Bihar Board Class 12 Physics Solutions Chapter 2 Electrostatic Potential and Capacitance

Bihar Board Class 12 Physics Solutions Chapter 2 Electrostatic Potential and Capacitance Textbook Questions and Answers, Additional Important Questions, Notes.

BSEB Bihar Board Class 12 Physics Solutions Chapter 2 Electrostatic Potential and Capacitance

Bihar Board Class 12 Physics Electrostatic Potential and Capacitance Textbook Questions and Answers

Question 1.
Two charges 5 x 10-8 C and – 3 x 10-8 C are located 16 cm apart. At what point(s) on the line joining the two charges is the electric potential zero? Take the potential at infinity to be zero.
Answer:
Here, q1 = 5 x 10-8 C, q2 = – 3 x 10-8 C.
Bihar Board Class 12 Physics Solutions Chapter 2 Electrostatic Potential and Capacitance - 1
r = distance between q1 and q2 = 16 cm = 0.16 m.
Let q1 and q2 lie at points A and B.
Let P be the required point i.e, the point on the line AB at a distance x m from qj at which the electric potential is zero. If V1 and V2 be the potential at P due to q1 and q2 respectively, then using the formula,
Bihar Board Class 12 Physics Solutions Chapter 2 Electrostatic Potential and Capacitance - 2
If V be the total potential at P, then
Bihar Board Class 12 Physics Solutions Chapter 2 Electrostatic Potential and Capacitance - 3
If x lies on the extended line AB, then required condition is
Bihar Board Class 12 Physics Solutions Chapter 2 Electrostatic Potential and Capacitance - 4
on the side of -ve charge from 5 x 10-8 C.

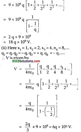
Question .2.
A regular hexagon of side 10 cm has a charge 5 μC at at each of its vertices. Calculate the potential at the centre of the hexagon.
Answer:
Let ABCDEF be a regular hexagon of side 10 cm. O is the centre of the hexagon.
Here, q = charge on each vertex of the hexagon = 5 μC = 5 x 10-6 C.
Sides = AB = BC = CD = DE = EF = FA = 0.10 m
Bihar Board Class 12 Physics Solutions Chapter 2 Electrostatic Potential and Capacitance - 5
As is clear from the figure, ail the six triangles are equilateral triangles.
r = OA = OB = OC = OD = OE = OF = AB=0.10m
V = Potential at O = ?
Using the relation,
Bihar Board Class 12 Physics Solutions Chapter 2 Electrostatic Potential and Capacitance - 6

Question 3.
Two charges 2 μC and -2μC are placed at points A and B 6 cm apart.
(a) Identify an equi-potential surface of the system.
(b) What is the direction of the electric field at every point on this surface?
Answer:
(a) Here, two charges 2μC and – 2μC are situated at point A and B.
∴ AB = 6 cm = 0.06 m.
For the given system of two charges, the equipotential surface is a plane normal to the line joining points A and B. The plane passes through the mid point C of the line AB. The potential at C is
Bihar Board Class 12 Physics Solutions Chapter 2 Electrostatic Potential and Capacitance - 7
Thus potential at all points lying on this plane is equal and is zero, so it is an equipotential surface.

(b) We know that the electric field always acts from + ve to – ve charge, thus here the electric field acts from point A (having + ve charge) to point B (having – ve charge) and is normal to the equipotential surface.
Bihar Board Class 12 Physics Solutions Chapter 2 Electrostatic Potential and Capacitance - 8

Question 4.
A spherical conductor of radius 12 cm has a charge of 1.6 x 10-7 C distributed uniformly on its surface. What is the electric field
(a) inside the sphere,
(b) just outside the sphere,
(c) at a point 18 cm from the centre of the sphere?
Answer:
Here q = charge on the conductor = 1.6 x 10-7C.
r = radius of the spherical conductor = 12 cm = 0.12 m.
(a) We know that the charge given to a spherical conductor resides on its outer surface.
∴ electric field inside the here spherical conductor is zero.
Bihar Board Class 12 Physics Solutions Chapter 2 Electrostatic Potential and Capacitance - 9
(b) For a point just outside the sphere i.e., for a point lying on the surface of the sphere, the charge may be supposed to be concentrated bn the centre of the sphere.
Thus using the relation,
Bihar Board Class 12 Physics Solutions Chapter 2 Electrostatic Potential and Capacitance - 10

(c) Here, x = distance of the point from the centre of the sphere = 18 cm = 0. 18 m.
∴ E is given by
Bihar Board Class 12 Physics Solutions Chapter 2 Electrostatic Potential and Capacitance - 11

Question 5.
A parallel plate capacitor with air between the plates has a capacitance of 8 pF (lpiF = 10-12F). What will be the capacitance if the distance between the plates is reduced by half, and the space between them is filled with a substance of dielectric constant 6 ?
Answer:
Here, C0 = capacitance of the parallel plate capacitor with air between the plates = 8pF = 8 x 10-12 F
Let A = Area of its each plate
d = distance between the plates.
Thus,
\(C_{0}=\frac{\varepsilon_{0} \cdot A}{d}\) ………….(i)
Let d’ = distance between the plates with a dielectric substance between them = \(\frac {d}{2}\)
ε = ε0 K
A = same
C = capacitance of the parallel plate capacitor in presence of the dielectric substance = ?
K = 6
thus,
Bihar Board Class 12 Physics Solutions Chapter 2 Electrostatic Potential and Capacitance - 12

Question 6.
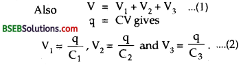
Three capacitors each of capacitance 9 pF are connected in series.
(a) What is the total capacitance of the combination?
(b) What is the potential difference across each capacitor if the combination is connected to a 120 V supply?
Answer:
Here, C1= C2 = C3 = 9 pF = 9 x 10-12 F = capacitance of each of three capacitors.
V = Voltage applied = 120 V.
(a) Cs = capacitance of series combination = ?
Bihar Board Class 12 Physics Solutions Chapter 2 Electrostatic Potential and Capacitance - 14
We know that the total capacitance of the series combination is given by
Bihar Board Class 12 Physics Solutions Chapter 2 Electrostatic Potential and Capacitance - 15
(b) Let V1, V2, V3 be the potential difference across each capacitor = ?
∴ Sum of V1, V2, V1 must be equal tc 20 V.
i.e. V1 +V2 + V3 = 120 ………….(1)
Let q = charge on each capacitor.
Also we know that
Bihar Board Class 12 Physics Solutions Chapter 2 Electrostatic Potential and Capacitance - 16
Bihar Board Class 12 Physics Solutions Chapter 2 Electrostatic Potential and Capacitance - 17
Now as capacitance of each tapacitor is same, so P-D. across each capacitor must be san^e i.e.,
Bihar Board Class 12 Physics Solutions Chapter 2 Electrostatic Potential and Capacitance - 18

Question 7.
Three capacitors of capacitances 2 p$, 3 pF and 4 pF are connected in parallel.
(a) What is the total capacitance of the combination?
(b) Determine the charge on each capacitor if the combination is connected to a 100 V supply.
Answer:
Here, C1 = 2pF = 2 x 10-12 F, C2 = 3pF = 3 x 10-12 F, C3 = 4pF = 4 x 10-12
Bihar Board Class 12 Physics Solutions Chapter 2 Electrostatic Potential and Capacitance - 19
V = P.D. applied across the combination.

(a) Cp = Total Capacitance of the parallel grouping = ?
We know that the total capacitance of the parallel combination is given by
C p = C1 + C2 + C3
= 2 x 10-12 + 3 x 10-12 + 4 x 10-12
= 9 x 10-12 F = 9 pF.

(b) Let q2 and q3 be the charges on the capacitors C1, C2 and C3
respectively.
Also we know that in parallel combination, the potential difference across each capacitor
= supply voltage = 100 V.
q1= C1V = 2 x 10-12 x 100 = 2 x 10-10 C.
q2= C2V = 3 x 10-12 x 100 = 3 x 10-10 C.
q3= C2V = 4 x 10-12 x 100 = 4 x 10-10 C.

Bihar Board Class 12 Physics Solutions Chapter 2 Electrostatic Potential and Capacitance

Question 8.
In a parallel plate capacitor with air between the plates, each plate has an area of 6 x 103 m2 and the distance between the plates is 3 mm. Calculate the capacitance of the capacitor. If this capacitor is connected to a 100 V supply, what is the charge on each plate of the capacitor?
Answer:
A = Area of each plate of the parallel plate capacitor = 6 x 10-3 m2.
d = distance between the plates = 3 mm = 3 x 10-3 m.
E0 = 8.854 x 10-12 C2 m2 N-1.
Let C0 = capacitance of the capacitor in presence of air between the plates = ?
Bihar Board Class 12 Physics Solutions Chapter 2 Electrostatic Potential and Capacitance - 20
Now V0 = P.D. applied across the capacitor = 100 V
q0 = charge on each plate of capacitor = ?
Using the relation, q0 = C0V0, we get
q0 = 17.708 x 10-12 x 100
= 17.708 x 10-10 C = 1.771 x 10-9 C = 1.8 x 10-8 C

Question 9.
Explain what would happen if in the capacitor given in Exercise 2.8, a 3 mm thick mica sheet (of dielectric constant = 6) were inserted between the plates,
(a) while the voltage supply remained connected.
(b) after the supply was disconnected.
Answer:
(a) Here C0 = Capacitance of the capacitor with air as medium = 18 pF .
d – distance between plates = 3 x 10-3 m.
t = thickness oUmica sheet = 3 x 10-3 m = d.
K = dielectric constant of the sheet = 6
As the mica sheet completely fills the space between the plates, thus the capacitance of the capacitor (C) is given by
C = KC0 = 6 x 18 x 10-12 F = 108 x 10-12 F = 108 pF.
Thus the capacitance of the capacitor increases by K times on inserting the mica sheet.
P.D. across this capacitor, V = 100 V
∴ Charge q’ on the capacitor with mica sheet as medium is given by
q’ = CV = 108 x 10-12 x 100 = 108 x 108 U
Now clearly q’ = KC0 V = Kq = 6 x 1.8 x 10-9
= 1.08 x 10-8C.
Clearly charge becomes K times the charge on the plates with air as medium i.e., charge on the plates increases when supply remains connected and mica sheet is inserted.

(b) Here, capacitance of capacitor with mica as medium
C = KC0 = 108 x 10-12 F
When supply is disconnected i.e. m V = 0,
The potential difference across on the plates of the capacitor V’ reduces by K times.
i.e„ , V = \(\frac{100}{6}\) = 1.6.67 V
C becomes 6 times.
Thus if q1 be the charge on its plates after disconnecting the supply,
Then
Bihar Board Class 12 Physics Solutions Chapter 2 Electrostatic Potential and Capacitance - 21
i.e., the charge on the capacitor with mica as medium remains same as with air medium.

Question 10.
A .12 pF capacitor is connected to a 50 V battery. How much electrostatic energy is stored in the capacitor? .
Answer:
Here, C = capacitance of the capacitor = 12 pF = 12 x 10-12 F.
V = supply voltage connected across the capacitor = 50 V.
U = electiostatic energy stored in the capacitor Using the relation,
U =\(\frac{1}{2}\) CV2, we get
U = j x 12 x 10-12 x (50)2
= 6 x 10-12 x 2500 = 150 x 10-12 J = 1.5 x 10-8J.

Bihar Board Class 12 Physics Solutions Chapter 2 Electrostatic Potential and Capacitance

Question11.
A 600 pF capacitor is charged by a 200 Vsupply.lt is then disconnected from the supply and is connected to another uncharged 600 pF capacitor. How much electrostatic energy is lost in the process?
Answer:
Here, C, = capacitance of capacitor = 600 pF = 600 x 10-12 F = 6 x 1010 F.
V1 = supply voltage = 200 V
Let U1 = initial electrostatic energy stored in the capacitor, then using the relation
U = \(\frac{1}{2}\) CV2 we get
U1 = \(\frac{1}{2}\) x C1V12 = \(\frac{1}{2}\) x 6 x 10-10 x (200)2= 12 x 106 J.
C2= capacity of another capacitor = 600 pF = 6 x 102 F
q2 = charge on second capacitor = 0
q1= charge on first capacitor.
q1 = C1V1 = 6 x 10-10 x 200 = 12 x 108 C.

When first capacitor is connected to another uncharged capacitor, then the charge will be equally shared by the two capacitors.
If q = charge attained by each capacitor on joining, then
Bihar Board Class 12 Physics Solutions Chapter 2 Electrostatic Potential and Capacitance - 23
If U2 be the final electrostatic energy left on C1 then
Bihar Board Class 12 Physics Solutions Chapter 2 Electrostatic Potential and Capacitance - 24
∴ Total energy stored in the two capacitors after connections,
U2 = U2 + V2
∴ If U be the energy lost in the process, then
U = U1 -U2 = 12 x 10-6 – 6 x 10-6J = 6 x 10-6J.
Aliter:
Bihar Board Class 12 Physics Solutions Chapter 2 Electrostatic Potential and Capacitance - 236
Let V be the common potential, then
Bihar Board Class 12 Physics Solutions Chapter 2 Electrostatic Potential and Capacitance - 25
If U2 be the final electrostatic energy, then
Bihar Board Class 12 Physics Solutions Chapter 2 Electrostatic Potential and Capacitance - 26
∴ loss in electrostatic energy = U1 – U2
= 12 x 10-6 x 10
= 6 x 10-6J.

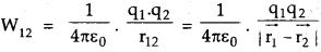
Question 12.
A charge of 8 mC is located at the origin. Calculate the work done in taking a small charge of -2 x 10-9 C from a point P (0,0, 3 cm) to a point Q (0,4 cm> 0), via a point R (0,6 cm, 9 cm).
Answer:
Here q = charge at origin O.
= 8 mC = 8 x 10-3C.
q0= charge to be carried from P to Q via R
= -2.x 10-9 C.
Initial position vectorof P, \(\overrightarrow{\mathrm{r}_{1}}\) = 3 \(\hat{\mathbf{k}}\)cm.
Final position vector at Q. \(\overrightarrow{\mathrm{r}_{2}}\) = 4\(\hat{\mathbf{j}}\)cm.
∴ r1= 3 cm = 3 x 10-2m
r2 = 4 cm = 4 x 10-2 m
As electrostatic force are conservative forces, the work done in moving q0is independent of the path followed. Thus there is no relevance of the point R.
Bihar Board Class 12 Physics Solutions Chapter 2 Electrostatic Potential and Capacitance - 28
Let WPQ be the work done in moving from P to Q then using the relation,
Bihar Board Class 12 Physics Solutions Chapter 2 Electrostatic Potential and Capacitance - 29

Question 13.
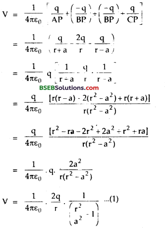
A cube of side b has a charge q at each of its vertices. Determine the potential and electric field due to this charge array at the centre of the cube.
Answer:
Here, side of the cube = b, q = charge on each vertex of the cube.
Now HB = diagonal of the face ABGH
= \(\sqrt{\mathrm{AB}^{2}+\mathrm{AH}^{2}}\)
= \(\sqrt{b^{2}+b^{2}}\)

∴ Diagonal HC of the cube is given by,
HC = \(\sqrt{H B^{2}+B C^{2}}\) = \(\sqrt{b^{2}+b^{2}+b^{2}}=b \sqrt{3}\)
HO = OC = \(\frac{\mathrm{b} \sqrt{3}}{2}\)
Bihar Board Class 12 Physics Solutions Chapter 2 Electrostatic Potential and Capacitance - 30
Similarly AO = OB = OE = OG = OF = OD = \(\frac{\sqrt{3}}{2}\) b i.e, the distance of each vertex from the centre O of the cube is same = \(\frac{\sqrt{3}}{2}\) b
or distance of each charge from O = \(\frac{\sqrt{3}}{2}\) b.
Let V = Electrical potential at O = ? and E = electric field at O = ?
We know that
Bihar Board Class 12 Physics Solutions Chapter 2 Electrostatic Potential and Capacitance - 31
‘The electric field at O due to charges at the opposite comers such as A and F, B and E, C and H, D and G are equal in magnitude and opposite in direction. So the net electric field at O is zero due to the symmetry of charges.

