Bihar Board Class 12 Physics Solutions Chapter 7 Alternating Current Textbook Questions and Answers, Additional Important Questions, Notes.
BSEB Bihar Board Class 12 Physics Solutions Chapter 7 Alternating Current
Bihar Board Class 12 Physics Alternating Current Textbook Questions and Answers
Question 1.
A 100 Ω resistor is connected to a 220 V, 50 Hz ac supply.
(a) What is the rms value of current in the circuit?
(b) What is the net power consumed over a full cycle?
Answer:
Here, R = resistance = 100 Ω.
r.m.s. voltage, Ev = 220 V = Erms.
Frequency of A.C. supply, v = 50 Hz.
(a) Let Iv be the r.m.s. value of current in the circuit = Irms =?
Using the relation,
\(I_{v}=\frac{E_{v}}{R}=\frac{220}{100}=2.2 \mathrm{~A}\)
(b) We know that the power dissipated in an a.c. circuit is given by
P = Ev Iv cos Φ.
where Φ is the phase difference between current and voltage.
In a circuit containing resistor only, Φ = 0, thus cos Φ = cos 0 = 1.
∴ P = Ev. Iv.
= 220 x 2.2 = 484 W.
![]()
Question 2.
(a) The peak voltage of an ac supply is 300 V. What is the r.m.s. voltage?
(b) The r.m.s. value of current in an ac circuit is 10 A. What is the peak current?
Answer:
Here, peak value of a.c. supply, E0 = 300 V.
Ir.m.s = r.m.s. value of cttrrent = 10 A.
(a) Let Er m s be the r.m.s. value of the voltage =?
∴ Using the relation, \(E_{\text {r.m.s. }}=\frac{E_{0}}{\sqrt{2}}\), we get

(b) Let I0 be the peak value of the current.
we know that \(I_{t \cdot m . s .}=\frac{I_{0}}{\sqrt{2}}\)
∴ I0 = \(\sqrt{2}\) Ir.m.s = 1.414 x 10 = 14.14 A.
Question 3.
A 44 mH inductor is connected to 220 V, 50 Hz ac supply. Determine the rms value of the current in the circuit.
Answer:
Here, L = 44 mH = 44 x 10-3 H.
v = frequency of A.C. supply = 40 eps.
Er.m.s = r.m.s. value of A.C. voltage = 220 V.
Let Ir.m.s = r.m.s. value of current in the circuit =?
We know that Ir.m.s through an inductor circuit is given by
\(I_{r . m . s .}=\frac{E_{\text {r.m.s. }}}{X_{L}}\) ……………………(1)
Where XL = ωL = 2πvL is the reactance of the inductor.
= 2π x 50 x 44 x 10-3 = 13.82 Ω.
∴ From (1), \(I_{\text {r.m.s. }}=\frac{220}{13.82}=15.9 \mathrm{~A} .\)
Question 4.
A 60 μF capacitor is connected to a 110 V, 60 Hz ac supply. Determine the rms value of the current in the circuit.
Answer:
Here, Capacitance of the capacitor, C = 60 μF = 60 x 10-6 F. Frequency of A.C. supply, v = 60 Hz
r.m.s. value of A.C.voItage, Er.m.s = 110 V.
Let Ir.m.s be the r.m.s. value of current in the circuit =?
We know that Ir.m.s through a circuit having capacitor is given by,

Question 5.
In Exercises 7.3 and 7.4, what is the net power absorbed by each circuit over a complete cycle. Explain your answer.
Answer:
The net power absorbed by each circuit in Question 7.3. and 7.4 is
zero.
Explanation- We know that the power absorbed in an a.c. circuit is given by
Pav = Ev. Iv Cos Φ …………………………… (i)
where cos Φ is called power factor, being the angle between current and voltage. For a pure inductor and pure capacitor circuit, \(\phi=\frac{\pi}{2}\)
∴ \(\cos \phi=\cos \frac{\pi}{2}=0\)
Thus from equation (1), Pav = 0 for each case.
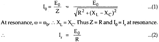
Question 6.
Obtain the resonant frequency ωr of a series LCR circuit with L = 2.0 H, C = 32 μF and R = 10 Ω. What is the Q-value of this circuit?
Answer:
Here, L = 2.0 H, C = 32 μF = 32 x 10-6 F, R = 10 Ω, ωr, = resonant angular frequency =?
Q-factor of this circuit \(=\frac{\omega_{r} L}{R}=?\)
We know that the resonant angular frequency is given by

