction.
Question 11.
Calculate the total mass of the electrons having total charge of 1C.
Answer:
Here ‘ q = 1C
e = – 1.6 x 10-19 C
m = mass of an electron = 9.1 x 10-31 kg
Let n = no. of e-5 in 1 C.
M = total mass of electrons = ?
![]()
Using the relation, q = ne, we get

Question 12.
A charge of 4 x 10-9 C is uniformly distributed over the surface of a ring shaped conductor of radius 0.3 m. Calculate the electric field at a point on the axis of the ring at a distance of 0.4 m from the plane of the conductor and specify its direction. What is the value of
\(\overrightarrow{\mathrm{E}}\) at the centre of the ring?
Answer:
Here q = 4 x 10-9C.
r = 0.3
m, x = 0.4 m
E = ?
Using the relation,


E at the centre of ring = ?
x = 0 at the centre
∴ From the given relation,E = 0.
Question 13.
A molecule of a substance has permanent electric dipole moment equal to 10-29cm. A mole of this substance is polarized (at low temperature) by applying a strong electrostatic field of magnitude of 10-6 Vm-1. The direction of electric field is suddenly changed by an angle of 60°. Estimate the heat released by the substance in aligning its dipoles along the new direction of the field. For simplicity assume 100% polarizing thesample.
Answer:
Here, p = dipole moment per molecule = 10-29 Cm.
N = no. of molecules per mole = 6.023 x 10-23
E = Applied electric field = 106 Vm-1
Deflection produced,
θ = 60°
heat released – ?
Work done per molecular dipole = pE(1- cos θ)
If W be the total work done in deflecting N molecular dipoles, then
W = NpE (1 – cos θ)
= 6.023 x 10-23 x 10-29 x 106 (1 – cos 60°)
= 6.023 x \(\left(1-\frac{1}{2}\right)\)
= 6.023 x (1-0.5)
= 6.023 x 0.5=3.0115J
= 3.012J.
This represents loss of P.E. of the system, which appears as heat released from the system.
Heat released = 3J.
Question 14.
Each of two small spheres is charged + vely, the combined charge being 5.0 x 10-5e. If each sphere is repelled from the other by a force of 1.0 N, when the spheres are 2.0 m apart, how is the total charge distributed between the spheres?
Answer:
Let q1 and q2 be the charges on each spheres,,
q1 + q2 = 5.0 x 10-5 C.
r = distance between q1 and q2 = 2.0 m
F = electrostatic force between q1 and q2 = 1 N.
Using Coulomb’s law

Question 15.
Two particles each having a mass of 5 g and charge 10-7 C stay in limiting equilibrium on a horizontal table with a separation of 10 cm between them. The coefficient of f^tion between each particle and the table is same. Find the value of this coefficient.
Answer:
Here, q1= q2 = 10-7C, r = 10 cm = 0.10 m.
m = 5 g x 5 x 10-3 kg, Coefficient of friction = μ = ?
For limiting equilibrium
electrostatic force = limiting friction or
F = μR = μmg

Question 16.
Two pieces of copper, each weighing 0.01 kg are placed at a distance of 0.1 m from each other. One electron from per 1000 atoms of one piece is transferred to other piece of copper. What will be the . Coulomb force between two pieces after the transfer of electrons? Atomic weight of copper is 63.5 g mol-1. Avogadro’s no. = 6 x 1023 /g mol.
Answer:
Here, r = distance between two pieces = 0.12 m
At. wt. = 63.5 g mol-1
N = 6 x 10-23/g mol
m = mass of each piece = 0.01 kg = 10 g.
Let n’ = no. of atoms in each piece of Cu
= \(\frac{\mathbf{N}}{\text { At. } \mathbf{w t}}\) = \(\frac{6 \times 10^{23}}{63.5} \times 10\)
= 9.45 x 1022
lf no. of electrons trañsferred from one piece to other, then
n = \(\frac{1}{1000} \times \mathrm{n}^{\prime}=\frac{1}{1000}\) x 9.45 x 1022
9.45 x 1019
e = charge on an electron = 1.6 x 10-19
If q1 and q2be the charge on each sphere, then
q1 = q2 = ± ne
= ± 9.45 x 1019 x 1.6 x 10-19 = ± 15.12 C.
F = electrostatic force = ?