Bihar Board Class 12 Physics Solutions Chapter 2 Electrostatic Potential and Capacitance

Question 14.
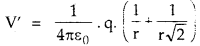
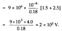
Two tiny spheres carrying charges 1.5 μC and 2.5 μC are located 30 cm apart. Find the potential and electric field:
(a) at the mid-point of the line joining the two charges, and
(b) at a point 10 cm from this mid-point in a plane normal to the line and passing through the mid-point.
Answer:
Here, q1 = 1.5 μC = 1.5 x 10-6 C.
q2= 2.5 μC = 2.5 x 10-6 C.
Bihar Board Class 12 Physics Solutions Chapter 2 Electrostatic Potential and Capacitance - 33
r = distance between the two charges = 30 cm = 0.30 m

Let O be the middle point of the line AB.
(a) (i) If V1 and V2be the electric potentials at O due to 1.5 μC and 2.5 μC respectively, then using the relation,
Bihar Board Class 12 Physics Solutions Chapter 2 Electrostatic Potential and Capacitance - 34
If V be the total potential at O due to the two charges, then
Bihar Board Class 12 Physics Solutions Chapter 2 Electrostatic Potential and Capacitance - 35

(ii) Electric field at O – Let \(\vec{E}\) = total electric field at O = ?
If \(\vec{E}_{1}\) and \(\vec{E}_{2}\) be the fields at O due to q1 and q2 respectively, then
using the relation, E =\(\frac{1}{4 \pi \varepsilon_{0}} \cdot \frac{q}{r^{2}}\), we get
Bihar Board Class 12 Physics Solutions Chapter 2 Electrostatic Potential and Capacitance - 36
Now clearly \(\vec{E}_{2}\) > \(\vec{E}_{1}\) , thus net electric field at O gets along OA.
Bihar Board Class 12 Physics Solutions Chapter 2 Electrostatic Potential and Capacitance - 37
along OA i.e., towards q1
or E = 4.0 x 105 Vm-1 From 2.5 μC to 1.5 μC.

(b) Let P be the point at a distance of 10 cm from O in a plane normal to AB.
AO = OB = 0.15 m
OP = 10 cm – 0.10 m.
Bihar Board Class 12 Physics Solutions Chapter 2 Electrostatic Potential and Capacitance - 38
Let V’ be the total potential at P = ?
Now in rt. ∠d ∆ AOP,
Bihar Board Class 12 Physics Solutions Chapter 2 Electrostatic Potential and Capacitance - 39
Bihar Board Class 12 Physics Solutions Chapter 2 Electrostatic Potential and Capacitance - 40

(ii) If E1and E2 be the resultant electric field at P due to q1 and q2, then using the relation, then
Bihar Board Class 12 Physics Solutions Chapter 2 Electrostatic Potential and Capacitance - 41
Bihar Board Class 12 Physics Solutions Chapter 2 Electrostatic Potential and Capacitance - 42
If \(\overrightarrow{\mathrm{E}^{\prime}}\) be the resultant electric field at P due to q1 and q2, then using the relation,
R = \(\sqrt{P^{2}+Q^{2}+2 P Q \cos \theta}\)
we get the magnitude of \(\vec{E}\) given by
Bihar Board Class 12 Physics Solutions Chapter 2 Electrostatic Potential and Capacitance - 43

Direction of \(\vec{E}\) – Let a be the angle made by \(\vec{E}\) – \(\vec{E}_{1}\)
Bihar Board Class 12 Physics Solutions Chapter 2 Electrostatic Potential and Capacitance - 44
To find direction of \(\overrightarrow{\mathrm{E}^{\prime}}\) w.r.t. the line AB – Let ∠PAB = β. Then in rt. ∠d ∆ AOP, B + \(\frac{θ}{2}\) 90°, β = 90° – \(\frac{θ}{2}\) = 90 – 56.25° = 33.75° = 33.8 .
∴ angle made by \(\overrightarrow{\mathrm{E}^{\prime}}\) with AB line = β + α = 33.8′ + 76.9° = 110.7
or angle made by \(\overrightarrow{\mathrm{E}^{\prime}}\) with the line joining 2.5 µC to 1.5 µC charge i.e., line BA = 180° -110.7 = 69.7°.

Bihar Board Class 12 Physics Solutions Chapter 2 Electrostatic Potential and Capacitance

Question 15.
A spherical conducting shell of inner radius rx and outer radius r2 has a charge Q.
(a) A charge q is placed at the centre of the shell. What is the surface charge density on the inner and outer surfaces of the shell?
(b) Is the electric field inside a cavity (with no charge) zero, even if the shell is not spherical, but has any irregular shape? Explain.
Answer:
(a) We know that any charge given to a hollow conductor spreads over the surface of the conductor and electric field inside the hollow conductor remains zero. Thus the charge Q given to the conducting shell will spread on its outer surface. The another charge q is placed at the centre of the same shell having inner radius rr It will induce – q charge on the inner surface and + qon outer surface which will shift to the outer surface of the shell of radius r2. Thus total charge on outer surface is Q + q. Let A1 and A2 be the area of inner, and outer shell respectively.
Bihar Board Class 12 Physics Solutions Chapter 2 Electrostatic Potential and Capacitance - 45
Let E1 and E2 the electric fields due to – q and Q + q respectively, then
Bihar Board Class 12 Physics Solutions Chapter 2 Electrostatic Potential and Capacitance - 46

Let σ1 and σ2 be the surface charge densities on inner and outer surface of the shell.
Bihar Board Class 12 Physics Solutions Chapter 2 Electrostatic Potential and Capacitance - 47

(b) Yes. According to Gauss’s law, Bihar Board Class 12 Physics Solutions Chapter 2 Electrostatic Potential and Capacitance - 48
For a cavity of arbitrary shape, this is not enough to claim that \(\vec{E}\) = 0 inside the cavity. The cavity may have +ve and -ve charges with total charge zero. Charge tends to reside on the outer surface of a conductor. The result of this law is independent of the shape and size of cavity.
Bihar Board Class 12 Physics Solutions Chapter 2 Electrostatic Potential and Capacitance - 49

Question 16.
(a) Show that the normal component of electrostatic field has a discontinuity from one side of a charged surface to another given by
Bihar Board Class 12 Physics Solutions Chapter 2 Electrostatic Potential and Capacitance - 50
where \(\hat{\mathbf{n}}\) is a unit vector normal to the surface at a point and σ is the surface charge density at that point. (The direction of \(\hat{\mathbf{n}}\) is from side 1 to side 2.) Hence show that just outside a conductor, the electric field is σ \(\hat{\mathbf{n}}\) /ε0

(b) Show that the tangential components of electrostatic field is continuous from one side of a charged surface to another. [Hint: For (a) use Gauss’s law. For (b) use the fact that work done by-electro static field on a closed loop is zero.]
Answer:
(a) Let AB be a charged surface having two sides as marked in the figure. A cylinder enclosing a small area element As of the charged surface is the Gaussian surface.
Bihar Board Class 12 Physics Solutions Chapter 2 Electrostatic Potential and Capacitance - 51

Let σ = surface charge density
∴ q = charge enclosed by the Gaussian cylinder = σ. ∆s
∴ According to Gauss’s Theorem,
Bihar Board Class 12 Physics Solutions Chapter 2 Electrostatic Potential and Capacitance - 52
Where \(\overrightarrow{\mathrm{E}_{1}}\) + \(\overrightarrow{\mathrm{E}_{2}}\) are the electric fields through circular cross – sections of cylinder at II and III respectively.
Bihar Board Class 12 Physics Solutions Chapter 2 Electrostatic Potential and Capacitance - 53
Hence, proved.

It is clear from the figure that \(\overrightarrow{\mathrm{E}_{1}}\) lies inside the conductor. Also we know that the electric field inside the conductor is zero.
∴ \(\overrightarrow{\mathrm{E}_{1}}\) = 0.
Thus from equation (1),
Bihar Board Class 12 Physics Solutions Chapter 2 Electrostatic Potential and Capacitance - 54

or electric field just outside the conductor = \(\frac{\sigma}{\varepsilon_{0}} \hat{n}\)
Hence, proved.

Bihar Board Class 12 Physics Solutions Chapter 2 Electrostatic Potential and Capacitance

(b) Let AaBbA be a charged surface in the field of a point charge q lying at origin.
Let \(\overrightarrow{\mathrm{r}_{A}}\) and \(\overrightarrow{\mathrm{r}_{B}}\) be its position vectors at points A and B respectively.
Let \(\overrightarrow{\mathrm{E}}\) be the electric field at point P, thus E cos θ is the tangential component of electric field \(\vec{E}\) .
\(\overrightarrow{\mathrm{E}}\). \(\overrightarrow{\mathrm{dl}}\) = E dl. cos θ = (E cos θ) dl.
Bihar Board Class 12 Physics Solutions Chapter 2 Electrostatic Potential and Capacitance - 55
To prove that E cos θ is continuous from one to another side of the charged surface, let us find the value of Bihar Board Class 12 Physics Solutions Chapter 2 Electrostatic Potential and Capacitance - 56 if comes to be Zero
then we can say that tangential component of \(\overrightarrow{\mathrm{E}}\) is continuous.
Bihar Board Class 12 Physics Solutions Chapter 2 Electrostatic Potential and Capacitance - 57
Hence, proved.

Question 17.
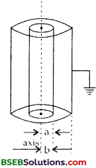
A long charged cylinder of linear charge density X is surrounded by a hollow co-axial conducting cylinder. What is the electric field in the space between the two cylinders?
Answer:
Consider two cylindrical Co-axial shells each of length / with outer and inner radii r2 and r1 (r2 >r1). The inner cylinder is charged having linear charge density X and enclosed by a hollow cylinder of radius r2. We want to find out the electric field \(\vec{E}\) in the space between the two cylinders.
Bihar Board Class 12 Physics Solutions Chapter 2 Electrostatic Potential and Capacitance - 58
If + q be the charge on the inner cylinder, then q = A.1. Due to electrostatic induction, – q charged is induced on the inner surface of the hollow cylinder and + q charge is induced on its outer surface and is earthed. Let r be the distance from XX’ axis of cylinders of a point P between the cylinders at which \(\overrightarrow{\mathrm{E}}\) is to be. calculated. Draw a cylindrical Gaussian surface of length l, radius rst. The point P lies on its surface. The charge enclosed inside the Gaussian surface is given by
q = λ l.
The electric field \(\overrightarrow{\mathrm{E}}\) at any point on the Gaussian surface will be uniform, equal in magnitude and towards the outward drawn normal due to the spherical symmetry.
Curved surface area of Gaussian surface = 2πrl
Consider an area element dS on the curved surface at point P.
If dø be fhe electric flux through \(\overrightarrow{\mathrm{ds}}\), then by def. dø = \(\overrightarrow{\mathrm{E}}\) .\(\overrightarrow{\mathrm{ds}}\) = E dS cos 0 = E dS
(∴\(\overrightarrow{\mathrm{E}}\) and \(\overrightarrow{\mathrm{ds}}\) acts along \(\hat{\mathrm{n}}\) )
If ø1 be .the electric flux through \(\overrightarrow{\mathrm{ds}}\)the whole curved surface area of the Gaussian surface, then
Bihar Board Class 12 Physics Solutions Chapter 2 Electrostatic Potential and Capacitance - 59
(∴ E is constant throughout the Gaussian surface).
Also let ø2 be the electric flux through the two caps of the Gaussian cyliner.
\(\overrightarrow{\mathrm{E}}\) . \(\overrightarrow{\mathrm{dS}}\) + \(\overrightarrow{\mathrm{E}}\) . \(\overrightarrow{\mathrm{dS}}\) = 2 \(\overrightarrow{\mathrm{E}}\) . \(\overrightarrow{\mathrm{dS}}\)
= 2 \(\overrightarrow{\mathrm{E}}\). \(\hat{\mathrm{n}}\) dS = 0 (∴\(\overrightarrow{\mathrm{E}}\)⊥\(\hat{\mathrm{n}}\) )
If ø be the total electric flux through the whole Gaussian surface (S), then
Bihar Board Class 12 Physics Solutions Chapter 2 Electrostatic Potential and Capacitance - 60
Now. according to Gauss’s Theorem,
ø = ø1 + ø2 = E. 2πrl + 0 = E. 2πrl
This field is radial and perpendicular to the axis.
This is the required expression.

Question 18.
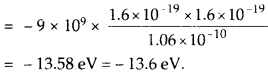
In a hydrogen atom, the electron and proton are bound at a distance of about 0.53 A:
(a) Estimate the potential energy of the system in e V, taking the zero of the potential energy at infinite separation of the electron from proton;
(b) What is the minimum work required to free the electron, given that its kinetic energy in the orbit is half the magnitude of potential energy obtained in (a) ?
(c) What are the answers to (a) and (b) above if the zero of potential l energy is taken at 1.06 A separation?
Answer:
Here, charge on proton, q1 = 1.6 x 10-19 C.
Charge on electron, q2 = – 1.6 x 10-19 C
r = radius of hydrogen atom = distance between q1 and q2 = 0.53 A
= 0.53 x 10-10m.

(a) If zero of potential energy be taken at infinite seperation, then Potential energy = P.E. at ∞ – P.E. atr
Bihar Board Class 12 Physics Solutions Chapter 2 Electrostatic Potential and Capacitance - 61
Aliter :
Bihar Board Class 12 Physics Solutions Chapter 2 Electrostatic Potential and Capacitance - 62
(b) Let W – minimum work required to free the electron = ?
Here, K.E in the orbit = \(\frac{1}{2}\) [Magnitude of P.E of case (a)]
= \(\frac{1}{2}\) x ( + 27.17 eV)
= 13.585eV (∴ K.LoIthesystem is aÌwas + ve)
∴ Total Energy = K.E + P.E.
= 13.58+(- 27.17) = -13.59 eV
= – 13.6eV.
∴ Work required to free the electron = 0 – (- 13.6)
=13.6e V

(c) Potential energy of system at a separation of 1.06 A between the electron and proton
Bihar Board Class 12 Physics Solutions Chapter 2 Electrostatic Potential and Capacitance - 63
Potential energy of the system when zero of potential energy is taken at 1.06 Å = – 27.17 – (- 13.585) = – 13.585 eV = – 13. 6 eV.
By shifting the zero of the P.E., work required to free the electron is not affected. It continues to be same, being equal to-(-13.6) = + 13.6 eV.

Bihar Board Class 12 Physics Solutions Chapter 2 Electrostatic Potential and Capacitance

Question 19.
If one of the two electrons of a H2 molecule is removed, we get a hydrogen molecular ion (H+2 ). In the ground state of a (H2 ), the two protons are separated by roughly 1.5 Å, and the electron is roughly 1A from each proton. Determine the potential energy of the system. Specify your choice of zero of potential energy.
Answer:
Here, q1 = charge on electron = – 1.6 x 10-19C.
q2, q3 = charges on each protons = + 1.6 x 10-19 C.
Separation between two protons i.e. q2 and q3, = r23 = 1.5 Å = 1.5 x 10-10 m.
Separation between proton and electron = r13 = r122 = 1 Å = 10-10 m.
Bihar Board Class 12 Physics Solutions Chapter 2 Electrostatic Potential and Capacitance - 64
If the zero of potential energy is taken at infinity,
Bihar Board Class 12 Physics Solutions Chapter 2 Electrostatic Potential and Capacitance - 65
The zero of potential energy is taken to be at infinity.

Question 20.
Two charged conducting spheres of radii a and b are connected to each other by a wire. What is the ratio of electric fields at the surfaces of the two spheres? Use the result obtained to explain why charge density on the sharp and pointed ends of a conductor is higher than on its flatter portions.
Answer:
Here, a, b = radii of two conducting spheres st. a > b.
Let q1= charge on sphere of radius a.
and q2 = charge on sphere of radius b.
If V1 and V2 be the electric potentials on spheres of radii a and b respectively, then
Bihar Board Class 12 Physics Solutions Chapter 2 Electrostatic Potential and Capacitance - 66

When the two conducting spheres are connected to each other by a wire, then their electric potentials are same, i.e.,
V1 = V2
Bihar Board Class 12 Physics Solutions Chapter 2 Electrostatic Potential and Capacitance - 67

Now let E1 and E2 be the electric fields at the surfaces of sphere of radii a and b respectively.
To find \(\frac{\mathrm{E}_{1}}{\mathrm{E}_{2}}\) – E1 and E2 are given by
Bihar Board Class 12 Physics Solutions Chapter 2 Electrostatic Potential and Capacitance - 68
Bihar Board Class 12 Physics Solutions Chapter 2 Electrostatic Potential and Capacitance - 69
Thus the ratio of electric field of the first to the second conducting sphere is \(\frac{b}{a}\)
A flat portion may be taken as a spherical surface of large radius and a pointed portion may be t3ken as a spherical surface of small radius.
As ε ∝ Bihar Board Class 12 Physics Solutions Chapter 2 Electrostatic Potential and Capacitance - 70 thus pointed portion has larger fields than the flat radius one. Also we know that
E = \(\frac{\sigma}{\varepsilon_{0}}\)
i.e. E ∝ σ,
thus clearly the surface charge density on the sharp and pointed ends will be large.