The Q-value of this circuit is given by
![]()
![]()
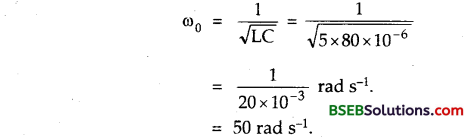
Question 7.
A charged 30 μF capacitor is connected to a 27 mH inductor. What is the angular frequency of free oscillations of the circuit?
Answer:
Here, C = 30 μF = 30 x 10-6 F
L = 27 mH = 27 x 10-3 H.
ω0 = angular frequency of oscillation =?
ω0 is given by,

Question 8.
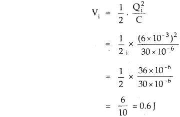
Suppose the initial charge on the capacitor in Exercise 7.7 is 6 mC. What is the total energy stored in the circuit initially? What is the total energy at later time?
Answer:
Here, Qi = initial charge on the capacitor = 6 mC 6 x 10-3 C.
L = 27mH = 27 x 10-3 H
C = 30 μF = 3O x 10-6 F
Let V1 be the total energy stored in the circuit initially. It will be stored across the capacitor and is given by

As there is no resistance in the circuit given here, thus there is no damping of oscillation, hence the total energy will remain conserved during the LC oscillations.
Thus total energy at the later time = 0.6 J.
Question 9.
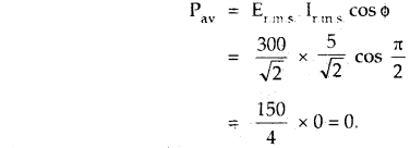
A series LCR circuit with R = 20 Ω, L = 1.5 H and C = 35 μF is connected to a variable-frequency 200 V ac supply. When the frequency of the supply equals the natural frequency of the circuit, what is the average power transferred to the circuit in one complete cycle?
Answer:
Here, R = 20 Ω, L = 1.5 H, C = 35 μF = 35 x 10-6 F.
E. m = r.m.s. value of a.c. supply = 200 V.
When the frequency of the supply equals the natural frequency of the circuit, resonance takes place and the impedance of the circuit (Z) becomes equal to the resistance R i.e., the LCR circuit is purely resistive,
∴ Z = R = 20Ω.
Since the LCR circuit is resistive, so the phase angle between the current and voltage is zero.
i.e., Φ = 0°, and \(I_{\text {rins }}=\frac{E_{\text {rms }}}{Z}=\frac{200}{20}=10 \mathrm{~A}\)
Let P = average power transferred per cycle.
∴ P = Irms Erms cos 0°
= 10 x 200
= 2000 W.
= 2.0 KW.
Question 10.
A radio can tune over the frequency range of a portion of MW broadcast band: (800 kHz to 1200 kHz). If its LC circuit has an effective inductance of 200 pH, what must be the range of its variable capacitor?
[Hint: For tuning, the natural frequency i.e., the frequency of free oscillations of the LC circuit should be equal to the frequency of the radio wave.]
Answer:
Here, v1 = 800 kHz = 8 x 105 Hz, vz = 1200 kHz = 12 x 105 Hz.
L = 200 μH = 200 x 10-6 H = 2 x 10-4 H.
Let C1 and C2 be the capacity range between C1 and C2 =?
Using the relation,

![]()
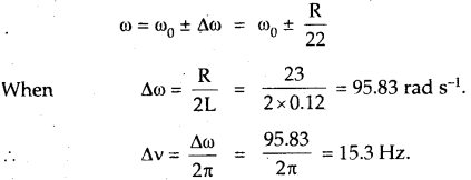
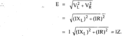
Question 11.
The figure here shows a series LCR circuit connected to a variable frequency 230 V source. L = 5.0 H, C = 80 μF, R = 40 Ω.