Question 17.
If dielectric strength of air (minimum field required for ’ ionisation of a medium) is 3 MV/m, can a metal sphere of radius 1 cm hold a charge of 1C ?
Answer:
Here, q = 1 C
r = 1cm = 0.01m
E = electric field at the surface of sphere =?
Using the reLation,

Dielectric strength of air = 3 MV/m (Given)
= 3 x 106 Vm-1.
Now the field at the surface of the sphere is much greater than the I dielectric strength of air. So air around the sphere will get ionised and the entire charge from the sphere will leak out into air. Hence this sphere cannot hold 1C of charge in air.
![]()
Question 18.
Calculate the magnitude of the force, due to an electric dipole moment 3.6 x 10-29 cm on an electron 25 nm from the centre of the dipole, along the dipole axis. Assume that this distance is large relative to the dipole’s charge separation.
Answer:
Here, p = electric dipole moment
= 3.6 x 10-29 Cm.
r = distance from the centre of dipole of the point = 25 nm,
= 25 x 10-9 m.
q = e = 1.6 x 10-19 C
F = Force on an electron = ?
We know that the electric field at a point on the axial line of an electric dipole is given by .

Question 19.
Two charges of – 4 μC and + 4 μC are placed at the points A (1, 0,4) and B (2, -1,5) located in an electric field \(\overrightarrow{\mathbf{E}}\) = 0.20 \( \hat { i }\) V cm-1. Calculate the torque acting on the dipole.
Answer:
Here, q1 = -4 pC = -4 x 10-6C, q2= 4 pC = 4 x 10-6C.
A (1,0,4), B (2, -1,5).
∴ Position vector of point A = 1\( \hat { i }\) + 0\( \hat { j }\) + 4 \( \hat { k }\)
and position vector of point B = 2 \( \hat { i }\) – \( \hat { j }\) + 5 \( \hat { k }\)
dipole length = 2\(\overrightarrow{\mathbf{a}}\) = \(\overrightarrow{\mathbf{AB}}\)
= (2-1) \( \hat { i }\) +(-1-0) \( \hat { i }\) + (5-4) \( \hat {k}\)
= \( \hat { i }\) – \( \hat {j}\) + \( \hat {k}\)
\(\overrightarrow{\mathrm{E}}\) = electric field = 0.20 \( \hat { i }\) V cm-1
= 0.20 x 102 \( \hat { i }\) V m-1= 20 \( \hat { i }\) V m-1
τ = Torque on the dipole = ?
We know that

The magnitude of T is given by

and it gets along X-axis.
Question 20.
If the electric field is given by \(\overrightarrow{\mathrm{E}}\) = (6\( \hat { i }\) + 3\( \hat { j }\) + 4\( \hat {k}\)), Calculate the electric flux through a surface of area 20 units lying in y-z plane.
Answer:
Here
\(\overrightarrow{\mathrm{E}}\) = 6\( \hat { i }\) + 3\( \hat { j }\) + 4\( \hat {k}\)
\(\overrightarrow{\mathrm{dS}}\)= 20 units in YZ plae
= 20\( \hat { i }\)
(∴ dS acts along normal to yz plane)
dΦ = electric flux through the surface area = ?
We know that
dΦ = \(\overrightarrow{\mathrm{E}}\) . \(\overrightarrow{\mathrm{dS}}\)
= (6\( \hat { i }\) + 3\( \hat { j }\) + 4\( \hat {k}\)) – 20\( \hat { i }\)
= 6 x 20\( \hat { i }\) . \( \hat { i }\) + 60 \( \hat { j }\) . \( \hat { i }\) + 80\( \hat { k}\)\( \hat { i }\)
= 120 x 1 + 60 x 0 + 80 x 0
= 120 unit.
![]()
Question 21.
Three charges + q, + q and – 2 q are placed at the vertices of an equilateral triangle. What is the dipole moment of the system?
Answer:
Let ‘2a’ be the side of an equilateral A ABC.
∴ AB = BC = CA = 2a.
Let + q, + q, – 2 q be placed at the vertices A, B and C respectively. Thus there are two dipoles consituted by – q and + q charges at C and A and – q and + q on C and B. If P be the dipole moment of each dipole.