Question 21.
Two charges – q and + q are located at points (0, 0, – a) and (0,0, a) respectively.
(a) What is the electrostatic potential at the points (0,0, z) and (x, y,o)?
(b) Obtain the dependence of potential on the distance r of a point from the origin when r/a >>1.
(c) How much work is done in moving a small test charge from the point (5,0,0) to (- 7,0,0) along the x-axis? Does the answer change if the path of the test charge between the same points is not along the x-axis?
Answer:
(a) Here – q and + q are situated at point A (0,0, – a) and B (0, 0,0) respectively.
dipole length = 2a
If p be the dipole moment of the dipole, then p = 2aq
Let P1 (0,0, z) be the point at which V is to be calculated. It lies on the axial line of the dipole.
Bihar Board Class 12 Physics Solutions Chapter 2 Electrostatic Potential and Capacitance - 71

Now point P2(x, y, 0) lies in XY plane which is normal to the axis of the dipole i.e., lies on the line parallel to the equitorial line on which potential due to the dipole is zero as given below:
Bihar Board Class 12 Physics Solutions Chapter 2 Electrostatic Potential and Capacitance - 72
Let OP2 = 7,
∴ r = \(\sqrt{x^{2}+y^{2}}\)
∴ If V’ be the eìectric potential at P2, then
Bihar Board Class 12 Physics Solutions Chapter 2 Electrostatic Potential and Capacitance - 73

(b) Let r= distance of the point P from the centre (O) of the dierect
which V is to be calculated. Let ∠POB = 0 i.e. OP makes an angle 0 with
\(\overrightarrow{\mathrm{E}}\) .Also let rj and r2 be the distances of the point P from – q and + q respectively. To find r1, and r2, draw AC and BD ⊥ arc to OP.
Bihar Board Class 12 Physics Solutions Chapter 2 Electrostatic Potential and Capacitance - 74
In ∆ ACO, OC = a cos θ
and in ∆BDO, OD = a cos θ
Thus if V1 and V2 be the potentials at P due to – q and + q respectively, then total potential V at P is given by
Bihar Board Class 12 Physics Solutions Chapter 2 Electrostatic Potential and Capacitance - 75
where r1 = AP = CP = OP + OC = r + a cos 0 and r2 = BP = DP = OP – OD = r – a cos θ.
Putting values of r1, and r2 in equation (q), we get
Bihar Board Class 12 Physics Solutions Chapter 2 Electrostatic Potential and Capacitance - 76
when \(\frac{r}{a}\) > > or r2 > > a2, then r2 > > a2 cos2θ, so a2 cos2θ that may be negelected
Thus V = \(\frac{1}{4 \pi \varepsilon_{0}} \cdot \frac{p \cos \theta}{r^{2}}\) ……(2)
Thus we see that the dependence of V on r is of \(\frac{1}{r^{2}}\) type i.e., V ∝\(\frac{1}{r^{2}}\)

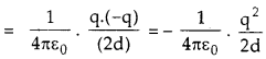
(c) Let W1 and W2 be the work done in moving a test charge q0 from E (5, 0, 0) to F (- 7, 0, 0) in the fields of + q (0, 0, a) and – q (0, 0, – a) respectively.
Bihar Board Class 12 Physics Solutions Chapter 2 Electrostatic Potential and Capacitance - 77
\(\overrightarrow{\mathrm{BE}}\) = 5 \(\hat{\mathbf{i}}\) – a\(\hat{\mathbf{k}}\) ,
\(\overrightarrow{\mathrm{Bf}}\) = – 7\(\hat{\mathbf{i}}\) – a\(\hat{\mathbf{k}}\) .
Similarly \(\overrightarrow{\mathrm{AE}}\) = 5 \(\hat{\mathbf{i}}\) + a\(\hat{\mathbf{k}}\), and AF = – 7\(\hat{\mathbf{i}}\) + a\(\hat{\mathbf{k}}\)
or.  BE =\(\sqrt{25+a^{2}}\) BF = \(\sqrt{49+9^{2}}\)
AE = \(\sqrt{25+a^{2}}\), AF = \(\sqrt{49+9^{2}}\)
Using the relation,
Bihar Board Class 12 Physics Solutions Chapter 2 Electrostatic Potential and Capacitance - 78
If Wbe the total work done, then
Bihar Board Class 12 Physics Solutions Chapter 2 Electrostatic Potential and Capacitance - 79
No, because work done in moving a test charge in an electric field between two points is independent of the path connecting the two point.

Question 22.
Figure shows a charge array known as an ‘electric quadrupole’. For a point on the axis of the quadrupole, obtain the dependence Of potential on r for r/a > > 1, and contrast your results with that due to an electric dipole, and an electric monopole (i.e., a single charge).
Bihar Board Class 12 Physics Solutions Chapter 2 Electrostatic Potential and Capacitance - 80
Answer:
Here, the electric quadrupole’s is made of four charges + q, + q at A and C, – q and – q and B. Point B may be supposed to be the centre of the quadrupole.
Let r be the distance of the pooint P on the. ax is of the quadrupole from point B at which the electric potential is to be calculated.
Clearly AP = AB + BP = a + r
BP = r and CP = BP – BC = r – a.
Let V be the electric pootential at point P due to the quadrupole.
∴ V is given by
Bihar Board Class 12 Physics Solutions Chapter 2 Electrostatic Potential and Capacitance - 81
Now for large r, \(\frac{r}{2}\) > > 1, so \(\frac{r^{2}}{a^{2}}\) > > 1, hence 1 maybe neglected.
∴ eqn. (1) reduces to :
Bihar Board Class 12 Physics Solutions Chapter 2 Electrostatic Potential and Capacitance - 82
Also we know that the electric potential at a point on axial line to an electric dipole is are given by
Bihar Board Class 12 Physics Solutions Chapter 2 Electrostatic Potential and Capacitance - 83
The electric potential at a pooint due to a single charge q i.e., monopole at a distance r from it is given by .
Bihar Board Class 12 Physics Solutions Chapter 2 Electrostatic Potential and Capacitance - 84
Thus we conclude that for larger r, the electric potential due to a quadrupole is inversely proportional to the cube of the distance r while due to an electric dipole, it is inversely proportional to the square of r and inversely proportional to the distance r for a monopole.

Bihar Board Class 12 Physics Solutions Chapter 2 Electrostatic Potential and Capacitance

Question 23.
An electrical technician requires a capacitance of 2 pF in a circuit across a potential difference of 1 kV. A large number of 1 pF capacitors are available to him each of which can withstand a potential difference of not more than 400 V. Suggest a possible arrangement that requires the minimum number of capacitors.
Answer:
Let N be the total number of capacitors used by the technician and arrange them in m rows each row having n capacitors.
N = mn …(i)
Bihar Board Class 12 Physics Solutions Chapter 2 Electrostatic Potential and Capacitance - 85
C1 = Capacitance of the each capacitor = 1μF.
C = required capacitance of the combination = 2 μF.
Maximum potential difference across each capacitor = 400 V.
Potential difference across the circuit = 1000 V.
= P.D. across each row.
We know that when the capacitors are connected in series, then pot. differences across them gets added.
∴ n capacitors in a row will stand a voltage = 400 x n
400 x n = 1000
n = \(\frac {1000 }{400}\) = 2.5.
As n has to be a whole number not less than 2.5), .’. n = 3.
Let C’ = Total capacitance of the capacitors in a row.
Bihar Board Class 12 Physics Solutions Chapter 2 Electrostatic Potential and Capacitance - 86
Total capacitance of m such rows in parallel is given by
Bihar Board Class 12 Physics Solutions Chapter 2 Electrostatic Potential and Capacitance - 87
Thus he must connect eighteen 1 pF capacitors in 6 parallel rows, each row containing 3 capacitors.

Question 24.
What is the area of the plates of a 2 F parallel plate capacitor, given that the separation between the plates is 0.5 cm? [You will realise from your answer why ordinary capacitors are in the range of pF or less. However, electrolytic capacitors do have a much larger capacitance (0.1 F) because of very minute separation between the conductors.]
Answer:
Here, C = Capacitance of a parallel plate
Capacitor = 2F
d = separation between its plates
= 0.5 cm = 5 x 10-3 m .
A = area of its plates = ?
ε0 = 8.854 x 10-12 C2 N-1 m-2
Thus using the relation,
Bihar Board Class 12 Physics Solutions Chapter 2 Electrostatic Potential and Capacitance - 88
This area is impossible to realise as it is very large. That is why ordinary capacitors are of range much lesser than of pF.

Question 25.
Obtain the equivalent capacitance of the network in figure. For a 300 V supply, determine the charge and voltage across each capacitor.
Bihar Board Class 12 Physics Solutions Chapter 2 Electrostatic Potential and Capacitance - 89
Answer:
Let C be the equivalent capacitance of this network. The given network can be redrawn as shown in the following figure :
Bihar Board Class 12 Physics Solutions Chapter 2 Electrostatic Potential and Capacitance - 90

Here, C1 – C4 = 1000
pF = 100 x 10-12 F.
C2 = C3= 200 pF = 200 x 10-12 F.
C2 and C3 are in series’combina tion.
If C23, be the equivalent capacitance of C2and C3, in series combination, then
Bihar Board Class 12 Physics Solutions Chapter 2 Electrostatic Potential and Capacitance - 91
Now, C23 and C1 are in parallel grouping.
If C be the equivalent capacitance of and C23 and C1
Then
C’ = C1 + C2, = 100 + 100 = 200 pF
Bihar Board Class 12 Physics Solutions Chapter 2 Electrostatic Potential and Capacitance - 92
Now C4 and C’ are in series. If C be the equivalent capacitance of series combining of C4 and C’, then
Bihar Board Class 12 Physics Solutions Chapter 2 Electrostatic Potential and Capacitance - 93
Charge and Voltage across each capacitor – Let q1 q2, q3, and q4 be the charges across the capacitors C1, C2, C3and C4 respectively. Also let V1, V2,V3 and V4be the respective voltage across each of them.
Now as C’ is in series with C4, thus charge on C’ is equal to q4.
Bihar Board Class 12 Physics Solutions Chapter 2 Electrostatic Potential and Capacitance - 94
Now 300 V is connected across series combination of C’ and C4.
∴ P.D. across C ‘+ P.D. across C4 = 300 V
Bihar Board Class 12 Physics Solutions Chapter 2 Electrostatic Potential and Capacitance - 95
Now as C2 and C3 have equal capacitances and are connected in series, so charge on each capacitor must be same.
Bihar Board Class 12 Physics Solutions Chapter 2 Electrostatic Potential and Capacitance - 96

Question 26.
The plates of a parallel plate capacitor have an area of 90 cm2 each and are separated by 2.5 mm. The capacitor is charged by ,. connecting it to a 400 V supply.
(a) How much electrostatic energy is stored by the capacitor?
(b) View this energy as stored in the electrostatic field between the plates, and obtain the energy per unit volume u. Hence arrive at a relation between u and the magnitude of electric field £ between the plates.
Answer:
Here, A = area of each plate of the parallel plate capacitor = 90 cm2 = 90 x 104 m2.
d = distance between plates = 2.5 mm = 2.5 x 10-3 m
V = Supply voltage = 400 V.

(a) U = electrostatic energy stored by the capacitor = ?
Let C = Capacitance of a parallel plate capacitor,
Bihar Board Class 12 Physics Solutions Chapter 2 Electrostatic Potential and Capacitance - 97
U is given by
U = \(\frac{1}{2}\) CV2 = \(\frac{1}{2}\) x 3.186 x 1011 x (400)2
= 2.55 x 10-6 J = 2.55 μj.

Bihar Board Class 12 Physics Solutions Chapter 2 Electrostatic Potential and Capacitance

(b) We know that electrostatic energy (U) stored by the capacitor is given by
U = \(\frac{1}{2}\) CV2 ……..(1)
This can be viewed as the energy stored in the electrostatic field between the plates.
Volume of the parallel plate capacitors is given by
V = Area of plates x distance between plates
= A x d ……(ii)
Energy stored per unit volume of the capacitor is called energy denoted by u.
Bihar Board Class 12 Physics Solutions Chapter 2 Electrostatic Potential and Capacitance - 98
Also we know that \(\frac{\varepsilon_{0} A}{d}\)
and V = Potential difference = Ed ……(iv)
= magnitude of electric field between the plates x distance
From (iii) and (iv), we get .
Bihar Board Class 12 Physics Solutions Chapter 2 Electrostatic Potential and Capacitance - 99
Which is the required delation between u and the magnitude of electric field E.
Bihar Board Class 12 Physics Solutions Chapter 2 Electrostatic Potential and Capacitance - 100

Question 27.
A 4 pF capacitor is charged by a 200 V supply. It is then disconnected from the supply, and is connected to another uncharged 2 pF capacitor. How much electrostatic energy of the first capacitor is lost in the form of heat and electromagnetic radiation?
Answer:
Here, Cj = 4pF = 4 x 10-6 F.
V1= ‘ supply connected to capacitor = 200V.
If U1 be the initial energy stored in C1 then
Bihar Board Class 12 Physics Solutions Chapter 2 Electrostatic Potential and Capacitance - 237

When 4 μF capacitor is connected to uncharged capacitor of 2 pF capacity, the capacitors are in parallel and share charge till both acquire a common potential i.e., P.D. across each capacitor become equal.
∴Total charge on two capacitors is .
q = C1V1 + C2V2 = 4 x 10-6 x 200 + 0
= 8 x 10-4 C (q2 = 0)
Let C’ = total capacitance of two capacitors
∴ C’ = C1 + C1 = 4 + 2 = 6μF = 6 x 10-6F.
If V be the common potential, then
Bihar Board Class 12 Physics Solutions Chapter 2 Electrostatic Potential and Capacitance - 101
Let V2 be the final energy stored in the combination then
Bihar Board Class 12 Physics Solutions Chapter 2 Electrostatic Potential and Capacitance - 102

Let U be the energy dissipated by C, in the form of heat and e.m. radiation = ?
∴ U = U1 – U2 = 8 x 10-2 – 5.33 x 10-2
= 2.67 x 10-2 J.

Question 28.
Show that the force on each plate of a parallel plate capacitor has a magnitude equal to (1/2) QE, where Q is the charge on the capacitor, and E is the magnitude of electric field between the plates. Explain the origin of the factor 1/2.
Answer:
Let P and P’ be the parallel plates of the capacitor.
Bihar Board Class 12 Physics Solutions Chapter 2 Electrostatic Potential and Capacitance - 103
A = Area of its each plate. ‘ d = distance between the plates.
Q = magnitude of charge on each plate.
E = magnitude of electric field between the plates acting from P to V
σ = surface charge density of plates,
∴ E = \(\frac{\sigma}{\varepsilon_{0}}\) …………(i)
Let the separation between the plates be increased by a distance dx against the force of attraction F between the plates.
If dω be the work done in doing so, then
dω = F. dx …….(ii)
This work done goes to increase the P.E. of the capacitor.
Now we know that the potential energy per unit volume of the parallel plate capacitor is given by
u = \(\frac{1}{2} \epsilon_{0} \cdot \mathrm{E}^{2}\) ……….(iii)
If du be the increase in potential energy of the parallel plate capacitor on increasing distance d by dx, then
du = uA dx = \(\frac{1}{2}\) ε0. E2A dx
Bihar Board Class 12 Physics Solutions Chapter 2 Electrostatic Potential and Capacitance - 104
Equating (ii) and (iv), we get
Bihar Board Class 12 Physics Solutions Chapter 2 Electrostatic Potential and Capacitance - 105
Hence proved.
The physical origin the factor \(\frac{1}{2}\) in this expression lies in the fact that just outside the conductor, the electric field is E and inside it, it is zero. So the average value of the electric field i.e. \(\frac{E}{2}\) contributes to the force against which the plates are moved.