(a) Determine the source frequency which drives the circuit in resonance.
(b) Obtain the impedance of the circuit and the amplitude of current at the resonating frequency.
(c) Determine the rms potential drops across the three elements of the circuit. Show that the potential drop across the LC combination is zero at the resonating frequency.
Answer:
Here, L = 5.0 H, C = 80 μH = 80 x 10-6 F, R = 40 Ω, Er.m.s = 230 V.
(a) If ω0 be the resonant angular frequency = source frequency at resonance, then

If v0 = source frequency at resonance, then
\(v_{0}=\frac{\omega_{0}}{2 \pi}=\frac{50}{2 \times 3.142}=7.96 \mathrm{~Hz}\)
(b) Let Z be the impedence of the circuit at resonance and I0 be the amplitude of current = peak value of current, then


Bihar Board Class 12 Physics Chapter 7 Alternating Current Additional Important Questions and Answers
Question 12.
An LC circuit contains a 20 mH inductor and a 50 μF capacitor with an initial charge of 10 mC. The resistance of the circuit is negligible. Let the instant the circuit is closed be t = 0.
(a) What is the total energy stored initially? Is it conserved during LC oscillations?
(b) What is the natural frequency of the circuit?
(c) At what time is the energy stored
(i) completely electrical (i.e., stored in the capacitor)?
(ii) completely magnetic (i.e.,stored in\the inductor)?
(d) At what times is the total energy shared equally between the inductor and the capacitor?
(e) If a resistor is inserted in the circuit, how much energy is eventually dissipated as heat?
Answer:
Here, L = 20 mH = 20 x 10-3 H
C = 50 μF = 50 x 10-6 F.
Q0 = initial charge on the capacitor = 10 mC = 10 x 10-3 C. = 10-2 C.
(a) Let Uj be the total initial energy. It will be stored across the capacitor.
\(\mathrm{U}_{i}=\frac{\mathrm{Q}_{0}^{2}}{2 \mathrm{C}}=\frac{10^{-2} \times 10^{-2}}{2 \times 50 \times 10^{-6}}=\frac{10^{-4}}{100 \times 10^{-6}}=1 \mathrm{~J}\)
Yes, this energy will remain conserved during LC oscillations in the absence of the resistance which damps the oscillation.
(b) The natural frequency of the circuit is the resonant frequency and is given by

∴ The natural angular Irequency is given by
ω = 2πv = 2π x 159.1 = 999.65 = 1000
= 103 rads-1.
(c) At any instant, the charge on the capacitor is given by
\(\mathrm{Q}=\mathrm{Q}_{0} \cos \omega \mathrm{t}=\mathrm{Q}_{0} \cos \frac{2 \pi}{\mathrm{T}} \cdot t\)
(i) At time t = 0, \(\frac{\mathrm{T}}{2}\), T, \(\frac{3 \mathrm{~T}}{2}\), …………….. Q = Q0 (maximum charge given initially)
∴ The enegy is stored in the capacitor, hence it is completely electrical energy as a is maximum at these times, where T = 1/v = 6.28 x 10-3 s = 6.3 ms.
(ii) The magnetic energy stored in the inductor L will be maximum when the electrical energy in the C is zero i.e., Q = 0.
Q will be zero when cos ωt = cos π/2 = 0.
∴ At time l = \(\frac{T}{4}, \frac{3 T}{4}, \frac{5 T}{4}\), ,Q is zero.
Thus energy stored is completely magnetic energy.
(d) Let t be the time at which the total energy is shared equally between the inductor and the capacitor.
Thus equal sharing of energy means, energy across capacitor = 1/2 of maximum energy

Hence the energy will be equally shared between C and L at t = \(\frac{\mathrm{T}}{8}\), \(\frac{\mathrm{3T}}{8}\), \(\frac{\mathrm{5T}}{8}\), ………………….
(e) The presence of a resistor in the circuit involves loss of energy. The resistance R damps out the LC oscillations eventually and finally they disappear when the total initial energy {i.e. 1J) is dissipated as heat.
![]()
Question 13.
A coil of inductance 0.50 H and resistance 100 Ω is connected to a 240 V, 50 Hz ac supply.
(a) What is the maximum current in the coil?
(b) What is the time lag between the voltage maximum and the current maximum?
Answer:
Here, L = inductance of the coil = 0.50 H.
R = resistance of the coil = 100 Ω.
v = frequency of A.C. supply = 50 Hz.
Er.m.s = r.m.s. value of A.C. supply = 240 v
ω = angular frequency = 2πv = 2π x 50 = 100 π rad s-1.
And \(E_{0}=\sqrt{2} E_{r, m . s .}=\sqrt{2} \times 240 \mathrm{~V}\)
(a) I0 = Maximum current in the coil =?
Using the relation,