Then, p = 2aq acting along CA and CB respectively at ∠BCA = 60°.
Let \(\overrightarrow{\mathrm{p}_{1}}\) be the resultant dipole moment of the system, then using parallelogram law of vector addition, we get magnitude of \(\overrightarrow{\mathrm{p}_{i}}\) as :

Direction of \(\overrightarrow{\mathrm{p}_{1}}\)

Let a angle made by \(\overrightarrow{\mathrm{p}_{1}}\) with UB.

Question 1.22.
A conductive wire in the form of a circular ring of radius I m carries a charge of Q = 10-5 C. A charge q =2 x 10-6 C is placed at a point P at a distance x on the line perpendicular to the plane of the circular wire and passing through its centre. Find the electric field at F’ and the force on charge q at P. Show that the charge q will perform a
simple harmonic motion with time period T = 2p \(\sqrt{\frac{\mathrm{mQq}}{4 \pi \varepsilon_{0} \mathrm{r}^{3}}}\)
Answer:
Here, Q = charge on the circular ring = 10-5 C.
r = radius of the circular ring =1 m.
x = distance of the point P from the centre of ring.

Let m = mass of the particle placed at P
q = charge on the particle placed at P = 2 x 10-6 C.
If E be the electric field at P, Then
![]()
Also let Fbe the force on the charge q at P,

If x <C’ r,then equations (1) and (2) reduce to

Let a = acceleration produced in the particle of mass m, Then
![]()
Now clearly the acceleration produced in the particle is directly proportional to the displacement and is directed towards the centre of the ring. Thus the motion of the charged particle is simple harmonic along the axis of the ring having time period T given by

Question 1.23.
Two spheres of radii 10 cm and 20 cm contain charges of 10 pC and 20 pC respectively. They are separated by a distance of 100
cm. Where will the \(\)\overrightarrow{\mathbf{E}}latex] be zero? .
Answer:
As the surface of a charged conducting sphere is an equipotential surface, hence the electric lines of forces will be perpendicular to the surface at every point i.e., they will appear to originate from the centre of sphere i.e. charge on the sphere can be replaced by a point charge placed at the centre of the sphere.

Here q1 = 10 μC = 10 x 10-6 C, q2 = 20 pC = 20 x 106 C, r = 100 cm
= lm.
Hence here, we have to now find the position of a point on the line joining the point charges q, and q2 where the electric field is zero.
Let x = distance of the required point C from qr 1 – x = distance of the required point C from q1.
If E1 and E2 be the electric fields at C due to q1 at A and q2 at B respectively, Then using the formula,

For the total electric field E to be zero at C,

or x = 0.414 m or x = – 2.414 m. Here x = – 2.414 m is not a valid solution as both the fields will be in the same direction.
Thus \(\)\overrightarrow{\mathbf{E}}latex] will be zero at point at a distance of 0.414 m towards right of the sphere of size 10 cm having charge 10 μC.
![]()
Fill In The Blanks
Question 1.
The force between two point charges ………… when dielectric constant of the medium in which they are held increases.
Answer:
decreases.
Question 2.
When a dielectric medium is placed in a uniform electric field, the dielectric constant of the medium is the ratio of the of the medium to the ………… of free space.
Answer:
absolute permittivity, absolute permittivity.
Question 3.
Two identical charges are placed at a distance 2a apart as shown in figure. The potential energy of the positively charged particle placed at the mid point O will be ………..

Answer:
Minimum.
Question 4.
The number of electric lines of force that radiate outward from 1 C charge is ………..
Answer:
1.13 x 1011
[ Hint: lines of force = electric flux

Question 5.
………….. is a central force in nature.
Answer:
Electrostatic force.