Bihar Board Class 12 Physics Solutions Chapter 2 Electrostatic Potential and Capacitance

Question 29.
A spherical capacitor consists of two concentric spherical conductors, held in position by suitable insulating supports (Fig). Show that the capacitance of a spherical capacitor is given by –
C = \(\frac{4 \pi 8_{0} r_{1} r_{2}}{r_{1}-r_{2}}\)
where r1 and r2 are the radii of outer and inner spheres respectively.
Bihar Board Class 12 Physics Solutions Chapter 2 Electrostatic Potential and Capacitance - 106
Answer:
A spherical capacitor consists of two concentric spherical shells A and B of radii r2 and r, respectively s.t. r1 > r2 having centro. When charge – Q is given to the inner spherical shell A, it induces charge + Q on the inner surface of the shell B and – Q on its outer surface. As shell B is earthed, – Q charge on its outer surface flows to earth. Draw a Gaussian surface S of radius r and centre O between shells A and B. The electric field inside the shell A and outside the shell B is zero.
Bihar Board Class 12 Physics Solutions Chapter 2 Electrostatic Potential and Capacitance - 107
i.e., E = 0 for r < r2 and E = 0 for r > r1
Let E be the electric field at a point P on the Gaussian surface.
E = \(\frac{1}{4 \pi \varepsilon_{0}} \cdot \frac{\alpha}{r^{2}}\)
and acts radially in inward direction.
Also charge enclosed inside the Gaussian surface =- Q.
Let \(\overrightarrow{\mathrm{dS}}\) be the area element at point P on the Gaussian surface.
If dø be the electric flux through \(\overrightarrow{\mathrm{dS}}\) then,
dø = \(\overrightarrow{\mathrm{E}}\). \(\overrightarrow{\mathrm{dS}}\) = E. dS cos 180°
= – E. dS …….(ii)
(∴ angle between E and dS =180°) If ø be the total electric flux through the whole Gaussian surface,
then
Bihar Board Class 12 Physics Solutions Chapter 2 Electrostatic Potential and Capacitance - 108
Where \(\oint_{S} \mathrm{dS}=4 \pi r^{2}\) surface area of the Gaussian surface.
‘Now according to Gauss’s Theorem,
Bihar Board Class 12 Physics Solutions Chapter 2 Electrostatic Potential and Capacitance - 109
Now let V be the potential difference between the two spherical shells A and B. If C be the capacitance of the spherical capacitor, then
C = \(\frac{Q}{V}\) ………..(v)

Let us now find V – In case of parallel plate capacitor, the \(\overrightarrow{\mathrm{E}}\) between the two plates is uniform and the P.D. between the two plates is simply Ed. But in case of spherical capacitor, the electric field between the two spherical shells is not uniform and it varies with distance as
Bihar Board Class 12 Physics Solutions Chapter 2 Electrostatic Potential and Capacitance - 110
Bihar Board Class 12 Physics Solutions Chapter 2 Electrostatic Potential and Capacitance - 111
Bihar Board Class 12 Physics Solutions Chapter 2 Electrostatic Potential and Capacitance - 112

Question 30.
A spherical capacitor has an inner sphere of radius 12 cm and an outer sphere of radius 13 cm. The outer sphere is earthed and the inner sphere is given a charge of 2.5 pC. The space between the concentric spheres is filled with a liquid of dielectric constant 32.
(a) Determine the capacitance of the capacitor.
(b) What is the potential of the inner sphere?
(c) Compare the capacitance of this capacitor with that of an isolated sphere of radius 12 cm. Explain why the latter is much smaller.
Answer:
Here, r2 = radius of inner sphere = 12 cm = 12 x 102 m
r1 = radius of outer sphere = 13 cm = 13 x 10-2m
Q = charge on inner sphere = 2.5 pC = 2.5 x 10-6 C
K = dielectric constant of the liquid filled between two spheres = 32.
(a) Let capacitance of capacitor = C = ?
Using the relation for C due to a spherical capacitor,
Bihar Board Class 12 Physics Solutions Chapter 2 Electrostatic Potential and Capacitance - 113

(b) Let V = potential of the inner sphere. As the outer sphere is earthed, so the potential of the inner sphere is equal to potential difference between the two spheres of the capacitor.
Bihar Board Class 12 Physics Solutions Chapter 2 Electrostatic Potential and Capacitance - 114

(c) radius of isolated sphere, r = 12 cm = 12 x 10-2 m.
Let C’ be the capacitance of the isolated sphere.
∴ Using the relation,
C’ = 4πε0r we get
Bihar Board Class 12 Physics Solutions Chapter 2 Electrostatic Potential and Capacitance - 115

Question 31.
Answer carefully:
(a) Two large conducting spheres carrying charges Q1 and Q2 are brought close to each other. Is the magnitude of electrostatic force between them exactly gwen by \(\frac{Q_{1} \cdot Q_{2}}{4 \pi \varepsilon_{0} r^{2}}\) where r as the distance
between their centres?
(b) If Coulomb’s law involved 1/r3 dependence (instead of 1 /r2), would Gauss’s law be still true ?
(c) A small test charge is released at rest at a point in an electrostatic field configuration. Will it travel along the field line passing through that point?
(d) What is the work done by the field of a nucleus in a complete circular orbit of the electron? What if the orbit is elliptical?
(e) We know that electric field is discontinuous across the surface of a charged conductor. Is electric potential also discontinuous there?
(f) What meaning would you give to the capacitance of a single conductor?
(g) Guess a possible reason why water has a much greater dielectric constant (= 80) than say, mica (= 6).
Answer:
(a) The expression for the electrostatic force between two charges q1 and q2 i.e.,
F = \(\frac{1}{4 \pi \varepsilon_{0}} \cdot \frac{q_{1} q_{2}}{r^{2}}\) holds, when the charges q1 and q2 are point charges only. The expression will not be true in case of large conducLing spheres. It is because, when large conducting spheresare brought together, the charge distribution on the two_spheres will not remain uniform.

(b) No, Gauss’s lawould not be true if Coulomb’s law involved \(\frac{1}{\mathrm{r}^{3}}\)dependence.

(c) The small test charge will travel along the field line passing through that point and accelerates on a straight line path parallel-to eléctric field \(\overrightarrow{\mathrm{E}}\) if \(\overrightarrow{\mathrm{E}}\) is uniform.
It is not necessary that the tešrcharge will move along the field line passing through that point as the field line gives the direction of acceleration and not that of the velocity in general.

(d) We know that the work done by the electric field in moving a unit test charge between two points in the electric field is equal to1h4ne integral of electric field between two points
Bihar Board Class 12 Physics Solutions Chapter 2 Electrostatic Potential and Capacitance - 116
Also we know that the line iitegral of electric field along a closed path is zero.
i.e., \(\oint \overrightarrow{\mathrm{E}} \cdot \overrightarrow{\mathrm{d} l}\) = 0
Thus the work done by the field of nucleus in a complete ciruclar orbit of electron will be zero as the electrostatic force is conservative for which \(\oint \overrightarrow{\mathrm{E}} \cdot \overrightarrow{\mathrm{d} l}\) = 0, hence W = 0.
The same is also true for the elliptical orbit Li’., W = O br elliptical orbit.
(d) Aliter – Zero, the work done does not depend upon the nature of the orbit and \(\oint \overrightarrow{\mathrm{E}} \cdot \overrightarrow{\mathrm{d} l}\) = 0 for a closed path:
(e) No, electric potential is not discontinuous across the surface of a charged conductor. It is continuous there. \(\overrightarrow{\mathrm{E}}\) may become zero but V remains constant.
(f) A single conductor also possesses capacitance. It is a capacitor having one of its plate at infinity.
(g) Water molecules are polar and have permanent dipole moment, while the molecules of mica being non-polar don’t have permanent dipole moment, hence water has a much greater value of dielectric constant than mica.

Bihar Board Class 12 Physics Solutions Chapter 2 Electrostatic Potential and Capacitance

Question 32.
A cylindrical capacitor has two co-axial cylinders of length 15 cm and radii 1.5 cm and 1.4 cm. The outer cylinder is earthed and the inner cylinder is given a charge of 3.5 pC. Determine the capacitance of the system and the potential of the inner cylinder. Neglect end effects (i.e., bending of field lines at the ends).
Answer:
Elere, l = length of the co-axial cylinders = 15 cm = 15 x 10-2 m.
a = radius of inner cylinder = 1.4 cm = 14 x 10-3 m .
b = radius of outer cylinder = 1.5 cm = 15 x 10-3 m.
q = charge on inner cylinder = 3.5 pC = 3.5 x 10-6 C.
C = Capacitance of the system = ?
V = electric potential of the inner cylinder = ?
Bihar Board Class 12 Physics Solutions Chapter 2 Electrostatic Potential and Capacitance - 117
We know that the capacitance of the cylindrical capacitor is given by
Bihar Board Class 12 Physics Solutions Chapter 2 Electrostatic Potential and Capacitance - 118
Since the outer cylinder is earthed, the potential of the inner cylinder will be equal to the potential difference between them.
Thus V is given by the relation,
Bihar Board Class 12 Physics Solutions Chapter 2 Electrostatic Potential and Capacitance - 119

Question 33.
A parallel plate capacitor is to be designed with a voltage rating 1 kV, using a material of dielectric constant 3 and dielectric strength about 107 Vm-1. (Dielectric strength is the maximum electric field a material can tolerate without breakdown, i.e., without starting to conduct electricity through partial ionisation.) For safety, we should like the field never to exceed, say 10% of the dielectric strength. What f minimum area of the plates is required to have a capacitance of 50 pF?
Answer:
Here, K = dielectric constant of the material = 3
Voltage rating V = 1 kV = 103 V
C = Capacitance of the parallel plate capacitor
= 50 pF = 50 x 10-12 F.

Dielectric strength = 107Vm-1 = Emax.
Since the electric field strength is not to exceed 10% of the dielectric j strength, thus if E be the electric field, then
Bihar Board Class 12 Physics Solutions Chapter 2 Electrostatic Potential and Capacitance - 238
Let q = Charge which the capacitor can hold.
ε0 = 8.854 x 10-12C2 N-1 m-2.
A = required area of the plates of capacitor = ?
Let d be the spacing between the plates of the capacitor.
∴ Using the relation, E = \(\frac {V}{d}\)we get
d = \(\frac {V}{E}\) = \(\frac{1000}{10^{6}}\) = 10-3m
Now q = C x Voltage rating
= 50 x 10-12 x 103 = 5 x 108 C
Also we know that the capacitance of the parallel plate capacitor is given by
Bihar Board Class 12 Physics Solutions Chapter 2 Electrostatic Potential and Capacitance - 120
putting values of q, s0, K, E, we get
Bihar Board Class 12 Physics Solutions Chapter 2 Electrostatic Potential and Capacitance - 121

Question 34.
Describe schematically the equipotential surfaces corresponding to
(a) a constant electric field in the z-direction,
(b) a field that uniformly increases in magnitude but remains in a constant (say, z) direction,
(c) a single positive charge at the origin, and
(d) a uniform grid consisting of long equally spaced parallel charged wires in a plane.
Answer:
(a) For a constant electric field acting along Z-direction the equipotential surfaces are planes parallel to the XY-plane as shown in figure here.
Bihar Board Class 12 Physics Solutions Chapter 2 Electrostatic Potential and Capacitance - 122
(b) As the field increases uniformly in magnitude in a given direction the equipotential surfaces for a corresponding fixed potential difference get closer and are parallel to the XY plane.
(c) The equipotential surfaces for a singlg positive charge at origins will be concentric spheres having centre at origin.
(d) The equipotential surfaces for a uniform grid consisting of long equally spaced parallel charged wires in a plane will be of periodically varying shape near grid which slowly reaches the shape of planes parallel to the grid at far off distances.

Question 35.
In a Van de Graff type generator a spherical metal shell is to be 15 x 106 V electrode. The dielectric strength of the gas surrounding the electrode is 5 x 107 Vm-1. What is the minimum radius of the spherical shell required? (You will learn from this exercise why one cannot build an electrostatic generator using a very small shell which requires a small charge to acquire a high potential.)
Answer:
Here, V = potential due to a charged spherical shell
= 15 x 106V.
E = electric field due to a charged shell = 5 x 107 Vm-1
Let r be the required radius of the spherical shell = ?
We know that the electric potential and the electric field charged shell are given by
Bihar Board Class 12 Physics Solutions Chapter 2 Electrostatic Potential and Capacitance - 123
where q = charge on the spherical shell.
Dividing (1) by (2), we get
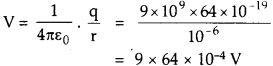
Bihar Board Class 12 Physics Solutions Chapter 2 Electrostatic Potential and Capacitance - 124

Question 36.
A, Small sphere of radius r1 and charge q2 is enclosed by a spherical shell of radius r2 and charge q1 Show that if q2 is positive, charge will necessarily flow from the sphere to the shell (when the two are connected by a wire) no matter what the charge q2 on the shell is.
Answer:
Here r1 r2 are the radii of small sphere and the spherical shell respectively. The shell Surrounds the sphere + q1 is the charge on the sphere. + q2 is the charge on the shell. We know that the electric field
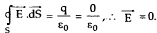
inside a conductor is zero i.e., \(\overrightarrow{\mathrm{E}}\) = 0. Thus according to Gauss’s Theorem,
Bihar Board Class 12 Physics Solutions Chapter 2 Electrostatic Potential and Capacitance - 125
q2 = 0 inside the spherical shell as \(\overrightarrow{\mathrm{E}}\) = 0 inside it.
Bihar Board Class 12 Physics Solutions Chapter 2 Electrostatic Potential and Capacitance - 126
Hence q2 must reside on the outer surface of the spherical shell. Now the sphere having +q1 charge is enclosed inside the spherical shell. So -q1 charge will be induced on the inside side and + q1 charge will be induced on the outer surface the spherical shell.

∴ Total charge on the outer surface of the shell = q2 + q1 As the charge always resides on the outer surface, thus charge q, from the outer surface of sphere will flow to the other surface of spherical shell when connected with a wire.

Question 37.
Answer the following:
(a) The top of the atmosphere is at about 400 kV with respect to the surface of the earth, corresponding to an electric field that decreases with altitude. Near the surface of the earth, the field is about 100 Vm-1. Why then do we not get an electric shock as we step out of our house into the open? (Assume the house to be steel cage so there is no field inside!)

(b) A man fixes outside his house one evening a two metre high insulting slab carrying on its top a large aluminium sheet of area 1 m2. Will he get an electric shock if he touches the metal sheet next morning?

(c) The discharging current in the atmosphere due to the small conducting of air is known to be 1800 A on an average over the globe. Why then does the atmosphere not discharge itself completely in due course and become electrically neutral? In other words, what keeps the atmosphere charged?

(d) What are the forms of energy into which the electrical energy of the atmosphere is dissipated during a lightning?
[Hint: The earth has an electric field of about 100 Vm-1 at its surface in the downward direction, corresponding to a surface charge density = -10-9 C m-2. Due to the slight conductivity of the atmosphere up to about 50 km (beyond which it is good conductor), about +1800 C is pumped every second into the earch as a whole. The earth, however, does not get discharged since thunderstorms and lightning occurring continually all over the globe pump an equal amount of negative charge on the earth.]
Answer:
(a) Our body and the earth become an equipoJtential surface which means that there is no potential difference between the earth and our body. Hence as we come out from our house into open, original equipotential surfaces of open air change in such a way that the head and ground remain at the same potential. Thus no current flows through our body and therefore we don’t experience an electric shock.

(b) Yes, he will get an electric shock if he touches the metal sheet next morning. This is because the aluminium sheet and the earth form a capacitor with the insulating slab as a dielectric. The down pour of the atmospheric charge will raise the potential of the sheet of aluminium, i.e., it gets charged by the discharging current of 1800 A coming down from the stratosphere. When we touch the aluminium sheet, charge will flow to the earth through our body. This flow of charge constitute an electric current and we will experience a shock.

Bihar Board Class 12 Physics Solutions Chapter 2 Electrostatic Potential and Capacitance

(c) The atmosphere is continuously being charged by lightning and thunder storms all over the globe and maintains an equilibrium with the discharge of atmosphere during normal weather conditions. Hence the atmosphere cannot become electrically neutral.

(d) The electrical energy of the atmosphere is dissipated during lightning in the form of light, heat and sound during thunder storms.

Bihar Board Class 12 Physics Chapter 2 Electrostatic Potential and Capacitance Additional Important Questions and Answers

Very Short Answer Type Questions

Question 1.
Define electric potential at a point.
Answer:
It is defined as the amount of work done in bringing a unit test charge from infinity to that point in the electric field.

Question 2.
Define potential difference?
Answer:
It is defined as the work done in moving a unit test charge from one point to another in the electric field.

Question 3.
Define equipotential surface.
Answer:
It is defined as the surface at which electric potential is same at all points.
Or
It is a surface obtained by joining all those points at which the electric potential is same.

Question 4.
How much work is done in movings 500 pC charge between two points on an equipotential surface?
Answer:
Since the potential difference between two given points on the equipotential surface is zero, hence work done is zero.

Question 5.
Why both electric potential and electric potential difference are scalar quantities?
Answer:
We know that electric potential and potential differece =Bihar Board Class 12 Physics Solutions Chapter 2 Electrostatic Potential and Capacitance - 127 AS work and charge both are scalar quantities, so both electric charge
potential and electric potential difference are scalar quantities.

Question 6.
Does the work done in moving a test charge in an electric field depend upon the path followed between two points? Then on what factors it depends?
Answer:
work done in moving a test charge does not depend upon the nature of path followed between two points in an electric field but it depends upon the initial and final positions of the path followed.

Question 7.
Define one electron volt (1 eV). Give its value.
Answer:
It is defined as the energy acquired by an electron on applying a potential difference of one volt across it.
leV = 1.6 x 10-19J.

Question 8.
Do electrons tend to go to regions of high positive potential or low potential? Why?
Answer:
The electrons tend to go to a region of high potential because they carry negative charge.

Question 9.
Why a man inside an insulated metallic cage does not receive a shock, when the cage is highly charged?
Answer:
A man inside an insulated metallic cage does not recieve a shock as the circuit between him and the cage is not complete, so no current will pass through the body of the man. Hence he will not receive any shock.

Question 10.
Show that JC-1 and volt are the units of the same physical quantity.
Answer:
Volt is the S.I. unit of electric potential.
Also we know that
Bihar Board Class 12 Physics Solutions Chapter 2 Electrostatic Potential and Capacitance - 128
or V = \(\frac {J}{C}\)= JC-1
Hence proved.

Question 11.
In the given diagram what is the work done in moving a point charge from X to point Y and Z respectively?
Answer:
As the points Y and Z lie on the same equipotential surface, so the work done to carry charge from X to Y will be equal to the work done in carrying the charge from X to Z.
Bihar Board Class 12 Physics Solutions Chapter 2 Electrostatic Potential and Capacitance - 129

Question 12.
Will there be any effect on the potential at a point if the medium around this point is changed? Explain.
Answer:
Yes, it will decrease if dielectric constant of the medium is
increased. It is because V ∝ \(\frac {1}{K}\) as V = \(\frac{1}{4 \pi \varepsilon_{0} K} \cdot \frac{q}{r}\)

Question 13.
Two protons A and B are placed between two parallel plates having a potential difference V as shown in the figure. Will these protons experience equal or unequal force?
Answer:
As the electric field due to applied V is uniform through out the plates, so both the protons A and B will experience the same force (-qE).
Bihar Board Class 12 Physics Solutions Chapter 2 Electrostatic Potential and Capacitance - 130

Question 14.
Is it possible to create an electric field in which all the lines of force are parallel lines whose density increases continuously in a direction ⊥. ar to the lines of force? Why?
Answer:
No, it is not possible at all. It is because the work done along the closed path ABCD will not be zero.
Bihar Board Class 12 Physics Solutions Chapter 2 Electrostatic Potential and Capacitance - 131

Question 15.
What is the work done in moving a 2 μC point charge from comer A to B of the square ABCD when a 10 μC charge exists at the centre of the square?
Bihar Board Class 12 Physics Solutions Chapter 2 Electrostatic Potential and Capacitance - 132
Answer:
Work done will be zero as the points A and B are at the same potential as OA = OB.

Question 16.
What will be the work done in moving a charge of + 5 μC on the surface of a spherical shell of radius 10 cm having +1μC charge at its centre through a distance of 5 cm?
Answer:
Zero, because all points on the circular path along the surface of the shell are at the same potential.

Bihar Board Class 12 Physics Solutions Chapter 2 Electrostatic Potential and Capacitance

Question 17.
Can we have non-zero electric potential in the space, where electric field strength is zero? Explain.
Answer:
Yes. We know that E =\(\frac {dV}{dr}\)
when E = 0, dV = 0 or V = constant (non-zero).

Question 18.
Electric field is geometrically represented by the lines of forcp How do we represent the electric potential geometrically?
Answer:
Electric potential is geometrically represented by equipotential surtax.

Question 19.
Does the positive or negative nature of electric potential depend upon the nature of test charge? Explain.
Answer:
No. It does not depend upon the nature of test charge but ‘ certainly depends on the nature of source charge.

Question 20.
Explain that the potential is the degree of electrification of a body.
Answer:
We know that V oc q. V increases with the increase of charge on the body. Thus a body at higher potential possesses more charge than ‘ when it is at lower potential. Hence potential is the degree of electrification ‘ of a body.

Question 21.
Give an example of non-zero potential at a point where the electric field is zero.
Answer:
Electric field at a point mid-way between two equal and similar charges is zero, but the electric potential is twice of the potential due to a single charge.
Bihar Board Class 12 Physics Solutions Chapter 2 Electrostatic Potential and Capacitance - 13

Question 22.
Define capacitance. What is its S.I. unit?
Answer:
It is defined as the ability of a conductor to store charge. It is also defined as the ratio of electric charge on it to its electric potential. S.I. unit of capacitance is farad (F).

Question 23.
Why electrical conductivity of earth’s atmosphere increases with altitude?
Answer:
The ionization of atmosphere increases with height. Thus due to increase of ionization, conductivity of atmosphere increases.

Question 24.
On what factors does the capacitance of a parallel plate capacitor depends?
Answer:
We know that capacitance of a parallel plate capacitor is given by:
C = \(\frac{\varepsilon_{0} \mathrm{~A}}{\mathrm{~d}}\) for air
ε 0K \(\frac {A}{d}\)for a dielectric medium.
Thus C depnds upon :
(i) Area of plates i.e., C ∝ A
(ii) distance between the plates i.e., C ∝\(\frac {1}{d}\)
(iii) dielectric constant of the medium between the plates i.e., C ∝ ε 0
or C ∝ K

Question 25.
What do you mean by equivalent capacitor?
Answer:
A combination of capacitors in an electric circuit can be replaced by a single capacitor that has the same capacitance as the actual combination of the capacitors. Such a capacitor is called equivalent capacitor.

Question 26.
Can we give any desired amount of charge to a capacitor? Explain.
Answer:
No. The maximum charge that can be given to a capacitor is limited by the dielectric strength of the medium between the two plates of the capacitor.

Question 27.
Why is a parallel plate capacitor named so?
Answer:
It is named so because it is made of two parallel conducting plates placed parallel to each other.

Bihar Board Class 12 Physics Solutions Chapter 2 Electrostatic Potential and Capacitance

Question 28.
In what form is the energy stored in a charged capacitor?
Answer:
The energy is stored in the form of electric field between the two plates i.e., in the form oTelectric energy in a charged capacitor.

Question 29.
Define dielectric strength of the medium.
Answer:
It is defined as the maximum value of electric field that a dielecric can with stand, without the break down of the dielectric.

Question 30.
Define dielectric constant of a medium in forms of the capacitance of the capacitor.
Answer:
It is defined as the ratio of the capacitance of capacitor with a dielectric medium between its plates to its capacitance with air between theplatesz.e.,
K = \(\frac{C}{C_{0}}\)

Question 31.
Why the Van-de-Graff generator is enclosed inside an earth connected steel tank filled with air under pressure?
Answer:
It is done to prevent the leakage of charge due to ionisation of air surrounding the large shell because of very high voltage of the generator. The air under pressure, as soon as free ions are produced, they recombine to form neutral air molecules.

Question 32.
The dielectric constant of a conductor can be taken to be infinitely large, infinitely small or optimum. Which of the three alternatives is correct?
Answer:
When a conductor is placed inside’an electric field, the field lines inside the conductor become zero. The dielectric constant which is the ratio of the strength of applied electric field to the reduced value of electric field (\(\left(\mathrm{K}=\frac{\mathrm{E}_{0}}{\mathrm{E}}\right)\) will be infinate as E = 0

Question 33.
An uncharged insulated conductor A is brought near a charged insulated conductor B. What happens to charge and potential
Answer:
The charge on conductor B remains the same, but its potential gets lowered.

Question 34.
‘How does a dielectric differ from an insulator?
Answer:
Both the dielectrics and insulators cannot conduct electricity. But in case of dielectric, when an external electric field is applied, induced charges appear on the faces of the dielectric. In other words, the d ielectrics have theproperty of transmitting electric effects without conducting.

Question 35.
What will be the effect of introducing a dielectric medium having dielectric consant K between the plate of a parallel plate capacitor on:
(a) the charge on the plates
(b) potentials difference between the plates
(c) electric field between the plates
(d) capacitance of capacitor
(e) electrostatic energy (v) stored in the capacitor.
Answer:
(a) Charge on plates remains same.
(b) Potential difference between the plates decreases as V = E x d and E decreases.
(c) Electric field between the plates decreases.
(cl) Capacitance (C = \(\frac{q}{V}\) ) increases on introduction of dielectric medium between the plates.
(e) U = \(\frac{1}{2}\) qV as U ∝ V, so U also decreases.

Question 36.
Name three polar and three non-polar molecules.
Answer:
HCl, H2O and NH3 are three polar molecules while N2, O2 and CH4 are non-polar molecules.

Question 37.
What is the value and direction of electric field at the surface earth?
Answer:
The value of electric field at the surface of earth is about 100 Vnr1 and it acts in the downward direction.

Question 38.
The unit of electrostatic energy density is Jm-3, which is the same as Pa, the unit of stress or pressure. Is this merely accidental?
Answer:
No. Energy density in parallel plate capactor is  Bihar Board Class 12 Physics Solutions Chapter 2 Electrostatic Potential and Capacitance - 133
=\(\frac{\mathrm{F} \times \mathrm{d}}{\mathrm{A} \times \mathrm{d}}\) = \(\frac{F}{A}\) = Pressure on either plate.

Question 39.
What is the role of evaporation in atmospheric electricity ?
Answer:
It contributes towards the atmospheric electricity. Evaporation is continuously taking place from surface of water in seas and rivers. The water vapours moving up carry + ve charge while an equivalent amount of – ve charge is left behind.

Question 40.
The field lines due to a + q and – q charge are shown in figure given here. Give the sign of potential difference (VP – VQ) and (VB-VA).
Answer:
As Vp > Vq
∴ Vp – VQ > 0 or + ve.
Also as charge is – ve,
∴VA < VB. or VB – VA > 0 or + ve.
Bihar Board Class 12 Physics Solutions Chapter 2 Electrostatic Potential and Capacitance - 134

Question 41.
Give the sign of P.E. difference between the charges Q and P, A and B in above figure.
Answer:
We know that the work done in the direction of electric field
\(\overrightarrow{\mathrm{E}}\) is + ve and the work done against \(\overrightarrow{\mathrm{E}}\) is – ve.
∴ (P.E.)Q – (P.E.)P > 0 or + ve
Similarly (P.E.)A – (P.E.)B > 0.

Question 42.
Does the K.E. of a small – ve charge increases or decreases in going from point B to A?
Answer:
As P.E. of – ve charge ingreases in moving from point B to A, so K.E. decreases from B to A.

Short Answer Type Questions

Question 1.
What do you mean by saying that electrostatic field in conservative in nature?
Answer:
An electric field is said to be conservative if :
(i) Line integral of electric field between two given points is independent of the nature of path followed.
(ii) Line integral of electric field along a closed path is zero.

Question 2.
Show that the line integral of an electric field along a closed path is zero.
Answer:
Let AaBbA be a closed path in the electric field of the point charge + q lying at origin O in free space. Also let \(\overrightarrow{\mathrm{r}_{\mathrm{A}}}\) and \(\overrightarrow{\mathrm{r}_{\mathrm{B}}}\) be the position vectors of point A and B respectively.
Bihar Board Class 12 Physics Solutions Chapter 2 Electrostatic Potential and Capacitance - 135

line integral of electric field \(\overrightarrow{\mathrm{E}}\) between the points A and B along path a is given by:
Bihar Board Class 12 Physics Solutions Chapter 2 Electrostatic Potential and Capacitance - 136
Similarly line integral of electric field E between points B and A along path b is given by:
Bihar Board Class 12 Physics Solutions Chapter 2 Electrostatic Potential and Capacitance - 137
Bihar Board Class 12 Physics Solutions Chapter 2 Electrostatic Potential and Capacitance - 138
Bihar Board Class 12 Physics Solutions Chapter 2 Electrostatic Potential and Capacitance - 139

Question 3.
Derive expression for electric potential at a point due to a point charge.
Answer:
Let q be a point charge lying at point O. Let rA be the distance of point A from q at which electric potential is to be calculated. Bring a test charge q0 from ∞ to A. Let it reach to a point P at a distance r from q.
If \(\overrightarrow{\mathrm{F}}\) be the force on q0 at P due to q. Then \(\overrightarrow{\mathrm{F}}\) = q0 \(\overrightarrow{\mathrm{E}}\) and acts along
\(\overrightarrow{\mathrm{E}}\) where \(\overrightarrow{\mathrm{E}}\) = electric field at P due to q = \(\frac{1}{4 \pi \varepsilon_{0}} \cdot \frac{\mathrm{q}}{\mathrm{r}^{2}} \hat{\mathrm{r}}\) ………..(1)
Bihar Board Class 12 Physics Solutions Chapter 2 Electrostatic Potential and Capacitance - 140
If dW be the work done in moving q0 from P to Q by \(\overrightarrow{\mathrm{dr}}\) , then
dW = \(\overrightarrow{\mathrm{F}}\) . \(\overrightarrow{\mathrm{dr}}\) = F. dr cos 180°
(∴ \(\overrightarrow{\mathrm{F}}\) = acts opposite to \(\overrightarrow{\mathrm{dr}}\) )
= F.dr(-l) (∴ cos 180° = -1)
= – q0E dr …..(2)

If WA be the total work done in moving q0 from oo to A, then
Bihar Board Class 12 Physics Solutions Chapter 2 Electrostatic Potential and Capacitance - 141
Bihar Board Class 12 Physics Solutions Chapter 2 Electrostatic Potential and Capacitance - 142
If VA be the electric potential at A then bÿ df.
Bihar Board Class 12 Physics Solutions Chapter 2 Electrostatic Potential and Capacitance - 144
If VA be the electric potential at A, then by del.
Bihar Board Class 12 Physics Solutions Chapter 2 Electrostatic Potential and Capacitance - 144
in general if V be the potential at a point at a distance r from q0
V = \(\frac{1}{4 \pi \varepsilon_{0}} \cdot \frac{\mathrm{q}}{\mathrm{r}}\)

Question 4.
Derive the relation between \(\overrightarrow{\mathrm{E}}\) and potential gradient or Prove that E = – \(\frac{dV}{dr}\)
Bihar Board Class 12 Physics Solutions Chapter 2 Electrostatic Potential and Capacitance - 145
Answer:
Let q be a point charge placed at a point O.
Let P and Q be the two points in the electric field \(\overrightarrow{\mathrm{E}}\) of charge +q.
Let \(\overrightarrow{\mathrm{F}}\) = force on q0 at P.
\(\overrightarrow{\mathrm{F}}\) = q0\(\overrightarrow{\mathrm{E}}\) …..(1)
\(\overrightarrow{\mathrm{dr}}\)= displacement vector from P to Q, let dV be the potential difference between the points P and Q.
Move a test charge q0 from P to Q.
If dW be the work done in moving q0 from P to Q, then
dW = \(\overrightarrow{\mathrm{F}}\) . \(\overrightarrow{\mathrm{dr}}\) = q0 . \(\overrightarrow{\mathrm{E}}\) . \(\overrightarrow{\mathrm{dr}}\) = q0 E dr cos 180°
= -q0E dr (∴ cos 180° = – 1).
or \(\frac{\mathrm{d} \mathrm{W}}{\mathrm{q}_{0}}\) = -E.dr
(∴ dV = \(\frac{\mathrm{d} \mathrm{W}}{\mathrm{q}_{0}}\) = Potential difference bçtween P and Q)
or dV = – E dr’
or E = –\(\frac{dV}{dr}\)
which is the required relation.
Here-ve sign shows that E acts in the direction in which electric potential decreases.

Bihar Board Class 12 Physics Solutions Chapter 2 Electrostatic Potential and Capacitance

Question 5.
How electric potential gradient varies with the direction of electric field?
Answer:
Let θ = angle made by \(\overrightarrow{\mathrm{dr}}\) with \(\overrightarrow{\mathrm{E}}\) .
If \(\overrightarrow{\mathrm{E}_{\mathrm{r}}}\) be the component of \(\overrightarrow{\mathrm{E}}\) along ,
\(\overrightarrow{\mathrm{dr}}\) , then
Er = E cos θ
Bihar Board Class 12 Physics Solutions Chapter 2 Electrostatic Potential and Capacitance - 146

If \(\frac{dV}{dr}\) be the potential gradient from P toO, then using the relation,
dE = \(\frac{dV}{dr}\) ,we get
Er = E cos θ = – \(\frac{dV}{dr}\)
i.e., component of electric field in any direction is equal to the negative of the rate of change of potential gradient.

Now E cos θ will be maximum when θ = 0 or cos 0 = 1 i.e., \(\overrightarrow{\mathrm{dr}}\) must be along \(\overrightarrow{\mathrm{E}}\) .
Thus potential gradient is maximum with – ve sign in the direction of \(\overrightarrow{\mathrm{E}}\).
When θ = 90°, Er = 0 or \(\frac{dV}{dr}\) = 0 or V = constant,
which means that the potential gradient is zero perpendicular to the direchon of \(\overrightarrow{\mathrm{E}}\) . As we move perpendicular to \(\overrightarrow{\mathrm{E}}\) there is no change inV.

Question 6.
What are properties of equipotential surfaces?
Answer:
Following are the properties of equipotential surfaces:
(i) No work is done in moving a test charge over an equipotential surface from one point to another.
(ii) The electric field is always perpendicular to the equipotential surface.
(iii) The equipotential surfaces help us to distinguish regions of strong field from those of weak field.
(iv) The equipotential surfaces tell us the direchon of electric field. – (v) No two equipotential surfaces intersect each other.

Question 7.
Calculate electric potential at a point due to an electric dipole on its axial line. Also find it for a short dipole.
Answer:
Let p = 2aq be the dipole moment of an electric dipole of length 2a.
r = distance of the point P from its centre (O) on the axial line at which its potential is to be calculated.
Bihar Board Class 12 Physics Solutions Chapter 2 Electrostatic Potential and Capacitance - 147
Let V1 and V2 be the potential at P due to – q and + q respectively,
then
V1 = \(\frac{1}{4 \pi \varepsilon_{0}} \cdot \frac{-q}{A P}\) = \(\frac{1}{4 \pi \varepsilon_{0}} \cdot \frac{-q}{r+a}\)
(∵ AP = a + r and BP = OP – OB = r – a)
Bihar Board Class 12 Physics Solutions Chapter 2 Electrostatic Potential and Capacitance - 148
Let the dipole is rotated from initial position of θ1 to final position θ2
If W = total work done in rotating the dipole from θ1 to θ2 then
Bihar Board Class 12 Physics Solutions Chapter 2 Electrostatic Potential and Capacitance - 149
This work done is stored in the dipole in the form of potential energy (U) i.e.,
U = W = -pE (cos θ2 – cos θ1) …….(4)

Question 9.
Prove that (i) U = pE (1 – cos θ), (ii) U = – \(\overrightarrow{\mathrm{P}}\) . \(\overrightarrow{\mathrm{E}}\) when the symbols have their usual meaning.
Answer:
We know that the energy stored in an electric dipole placed in a uniform electric fields \(\overrightarrow{\mathrm{E}}\) is given bv
U = – pE (cos 02 – cos 0j)
(i) If the dipole initially aligned with \(\overrightarrow{\mathrm{E}}\) is rotated by an angle θ, then θ1, = 0, θ1, = 0
.’. From (1), we get
U = – pE (cos θ – cos θ)
= – pE (cos θ – 1)
or U = pE (1 – cos 9)
Hence proved.
(ii) If an electric dipole initially perpendicular to \(\overrightarrow{\mathrm{E}}\) be rotated by an angle θ1, then
θ1 = 90°, θ2 = θ1
.’. From (1) we get
U = – pE (cos θ – cos 90°)
= – pE (cos θ – 0)
= – pE cos θ
or U = – \(\overrightarrow{\mathrm{P}}\) . \(\overrightarrow{\mathrm{E}}\) Hence proved.

Question 10.
Derive how line integral of electrical field between two given points is related to the potentials of those points?
Answer:
We know that the line integral of electric field between two points A and B is given by
Bihar Board Class 12 Physics Solutions Chapter 2 Electrostatic Potential and Capacitance - 150
where \(\overrightarrow{\mathrm{E}}\) = electric field of the source charge q placed at origin.
\(\overrightarrow{\mathrm{r}_{\mathrm{A}}}\) and \(\overrightarrow{\mathrm{r}_{\mathrm{B}}}\) are the position vectors of the points A and B w.r.t. q. If VA and VB be the electric potentials at A and B respectively, then
Bihar Board Class 12 Physics Solutions Chapter 2 Electrostatic Potential and Capacitance - 151
i.e., Potential difference between two points B and A in an electric field is negative of the line integral of electric field between the two points.

Question 11.
Define potential energy of a system of point charges. Calculate potential energy due to a system of two point charges.
Answer:
It is defined as the amount of work done in bringing the point charges constituting the system from infinity to their respective locations.
Derivation : Let \(\overrightarrow{\mathrm{r}_{\mathrm{1}}}\) and \(\overrightarrow{\mathrm{r}_{\mathrm{2}}}\) be the position vectors of two point charges q1 and q2 lying in free space at point A and B respectively. To calculate the potential energy of two charges, remove them from their locations and take them to infinity. Now bring them one by one from infinity to their respective locations.
Bihar Board Class 12 Physics Solutions Chapter 2 Electrostatic Potential and Capacitance - 152
First bring q1 from infinity to its location A. No work is done in doing so as it is moved in a field free region. Now bring q2 from oo to B. It is moved against the field of q3 at A. Hence work has to be done.
If W12 be the work done in moving q2 in the field of q1 then
W12 = (electric potential of q1 at B) x charge q2
Bihar Board Class 12 Physics Solutions Chapter 2 Electrostatic Potential and Capacitance - 153
This work done is stored in the system in the form of electric potential energy ( = U) i.e.,
Bihar Board Class 12 Physics Solutions Chapter 2 Electrostatic Potential and Capacitance - 154

Question 12.
Calculate potential energy of three point charge system.
Answer:
Let \(\overrightarrow{\mathrm{r}_{\mathrm{1}}}\) , \(\overrightarrow{\mathrm{r}_{\mathrm{2}}}\) , \(\overrightarrow{\mathrm{r}_{\mathrm{3}}}\) be the position vectors of q1 q2, q3 charges lying at points A, B and C respectively. Now take them to infinity and bring them one by one from infinity to their locations.
Bihar Board Class 12 Physics Solutions Chapter 2 Electrostatic Potential and Capacitance - 155
(i) First of all bring q1 from ∝ to A no work is done in doing so.
(ii) Now bring q2 from infinity to its location \(\overrightarrow{\mathrm{r}_{\mathrm{2}}}\) at B. If W12 be the work done in moving q2 from ∝ to its location, then as proved in Q. 11,
Bihar Board Class 12 Physics Solutions Chapter 2 Electrostatic Potential and Capacitance - 156
(iii) Now bring qj from infinity to its location \(\overrightarrow{\mathrm{r}_{\mathrm{3}}}\) .
If W13 and W23 be the work done in moving in the field of q1 and q2 respectively, then
Bihar Board Class 12 Physics Solutions Chapter 2 Electrostatic Potential and Capacitance - 157
If W be the total work done in bringing three charges from ∝ to their locations, then
Bihar Board Class 12 Physics Solutions Chapter 2 Electrostatic Potential and Capacitance - 158
The factor \(\frac{1}{2}\) has been introduced for the reason that when the . potential energy of three charges is expressed in summation form, each term gets counted twice. This work done is stored in the system in the form of potential energy.
Bihar Board Class 12 Physics Solutions Chapter 2 Electrostatic Potential and Capacitance - 159

Question 13.
Derive the expression for capacitance of an isolated sphere.
Answer:
Let r be the radius of an isolated sphere of centre O having charge q on it. Let it be lying in free space. The charge q given to it spreads over its surface but the sphere acts as charge being concentrated at its centre. If V be the potential at any point on the surface of the spherical conductor,
Bihar Board Class 12 Physics Solutions Chapter 2 Electrostatic Potential and Capacitance - 160
if C  be its capcitance, then
Bihar Board Class 12 Physics Solutions Chapter 2 Electrostatic Potential and Capacitance - 161
If it is placed in any medium of dielectric constant K, then equation
(2), becomes
C = 4πε0r

Question 14.
Define capacitor.
Answer:
A capacitor is a device used for storing large quantity of charge. A given conductor cannot be charged to any extent. After certain limit, change given to the conductor leakes away into the atmosphere. Capacity of a given conductor is a limit to which it can acquire charge. Capacitor or condensor is an arrangement of conductors by which capacity of a given conductor can be increased.

Bihar Board Class 12 Physics Solutions Chapter 2 Electrostatic Potential and Capacitance

Question 15.
Calculate the work done in rotating a dipole having dipole moment \(\overrightarrow{\mathrm{p}}\) placed along \(\overrightarrow{\mathrm{E}}\) by an angle 180°.
Answer:
We know that the work done in rotating the dipole from angle θ1 to θ2 is given by
W = -pE (cos θ2 – cos θ1) ………..(1)
When the dipole is rotated from its initial position parallel to \(\overrightarrow{\mathrm{E}}\) to 180°.
Then here
θ1 = 0° and θ2 = 180° ….(2)
∴ From (1) and (2), we get
W = – pE (cos 180° – cos 0)
= – pE (-1 – 1)
(∴ cos 0° = 1, cos 180° = – 1)
or W = 2pE

Question 16.
Explain the principle of capacitor.
Answer:
Consider an isolated metal plate A. Let it be given a + ve charge till its potential becomes maximum. It will not hold any more charge over it. Now place another uncharged metallic plate B near plate A. Due to induction – ve and + ve charge will be induced on the nearer and farther faces respectively and the potential of A gets lowered due to induced – ve charge on B and a bit raised due to + ve charge on B. As – ve is nearer than + ve induced charge, so the potential of plate A is lowered.

Now connect plate B to earth. The induced + ve charge on plate B will flow to the earth and – ve remains on plate B which lowers the potential of A be larger amount. In order to raise the plate A again to the same potential, a large amount of charge has to be given to it. Thus it follows that the capacitance of a conductor gets increased greatly when an earth connected conductor is placed near it. It forms the principle of capacitor.
Bihar Board Class 12 Physics Solutions Chapter 2 Electrostatic Potential and Capacitance - 162

Question 17.
Derive the expression for capacitance of a parallel plate capacitor.
Answer:
Let d be the distance between the two parallel plates P and Q of the capacitor.
A = Area of each plate
+ q = charge given to plate P.
– q = charge induced on the inner face of earthed plate Q.
Bihar Board Class 12 Physics Solutions Chapter 2 Electrostatic Potential and Capacitance - 163
If + σ be the surface charge density of plate P and – σ that of Q. Then the electric field E produced between the plates is given by
Bihar Board Class 12 Physics Solutions Chapter 2 Electrostatic Potential and Capacitance - 164
Let V = potential difference between the plates,
Then
Bihar Board Class 12 Physics Solutions Chapter 2 Electrostatic Potential and Capacitance - 165
If C be the capacitance of the parallel plate capacitor, then
Bihar Board Class 12 Physics Solutions Chapter 2 Electrostatic Potential and Capacitance - 166
If a medium of dielectric constant K is placed between the plates,
C = \(\frac{\varepsilon_{0} \mathrm{KA}}{\mathrm{d}}\)

Question 18.
Derive the expression for equivalent capacitance of series combination of capacitors.
Answer:
When capacitors are connected end to end, then they are said to be in series grouping. Charge remains same on each capacitor but the potential difference is different for series grouping.
Let C1, C2 and C3, be the capacitances of the three capacitors connected in series between the points A and B.
Bihar Board Class 12 Physics Solutions Chapter 2 Electrostatic Potential and Capacitance - 167
V = P.D. applied across the combmation
Let q = charge stored across each capacitor.
if V1, V2 and V3 be the potential differences across each capacitor respectively, then
Bihar Board Class 12 Physics Solutions Chapter 2 Electrostatic Potential and Capacitance - 168
Let C be the equivalent capacitance of the combination.
V = \(\frac {q}{c}\)
From (1), (2), (3), we get
Bihar Board Class 12 Physics Solutions Chapter 2 Electrostatic Potential and Capacitance - 169
Thus from equation (4), we see that the reciprocal of the equivalent capacitance of the series combination is equal to the sum of reciprocals of the capacitances of the individual capacitors.

Question 19.
Derive the expression for equivalent capacitance of the parallel grouping of capacitors.
Answer:
When two or more capacitors are connected between two common points, then they are said to be connected in parallel. Potential difference across each remains same but charges across each of them are different in such grouping.
Let three capacitors having capacitances C1, C2 and C3 be connected in parallel two points A and B.
Bihar Board Class 12 Physics Solutions Chapter 2 Electrostatic Potential and Capacitance - 170
V = Potential difference applied across the combination.
If q1, q2 and q3be the charges stores across each of them, then
q1 = C1V, q2 = C2V, q3 = C3V ………(1)

Also let C 1e thequivaint capacitance of the parallel grouping.
If q be the total charge on C, then
q = q1 + q2 + q3 ………..(2)
Also q = CV ……….(3)
∴ From (1), (2) and (3), we get
CV = C1V + C2V + C3V
or C = C1 + C2 + C3 ……….(4)
Thus from (4), we see that equivalent capacitance of parallel grouping is equal to the same of the capacitance of individual capacitors connected in parallel.

Question 20.
Define polarisation.
Answer:
It is defined as the process of stretching of dielectric atoms due to the displacement of charges in the atoms under the action of applied electric field. This stretching of atoms continues till the restoring force becomes just equal and opposite to the force exerted by the applied electric field on the charges. Thus C.G. of + ve nucleus does not coincide with the C.G. of electrons that are – vely charged due to this stretching and the atom thus acquires a dipole moment.

Bihar Board Class 12 Physics Solutions Chapter 2 Electrostatic Potential and Capacitance

Question 21.
What are the uses of capacitors?
Answer:

  • The following are the uses of capacitors in an electronic and an electric circuit:
  • They are used as potential dividers for measuring potential difference.
  • They are used to store charge which is used for rectifiers.
  • They are used for storing electric energy which can provide strong electric field in a small region.
  • They are used for providing time delay in electric current.
  • They are used to reduce voltage fluctuation.
  • They are used for generating electromagnetic oscillations.

Question 22.
Name various layers of atmosphere with their characteristics.
Answer:
Atmosphere is divided into following four layers :
(i) Troposphere : It extends upto 12 km from earth’s surface. All atmospheric changes that we call weather occur in this layer. It is the densest layer of atmosphere being the lowest one. The temperature at its top is nearly – 50 °C while on earth’s surface, it is 15°C. The density of air on earth’s surface is p0 = 1.29 kg m-3 which falls to \(\frac{\rho_{0}}{10}\) at the top of this layer.

(ii) Stratosphere : It extends from 12 km to 50 km above earth’s surface. The temperature increases uniformly from – 50° C (223 K) to 10°C (283 K) and density decreases from \(\frac{\rho_{0}}{10}\) to \(\frac{\rho_{0}}{10}\) This is a stormless region with clear sky.

(iii) Mesosphere – It extends from 50 km to 80 km above earth’s surface. The temperature falls from 10°C to – 93°C and density falls from \(\frac{\rho_{0}}{10^{3}}\) to \(\frac{\rho_{0}}{10^{5}}\)

(iv) Ionosphere – It extends from 80 km to 300 km above earth’s surface. The temperature rises uniformly from 180 K to 700 K and density falls from \(\frac{\rho_{0}}{10^{5}}\) to \(\frac{\rho_{0}}{10^{10}}\)The air in this layer is ionized due to UV rays and Cosmic rays. This layer is very useful in radio transmission as it reflects the radio waves.

Question 23.
What are electrical properties of atmosphere?
Answer:
Following are the electrical properties of atmosphere:
(i) The top of the stratosphere and the surface of earth form a spherical capacitor having its capacitance given by
C = \(\frac{4 \pi \varepsilon_{0} \text { ab }}{(b-a)}\)
where a = radius of earth = 6400 x 103 m
b = radius of the top of stratosphere = 6400 + 50
= 6450 x 103m
Bihar Board Class 12 Physics Solutions Chapter 2 Electrostatic Potential and Capacitance - 172
= 0.1F.

(ii) The surface of earth is an equipotential surface having – ve surface charge density – σ given by
σ = ε0E = 8.85 x 10-12 x 102 = 10-9 cm2.

(iii) The total charge on whole of earth’s surface is given by
σ = ε0E x 4πa2 = – 10-9 x 4π (6.4 x 106 m)2
= -0.51 x 106C ≈ -10+6C.

(iv) The average value of the electric field on the surface of earth is 10Q V m-1 in downward direction.

(v) The charge on the top of stratosphere is q ≈ + 10+6 C.

(vi) The pot. diff. between the surface of earth and the top of stratosphere is given by
V = \(\frac{\mathrm{q}}{\mathrm{C}}=\frac{10^{6}}{0.1}\) = 107 V.

(vii) Due to downward electric field, + ve ions are constantly coming ‘ down to earth and – ve ions flow upward. This gives rise to an average current of about 3.5 x 10-12 Am-2.

(viii) The net charge flowing/second in earth
I = 4πa2 x 3.5 x 10-12
or I = Aπ x (6.4 x 106)2 x 3.5 x 10-12
or I = 1800 Cs-1.
(ix) Time taken by earth to become neutral is given b
t = \(\frac{q}{I}=\frac{10^{6}}{100}\) = 556 S ≈ 10 min.

Bihar Board Class 12 Physics Solutions Chapter 2 Electrostatic Potential and Capacitance

Question 24.
Define Polarisation density of dielectric. How is it related to atomic polarizability (a) and electric susceptibility of the dielectric slab?
Answer:
It Is defined as the induced dipole moment developed per unit volume on placing it inside the electric field. It is denoted by \(\overrightarrow{\mathrm{P}}\).
Relation between \(\overrightarrow{\mathrm{P}}\) and a – Let N = no. of atoms per unit volume
of the dielectric, \(\overrightarrow{\mathrm{P}}\) = induced dipole moment of an atom.
∴ By def \(\overrightarrow{\mathrm{P}}\) = N \(\overrightarrow{\mathrm{P}}\)
\(\overrightarrow{\mathrm{P}}\) (induced dipole moment per atom) is found to be directly proportional to the reduced value of the electric field (\(\overrightarrow{\mathrm{E}}\)) i.e., \(\overrightarrow{\mathrm{P}}\) = ∝ ε0 \(\overrightarrow{\mathrm{E}}\).
\(\overrightarrow{\mathrm{P}}\) = N ∝ ε0\(\overrightarrow{\mathrm{E}}\)
∝ is the proportionality constant known as atomic polarizability.

Relation between \(\overrightarrow{\mathrm{P}}\) and X – \(\overrightarrow{\mathrm{P}}\) of a dielectric slab is directly proportional to the reduced value of electric field and is expressed as
\(\overrightarrow{\mathrm{P}}\) = X ε0\(\overrightarrow{\mathrm{E}}\)
where X is proportionality constant called electric susceptibility of the dielectric slab.

Question 25.
Define dielectric constant in terms of fields. Derive the relationship between K, X and a.
Answer:
Dielectric constant – It is defined as the ratio of the applied electric field to the reduced value of the electric field on placing the dielectric slab between the plates of the capacitor. It is denoted by K. Mathemaitcally,
E = \(\frac{\mathrm{E}_{0}}{\mathrm{E}}\) ………(1)
Relation between K and ∝ – We know that
P = N ∝ ε0 E ……….(2)
Bihar Board Class 12 Physics Solutions Chapter 2 Electrostatic Potential and Capacitance - 173
From (1) and (4), we get
K = 1 + N∝ ………..(5)
Relation between K and X – We know that
P = X ε0 E ………(6)
∴ From (3) and – (5) we,get.
E = E0 – x \(\frac{\varepsilon_{0} \mathrm{E}}{\varepsilon_{0}}\)
E0 = (1 + x)E or K = 1 + x ……(7)
(5) and (7) are the required relations.

Question 26.
Derive the expression for capacitance of a parallel plate Capacitor with a conducting slab between its plates?
Answer:
Consider a parallel plate capacitor formed by plates P and Q.
Bihar Board Class 12 Physics Solutions Chapter 2 Electrostatic Potential and Capacitance - 174
Let A = Area of each plate
d = distance between the plates.
q = charge on each plate having surface charge density a.
If C0 be its capacitance with vacuum between the plates, then
C0 = \(\frac{\varepsilon_{0} \mathrm{~A}}{\mathrm{~d}}\) ……….(1)
Let E0 = electric field between the plates
\(\frac{\sigma}{\varepsilon_{0}}=\frac{\mathrm{q}}{\varepsilon_{0} \mathrm{~A}}\) ……..(2)
Let us now introduce a conducting slab of thickness t ( < < d) between the plates. As electric field inside a conducting medium is always zero.
∴ E = 0. Now E0 exists only in a region of thickness (d – t).
If V = potential difference between the plates, then
V = E0 (d – t) = \(\frac{\mathrm{q}}{\varepsilon_{0} \mathrm{~A}}\) (d – t) …..(3)
If C be the capacitance of the capacitor in presence of the conducting slab, then
Bihar Board Class 12 Physics Solutions Chapter 2 Electrostatic Potential and Capacitance - 175
which is the required expression for C.

Question 27.
Prove that capacitance of capacitor in Q. 26. increases with the introduction of conducting slab and it becomes infinite if the slab completely fills the whole space between the plates.
Answer:
We know that
C = \(\frac{C_{0}}{\left(1-\frac{t}{d}\right)}\) …….(1)
Now as t < < d in Q. 26.
so \(\frac{t}{d}\) << 1 or 1 – \(\frac{t}{d}\) < < 1
Thus \(\frac{1}{1-\frac{t}{d}}>>1\) ………(2)
∴ From (1) and (2), we conclude that
C > C0
i.e., the capacitance of the capacitor is increased on inserting a conducting slab between its plates.
If t = d i.e., if the slab fills the whole space between the plates, then
1 – \(\frac{t}{d}\) = 1 – \(\frac{t}{d}\) = 1 – 1 = 0
From (1), C = \(\frac{\mathrm{C}_{0}}{0}\)
0r C = ∞ Hertce proved.

Bihar Board Class 12 Physics Solutions Chapter 2 Electrostatic Potential and Capacitance

Question 28.
Derive the expression for capacitance of a parallel plate capacitor with a dielectric slab between its plates.
Answer:
Let C0 be the capacitance of a parallel plate capacitor with vacuum between the plates
Bihar Board Class 12 Physics Solutions Chapter 2 Electrostatic Potential and Capacitance - 176
Where A = area of each plate
d = distance between the plates
Let q = charge on its each plates
σ = surface charge density of each plate = \(\frac{q}{A}\)
If E0 = electric field between the plates with vaccum in between;
then
E0 = \(\frac{\sigma}{\varepsilon_{0}}=\frac{q}{\varepsilon_{0} A}\) ………(2)
Let us now introduce a dielectric slab having dielectric constant K of thickness t (< d) between the plates. If E be the reduced value of electric field in the dielectric,
then E = \(\mathrm{E}_{0}-\frac{\mathrm{P}}{\varepsilon_{0}}\) ………(3)
Let V be the potential difference between the two plates of the capacitor, then
Bihar Board Class 12 Physics Solutions Chapter 2 Electrostatic Potential and Capacitance - 177

If C be the capacitance of the capacitor in in presence of dielectric slab, then
Bihar Board Class 12 Physics Solutions Chapter 2 Electrostatic Potential and Capacitance - 178
which is the required expression.

Question 29.
What will happen to C if whole space is filled with dielectric slab in Q. 28. and hence define K.
Answer:
From Q. 28, we know that
Bihar Board Class 12 Physics Solutions Chapter 2 Electrostatic Potential and Capacitance - 179
If the slab completely fills the space between the plates, then t = d
∴ From (1),
Bihar Board Class 12 Physics Solutions Chapter 2 Electrostatic Potential and Capacitance - 180
As K > 1, ∴ C > C0
Thus clearly capacitance of the capacitor increases and becomes K times on introducing a dielectric slab between its plates.

Definition of K –
K = \(\frac{\mathrm{C}}{\mathrm{C}_{0}}\)
It is defined as the ratio of the capacitance of the capacitor with dielectric slab between the plates to the capacitance with vaccum between the plates.

Question 30.
Prove that E = \(\mathrm{E}_{0}-\frac{\mathbf{P}}{\varepsilon_{0}}\) for a dielectric slab where symbols have usual meaning.
Answer:
Consider a parallel plate capacitor having vaccum between its plates each having area A and distance d between them.
Let E0 = applied electrical field between the plates.
σ = surface charge density of each plate
∴ \(\mathrm{E}_{0}=\frac{\sigma}{\varepsilon_{0}}\) ……….(1)
Let us now introduce a dielectric slab between the plates. Each of its molecules gets polarised.
Bihar Board Class 12 Physics Solutions Chapter 2 Electrostatic Potential and Capacitance - 181
Let -q1 and +q1 be the charges produced on its faces as shown in the figure. These charges are called induced charges or charges due to polarisation of the slab. These induced charges set up an electric field Ep inside the dielectric and is called electric field due to polarisation. It acts opposite to E0 and hence the electric field between the plates is reduced.

Thus if \(\overrightarrow{\mathrm{E}}\) be the resultant electric field also called reduced value of electric field, then
E = E0 – Ep
= \(\mathrm{E}_{0}=\frac{\sigma}{\varepsilon_{0}}\) ……..(2)
where σ1 is polarisation surface charge density due to induced charges.

If the slab completely fills the space between the plates, then Volume of slab = Ad.
If P be the polarisation density of the slab, then by def.
Bihar Board Class 12 Physics Solutions Chapter 2 Electrostatic Potential and Capacitance - 182
From (2) and (3), weget
E = \(\mathrm{E}_{0}-\frac{\mathrm{P}}{\varepsilon_{0}}\)
Hence, proved.

Question 31.
State principle of Van-de Graaff generator.
Answer:
It is based on the following:
(i) The electric discharge readily takes place in air or gases at sharp points i.e., pointed conductors.
(ii) As more and more charge is supplied to a hollow conductor, it continues to accept the charge without any limit and is transferred to its outer surface uniformly.

Question 32.
Describe purpose and construction of Van-de-Graff generator.
Answer:
Purpose –
It is an electrostatic generator used to produce a very high potential difference of the order 5 x 106 V for accelerating positively charged particles like protons, deutrons etc. to high speed and energies.
Bihar Board Class 12 Physics Solutions Chapter 2 Electrostatic Potential and Capacitance - 183
Construction –
It consists of a large metallic spherical shell S mounted on two insulating columns CC’. A belt made of an insulating material is made to run over two pulleys P1 and P2 with the help of an electric piotor. A comb C1 is connected to E.H.T. source (≈ 104 V) and sprays + ve ions on the belt which are collected by another metallic comb C2 positioned near the upper end of the belt such that the pointed ends touch the belt and other end is connected to the inner surface of S. Thus C1 and C2 are called spray comb and collecting comb respectively. An ion source is placed in a discharge tube T near the centre of S and target near its lower end. To prevent the leakage, the generator is enclosed in an earthed steel tank filled with air (methane or nitrogen) under pressure.

Bihar Board Class 12 Physics Solutions Chapter 2 Electrostatic Potential and Capacitance

Long Answer Type Question

Question 1.
Derive the expression for:
(a) The energy stored in a capacitor.
(b) The loss of energy on sharing charges by two capacitors.
Answer:
(a) Consider a capacitor of capacitance C. Let it be initially uncharged. When it is connected to a battery, let it be charged to a potential V after some time. If q be the charge on the plates of the capacitor at that time, then
q = CV or V = \(\frac{q}{C}\) …..(1)

Whenever some additional charge is given to the plates of the capacior, some work is always done in doing so. The work done in charging a capacitor is stored in it in the form of electric energy.
If dW be the work done in giving a small charge dq to its plates at a constant V, then
dW = V dq = \(\frac{q}{C}\) dq ……(2)
If W be the total amount of work done in delivering charge q to the capacitor, then
Bihar Board Class 12 Physics Solutions Chapter 2 Electrostatic Potential and Capacitance - 184
This work done is stored in the capacitor in the form of electric potential energy (= U) i.e.,
U = W
or U = \(\frac{1}{2}\) . \(\frac{q^{2}}{C}\)
Bihar Board Class 12 Physics Solutions Chapter 2 Electrostatic Potential and Capacitance - 185

(b) Consider two capacitors having capacitances C1, C2 and respective potentials V1 and V2. If q1, and q2 be the charges on them, then q1 = C1V1 and q2 = C2V2 ……(5)
∴ q = Total charge on the capacitor
q1 + q2 = C1V1 + C2V2 …….(6)
they are connected in parallel by a thin metallic wire.
C = total capacitance of the two capacitors
= C1 + C2 ……(7)

If V be their common potential, then
V = \(\frac{\mathrm{q}}{\mathrm{C}}=\frac{\mathrm{C}_{1} \mathrm{~V}_{1}+\mathrm{C}_{2} \mathrm{~V}_{2}}{\mathrm{C}_{1}+\mathrm{C}_{2}}\) ……….(8)
Also let U be the total energy stored in two capacitors before sharing.
∴ U = U1 + U2 = \(\frac{1}{2}\) C1V2 + \(\frac{1}{2}\)C1V12
Also let U’ be the total energy of the two capacitors after sharing.
Bihar Board Class 12 Physics Solutions Chapter 2 Electrostatic Potential and Capacitance - 186
Bihar Board Class 12 Physics Solutions Chapter 2 Electrostatic Potential and Capacitance - 187
which means that when two capacitors are connected together there is some loss of energy: This loss of energy appears as heat energy.

Numerical Problems

Question 1.
Calculate the electric potential at the surface of a gold nucleus. Given, radius of nucleus = 6.6 x 1015 m and atomic number of gold = 79.
Answer:
Here, r = radius of gold nucleus
6.6 x 1015 m
Z = At. no. of gold = 79
q = Charge on gold nucleus = Ze
= 79 x 1.6 x 10-16 C
V = potential at the surface = ?
V = \(\frac{1}{4 \pi \varepsilon_{0}} \cdot \frac{\mathrm{q}}{\mathrm{r}}\)
= 9 x 109 \(\frac{\times 79 \times 1.6 \times 10^{-19}}{6.6 \times 10^{-15}}\)
= 1.72 x 107 V-V

Bihar Board Class 12 Physics Solutions Chapter 2 Electrostatic Potential and Capacitance

Question 2.
Point charges of 3 +10-9C are located at the two vertices of an equilateral triangle of side 20 cm. How much work be done to bring a test charge +1.0 x 10-9 C upto the third comer of the triangle from an infinite distance away?
Answer:
Here, q0 = test charge = 1.0 x 10-9 C
Bihar Board Class 12 Physics Solutions Chapter 2 Electrostatic Potential and Capacitance - 188
r = side of triangle = 20 cm = 0.20 m
q1 = q2 = point charge on two vertices say A and B of the triangle
= 3.0 x 10-9 C.
W = Work done in bringing q0 from oo to point C.
Using the relation,
Bihar Board Class 12 Physics Solutions Chapter 2 Electrostatic Potential and Capacitance - 189

Question 3.
Two point charges 4 x 10-9 C and – 3 x 10-9 C are located 0.10 m apart. At what point on the line joining the two charges is the electrical potential zero? Take the potential at infinity to be zero.
Answer:
Here q1 = Charge at A = 4 x 10-9 C
q2 = Charge at point B = – 3 x 10-9 C.
r = 0.10 m = Distance between q1 and q2.
Bihar Board Class 12 Physics Solutions Chapter 2 Electrostatic Potential and Capacitance - 190
Let x be the distance of the point O from q1 at which the electric potential due to q1 and q2 is zero.
Let V1 and V2 be the electric potential at O due to q1 at A and q2 at B respectively.
Bihar Board Class 12 Physics Solutions Chapter 2 Electrostatic Potential and Capacitance - 191

Question 4.
An infinite number of charges each of q are placed along x- axis at x = 1,2,4,8 and so on. Find the potential at x = 0 due to this set
of charges. What will be the potential if the consecutive charges have opposite sign?
Answer:
(i) Here, q1 = q2 = q3 = q4 = ……. = q
x1 = 1, x2 = 2, x3 = 4, x4 = 8, ……….
V = Potential at x = 0 is ?
Bihar Board Class 12 Physics Solutions Chapter 2 Electrostatic Potential and Capacitance - 193
Bihar Board Class 12 Physics Solutions Chapter 2 Electrostatic Potential and Capacitance - 194

Question 5.
An electric dipole consists of two opposite charges each of 1 μC separated by 2 cm. The dipole is placed in an external uniform field of 105 NC-1intensity. Find the work done in rotating the dipole through 180° starting from its initially aligned position.
Answer:
Here, q = 1 μC = 1 x 10-6C
2a = dipole length = 2 cm = 2 x 10-2 m.
θ = o°, θ2 = 180°, E = 1o5 NC-1.
.’. p = 2aq = 2 x 10-2 x 10-6 = 2 x 10-8 cm.
W = work done = ?
Using the relation
W- = pE (cos θ1 – cos θ2)
= 2 x 10-8 x 105 (cos 0 – cos 180)
= 2 x 10-3[1 – (- 1)]
= 2x 10-3 x 2 = 4 x 10-3 J
= 0.004 J.

Bihar Board Class 12 Physics Solutions Chapter 2 Electrostatic Potential and Capacitance

Question 6.
A radioactive spherical source of diameter 10-3 m emits β- particles at a constant rate of 6.25 x 10-10 particles/sec. How long will it take for its potential to be raised by 1 V? Assuming that 80% of β- particles escapes from the source.
Answer:
Here r = radius of spherical sound
\(\frac{10^{-3}}{2}\) m
Rate of emission of p-particles = 6.25 x 1010 particles/s
Rate of escape of charge particles from the spherical source = 80% x 6.25 x 1010 x e
\(\frac {80}{100}\) = x 6.25 x 1010 x 1.6 x 10-19 Cs-1
= 8 x 109 Cs-1
If C be the capacitance of the spherical source, then
Bihar Board Class 12 Physics Solutions Chapter 2 Electrostatic Potential and Capacitance - 195
V = 1 V,t = time = ?
Let q = total charge escaped from source in a time t, then
q = rate of flow x time
or q = 8 x 10-9x t
Thus using the relation, q = CV, we get
Bihar Board Class 12 Physics Solutions Chapter 2 Electrostatic Potential and Capacitance - 196

Question 7.
Find the value of C if the equivalent capacitance between points A and B in the given network is equal to 1 µF.
Bihar Board Class 12 Physics Solutions Chapter 2 Electrostatic Potential and Capacitance - 197
Answer:
Here, CAB = equivalent capacitance of the
capacitor = 1 µF.
C1 = lµF = 10-6F
C2 = 8 µF= 8 x 10-6F
C3 = C4 = 2 µF = 2 x 10-6F
C5 = 6 µF = 6 x 10-6F
C6 = 12 µF = 12 x 10-6F
C7 = 4µF = 4 x 10-6F
C3 and C4 are in parallel, so if C8 be their equivalent capacitance,
then
C8 = C3 + C4 = 2 + 2 = 4µF,
Now C8 is in series with C2, so if C9 be their equivalent capacitance,
then
Bihar Board Class 12 Physics Solutions Chapter 2 Electrostatic Potential and Capacitance - 198
Here C5, C6 are connected in series, so if C10 be their equivalent capacitance, then
Bihar Board Class 12 Physics Solutions Chapter 2 Electrostatic Potential and Capacitance - 199
C10 and C7 are in parallel. So if Cu be their equivalent capacitance
Then
C11 = C7 + C10 = 4 + 4 = 8µF.
Now the equivalent diagram is given by.
Bihar Board Class 12 Physics Solutions Chapter 2 Electrostatic Potential and Capacitance - 200
Now C1 and C11 are inseries,
If C12be their equivalent capacitance, then
Bihar Board Class 12 Physics Solutions Chapter 2 Electrostatic Potential and Capacitance - 201
C9 and C12 are now in parallel.
∴ If C13 be their equivalent capacitors, then
Bihar Board Class 12 Physics Solutions Chapter 2 Electrostatic Potential and Capacitance - 202
Now C and C13 are in series between A and B.
Bihar Board Class 12 Physics Solutions Chapter 2 Electrostatic Potential and Capacitance - 203 Chapter 2 Electrostatic Potential and Capacitance - 203

Question 8.
A parallel piate capacitor is maintained at certain potential difference. When a 3 mm thick slab is introduced between the plates, then in order to maintain the same P.D. between the plates, distance between the plates is increased by 2.4 mm. Find the dielectric constant of the material of the slab.
Answer:
Here, Let d1 = initial difference between the plates and d2 = distance between the plates after introducing dielectric
slab.
d1 – d2 = 2.4 mm = 2.4 x 10-3 m (Given)
t = thickness of dielectric slab = 3 mm = 3 x 10-3 m
K = Dielectric constant of slab = ?
Let V = constant P.D. between the plates
Let C0 and C be its capacitance with and without dielectric slab.
Now as V = constant
∴ \(\frac{\mathrm{q}}{\mathrm{C}_{0}}=\frac{\mathrm{q}}{\mathrm{C}} \text { or } \mathrm{C}_{0}=\mathrm{C}\) (∴ V ∝ q)

Let A = area of each plate of the capacitor.
Bihar Board Class 12 Physics Solutions Chapter 2 Electrostatic Potential and Capacitance - 204
From (1) and (2), we get

Bihar Board Class 12 Physics Solutions Chapter 2 Electrostatic Potential and Capacitance - 205
Bihar Board Class 12 Physics Solutions Chapter 2 Electrostatic Potential and Capacitance - 206

Question 9.
A parallel plate capacitor with plate area and separation d is filled with dielectrics as shown in figure 1 and 2. Find the capacitance in two cases. Also find their ratio.
Bihar Board Class 12 Physics Solutions Chapter 2 Electrostatic Potential and Capacitance - 207
Answer:
Here, K1 and K2 are the dielectric constants of the two slabs inserted between the plates.
A = area of each plate of given capacitor.
d = distance between the plates.
(a) The arrangement in figure can be consider as a combination of two capacitors with capacitance C1 and C2 in series. The area of each plate of capacitor = A,
distance between plates = \(\frac{d}{q}\)
∴ C1 = K1\(\frac{\varepsilon_{0} \mathrm{~A}}{\mathrm{~d} / 2}\) and C2 = \(\frac{\varepsilon_{0} \mathrm{~K}_{2} \mathrm{~A}}{\frac{\mathrm{d}}{2}}\)
If C be the equivalent capacitance of the combination, then
Bihar Board Class 12 Physics Solutions Chapter 2 Electrostatic Potential and Capacitance - 208
(b) Figure 2 can be considered as a parallel combination of two capacitor each of place area \(\frac{A}{2}\) and spacing between plates as d. If C’1 and C’2 be their capacitances, then
Bihar Board Class 12 Physics Solutions Chapter 2 Electrostatic Potential and Capacitance - 209
If C’ be the equivalent capacitance of this combination then
Bihar Board Class 12 Physics Solutions Chapter 2 Electrostatic Potential and Capacitance - 210
(c) ratio of C and C’ = ? i.e, \(\frac {C}{C}\) = ?
Bihar Board Class 12 Physics Solutions Chapter 2 Electrostatic Potential and Capacitance - 211

Question 10.
A 80 μF capacitor is charged by a 50 V battery. The capacitor is disconnected from the battery and then connected across another unchanged 320 μF capacitor. Find the charge on the second capacitor.
Answer:
Here, C1 = 80 μF = 80 x 10-6 F
V1 = P.D. connected across C1= 50 V
C 2= 320 μF = 320 x 10-6F.
Bihar Board Class 12 Physics Solutions Chapter 2 Electrostatic Potential and Capacitance - 212
Let qt and q2 be the charges on capacitor C1 and C2 respectively.
∴ q1 = C1V1 = 8 x 10-5 x 50 = 400 x 10-5 C.
When this capacitor is connected to uncharged Capacitor C2 then both are now in parallel.
Bihar Board Class 12 Physics Solutions Chapter 2 Electrostatic Potential and Capacitance - 213
Now charge will flow from C1 to C2 as they are at higher and lower potentials respectively. The flow continues till the potential of both capacitors becomes equal and is called Common potential (V).
i.e, q’1 = C1 V and q’2 = C2 V
or \(\frac{\mathrm{q}_{1}^{\prime}}{\mathrm{C}_{1}}=\frac{\mathrm{q}_{2}^{\prime}}{\mathrm{C}_{2}}\)
where q’1 and q’2 are charges on C1 and C2 after redistribution.
∴ q’1 = \(\frac{C_{1}}{C_{2}} \times q_{2}^{\prime}\) ……..(1)
Also total charge before sharing = total charge after sharing
or q1 + 0 = q’1 + q’2
or q’1 + q’2 = q1 = 400 x 105 ……….(2)
:. From (1) and (2), we get
Bihar Board Class 12 Physics Solutions Chapter 2 Electrostatic Potential and Capacitance - 214

Question 11.
A point charge q is located at a distance d from the infinite conducting plane. conducting plane. What amount of work has to be done in order to slowly remove this charge very far from the plane?
Answer:
Here, d = distance of the point charge θ from plane.
Bihar Board Class 12 Physics Solutions Chapter 2 Electrostatic Potential and Capacitance - 215

Let W = work done to take the charge q at ∞ = ?
Let us use electrical image method which is valid to consider an equal and opposite charge (- q) to be present at a distance d from the conducting plane on opposite side.
∴ 2d = distance between +q and -q.
Let U1 = electrostatic energy
Bihar Board Class 12 Physics Solutions Chapter 2 Electrostatic Potential and Capacitance - 216
Let U2 be the electrostatic energy when + q is removed far off.
Bihar Board Class 12 Physics Solutions Chapter 2 Electrostatic Potential and Capacitance - 217
If ∆U = Change in energy, then
∆U = U2 – U1 = \(\frac{1}{4 \pi \varepsilon_{0}} \cdot \frac{q^{2}}{2 d}\)
Thus according to work energy theorem.
W = change in energy
\(\frac{1}{4 \pi \varepsilon_{0}} \cdot \frac{q^{2}}{2 d}\)

Bihar Board Class 12 Physics Solutions Chapter 2 Electrostatic Potential and Capacitance

Question 12.
The capacitance of a variable radio capacitor can be changed from 50 pF to 950 pF by turning the dial from 0° to 180° with the dial set at 180°, the capacitor is connected to a 400 V battery. After charging, the capacitor is disconnected from the battery and the dial is turned to 0°.
(a) What is the P.D. across the capacitor when dial reads θ°?
(b) How much work is required to turn the dial?
Bihar Board Class 12 Physics Solutions Chapter 2 Electrostatic Potential and Capacitance - 218
(b) W = work done = ?
As Work done = Change in electrostatic energy
∴ W = E2 – E1
Bihar Board Class 12 Physics Solutions Chapter 2 Electrostatic Potential and Capacitance - 219

Question 13.
Find the angle between the dipole moment and the electric field when the dipole placed in \(\overrightarrow{\mathrm{E}}\) has minimum potential energy.
Answer:
Let \(\overrightarrow{\mathrm{P}}\) = dipole momentof the dipole
\(\overrightarrow{\mathrm{E}}\) = electric field
Q = angle between \(\overrightarrow{\mathrm{P}}\) and \(\overrightarrow{\mathrm{E}}\) = ?
We know that the P.E. of an electric dipole in an electric field is given by
U = – \(\overrightarrow{\mathrm{P}}\) .\(\overrightarrow{\mathrm{E}}\)= – p E cos θ.
For U to be minimum, \(\frac{dU}{dθ}\) = 0
or – pE (- sin θ) = 0
or sin θ = 0 or θ = 0°.

Question 14.
Two identical rings each of radius r are co-axially placed. The distance between their centres is r. Same charge q is placed on each ring. How much work will be done in moving a test charge from the centre of one ring to that of other?
Answer:
Let us first calculate the potential the centres of two rings due to charges on both rings.
Bihar Board Class 12 Physics Solutions Chapter 2 Electrostatic Potential and Capacitance - 220
r = radius of each ring = distance between their centres.
Let V1 and V2 be the potentials at the centre of ring I due to charge on it and II ring respectively.
Bihar Board Class 12 Physics Solutions Chapter 2 Electrostatic Potential and Capacitance - 221
∴ If V be the total potential at the centre of I, then
Bihar Board Class 12 Physics Solutions Chapter 2 Electrostatic Potential and Capacitance - 222
Similarly the total potential V’ at the centre of II ring is
Bihar Board Class 12 Physics Solutions Chapter 2 Electrostatic Potential and Capacitance - 223
If AV be the potential difference between them, then
∆V = V – V’ = 0.
If W be the work done in moving a test charge q0 from centre of I to that of II, then by def.
∆V = \(\frac{\mathrm{W}}{\mathrm{q}_{0}}\) or W = q0 x ∆V = q0 x 0 = 0
∴ W = 0.

Bihar Board Class 12 Physics Solutions Chapter 2 Electrostatic Potential and Capacitance

Question 15.
Find the equivalent capacitance of the following network. Here A = area of the each plate having distance d between them placed in air.
Bihar Board Class 12 Physics Solutions Chapter 2 Electrostatic Potential and Capacitance - 224
Answer:
The equivalent circuit of this figure is
Bihar Board Class 12 Physics Solutions Chapter 2 Electrostatic Potential and Capacitance - 225
which can be redrawn as
Bihar Board Class 12 Physics Solutions Chapter 2 Electrostatic Potential and Capacitance - 226
Thus C1 and C3, are in parallel. If C be the equivalent capacitance,
Bihar Board Class 12 Physics Solutions Chapter 2 Electrostatic Potential and Capacitance - 227

Question 16.
27 drops of same size are charged at 220 V. They coalesce to form a bigger drop. Calculate the potential of the bigger drop.
Answer:
Let R = radius of big drop,
r = radius of each small drop.
V1 = 220 V.
If C1 be the capacitance of each small drop, then
C1 = 4πε0 r
Also let q = charge on each small drop
= C1V1 = 4πε0 r x 220 C.
Let Q = charge on 27 small drops
∴ Q = 27 q = 4πε0 r x 220 x 27.
Also volume of big drop = Volume of 27 small drops
\(\frac{4}{3}\)πR3 = 27 \(\frac{4}{3}\)πr3 = (3r)3
or R = 3r
Now Let C2 be the capacitance of bigger drops.
C2 = 4πε0R = 4πε0 x 3r
It will carry the same charge as 27 small drops. i.e.,
Q = 27 x 4πε0r x 220.
If V2 be the potential of bigger drop, then
Bihar Board Class 12 Physics Solutions Chapter 2 Electrostatic Potential and Capacitance - 228

Question 17.
Three point charges + q, + 2q and + Q are placed at the three vertices of an equilateral triangle. Find the value of charge Q in terms of q so that electric potential energy of the system is zero.
Answer:
Let a be the side of the equitorial A ABC s.t. AB = BC = CA = a. Let + q, + 2q and Q be the placed at comers A, B and C respectively. If Li be the P.E. of the system, then
Bihar Board Class 12 Physics Solutions Chapter 2 Electrostatic Potential and Capacitance - 229

Question 18.
A point charge + q lies at the centre of a circle of radius r and another charge q is moved from A to C and then from C to B on the circle. Find the path along which more work is done,
Answer:
Here, the points A and B are at the same distance from charge + q at 0, so VA = VB i.e., points A and B are at same potential.
Bihar Board Class 12 Physics Solutions Chapter 2 Electrostatic Potential and Capacitance - 230
If VC be the potential at A, then
Bihar Board Class 12 Physics Solutions Chapter 2 Electrostatic Potential and Capacitance - 231
i.e. work done in taking q from A to C is equal to work done in taking q from C to B.

Question 19.
Find the potential due to an electric dipole at a point on its equitorial line.
Answer:
Let p = 2aq be the electric dipole moment of an electric dipole.
Bihar Board Class 12 Physics Solutions Chapter 2 Electrostatic Potential and Capacitance - 232
r = distance of the point P on the equitorial line at which its potential is to be calculated.
AP = BP = \(\sqrt{r^{2}+a^{2}}\)
Let V1 and V2 be the electric potential at P due to – q and + q respectively, then
Bihar Board Class 12 Physics Solutions Chapter 2 Electrostatic Potential and Capacitance - 233
If V be the total potential at P due to the dipole, then
Bihar Board Class 12 Physics Solutions Chapter 2 Electrostatic Potential and Capacitance - 234

Question 20.
A spherical oil drop of radius 10-4 cm has on it at a certain time a charge of 40 electrons. Calculate the energy that would be required to place an additional electron on the drop. Charge on an electron, e = 1.6 x 10-19 C.
Answer:
Here, charge on the drop, q = 40e = 40 x l.6 x 10-19 C.
r = radius of drop = 10-4 cm = 10-6 m.
If V be the potential on the surface of drop, then
Bihar Board Class 12 Physics Solutions Chapter 2 Electrostatic Potential and Capacitance - 235
If V be the energy required to place an additional electron on the drop, then
U = V x e = 9 x 64 x 10-4 x 1.6 x 10-9J
9.216 X 10-21 j
= 9.22 X 10-21j

Bihar Board Class 12 Physics Solutions Chapter 2 Electrostatic Potential and Capacitance

Fill In The Blanks

Question 1.
The charge on the earth cannot be neutralized because
Answer:
Lightning and thunder storms are the continuous phenomenon all over the world which send a charge equal to 1800 C per second into the earth and hence – 5 x 105 C charge is maintained on earth.

Question 2.
A potential difference of the order or ………… is created between the earth and the bottom of the cloud.
Answer:
108 V.

Question 3.
The top of ………. and the surface of the earth form a spherical capacitor of capacitance ……….
Answer:
Stratosphere, 0.09 F (≈ 0.1 F).

Question 4.
Force between the plates of a capacitor is ……….. which varies ……….. as the area of the plates and is independent of the ……..
Answer:
\(\frac{1}{2} \cdot \frac{\mathrm{q}^{2}}{\varepsilon_{0} \mathrm{KA}}\) inversely, separation between the plates.

Question 5.
When a dielectric slab is introduced by disconnecting the battery from the capacitor, then q = ………..
V = ……….
σ = ……….
E = ………..
U = ……….
C = ………..
Answer:
V = \(\frac{\mathrm{V}_{0}}{\mathrm{~K}}\)
σ = σ0
E = \(\frac{\mathrm{E}_{0}}{\mathrm{~K}}\)
U = \(\frac{\mathrm{U}_{0}}{\mathrm{~K}}\)
C = KC0.

Question 6.
If the medium surrounding the conductor is charged, then the potential of the conductor is ……….
Answer:
Changed.

Question 7.
If at any point E = 0, then V may or may not be ………. e.g. inside a charged conductor E = ……… but V is ……..
Answer:
Zero, Zero, not zero.

Question 8.
Electric potential at a point on the equitorial line of a dipole is …….. but \(\overrightarrow{\mathrm{E}}\) is ………
Answer:
Zero, not equal to zero.

Question 9.
Two equipotential surfaces cannot intersect each other because
Answer:
Then there will be two values of electric potential at that point which is impossible.

Question 10.
Energy of an electric dipole is minimum when
Answer:
It is aligned with the direction of the electric field.

Bihar Board Class 12 Physics Solutions Chapter 2 Electrostatic Potential and Capacitance