(b) In LR-Circuit, If E = E0 sin ωt, then
I = I0 sin (ωt – Φ)

The phase difference between I and E is Φ which is given by

∴ Time lag between voltage maximum and current maximum i.e., E0 and I0 is given by

Question 14.
Obtain the answers (a) to (b) above if the circuit is connected to a high-frequency supply(240 V, 10 kHz). Hence, explain the statement that at very high frequency, an inductor in a circuit nearly amounts to an open circuit. How does an inductor behave in a dc circuit after the steady-state?
Answer:
Here, Er.m.s = 240 V
v = frequency of a.c. mains = 10 KHz
= 104 HZ
∴ ω = 2πv = 2π x 104 rad s-1
and \(E_{0}=\sqrt{2} E_{r . m . s}=\sqrt{2} \times 240 \mathrm{~V}\)
L = 0.50 H, R = 100 Ω
∴ Z = impedence of ERcircuit = \(\sqrt{R^{2}+\omega^{2} L^{2}}\)

![]()
Question 13.
it is clear that at low frequencies, I0 = 1.82 A while at high frequencies, I0 = 1.08 x 10-2 A = 0.0108 A. So we conclude that at high frequencies, L offers very high resistance which amounts to an open circuit i.e., Z tends to be infinite as I → 0
In a d.c. circuit, after steady state, ω = 0, So XL = ωL = 0. Hence L acts iike a pure conductor of negligible inductive reactance.
Question 15.
A 100 μF capacitor in series with a 40 Ω resistance is connected to a 110 V, 60 Hz supply.
(a) What is the maximum current in the circuit?
(b) What is the time lag between the current maximum and the voltage maximum?
Answer:
Here, C = capacitance of the capacitor = 100 μF = 100 x 10-6 F = 10-4 F.
R = Resistance in series with C = 40 Ω
Er.m.s = 110 V, v = 60 Hz.
ω = 2πv = 2π x 60 rad s-1

(b) In an RC-circuit, the voltage lags behind the currênt by the phase angle Φ given by

∴ It to between the current maximum and the voltage maximum is given by

Question 16.
Obtain the answers to (a) and (b) in Exercise 7.15 if the circuit is connected to a 110 V, 12 kHz supply? Hence, explain the statement that a capacitor is a conductor at very high frequencies. Compare this behaviour with that of a capacitor in a dc circuit after the steady state.
Answer:
Here, Er.m.s = 110 V, R = 40 Ω, C = 100 μF = 100 x 10-6 F, v = 12 kHz = 12 x 103 Hz
∴ ω = 2πv = 2π x 12 x 103 rad s-1.
\(\mathrm{E}_{0}=\sqrt{2} \cdot \mathrm{E}_{\text {r.m.s. }}=\sqrt{2} \times 110 \mathrm{~V}\)
(a) The maximum current I0 is given by
\(\mathrm{I}_{0}=\frac{\mathrm{E}_{0}}{Z}\)
where Z = impedence of CR circuit.

(b) In an RC-circuit, the voltage lags behind the current by a phase angle Φ given by

∴ The time lag between the maximum value of current and voltage is given by

Thus Φ tends to zero at high frequencies. Hence at very high frequencies, capacitors act like a pure conductor of negligible capacitive reactance.
In a d.c. circuits after the steady state, \(\mathrm{W}=0 . \text { So } \mathrm{X}_{\mathrm{C}}=\frac{1}{\omega \mathrm{C}} \rightarrow \infty\).
Hence the capacitor acts like an open circuit.
![]()
Question 17.
Keeping the source frequency equal to the resonating frequency of the series LCR circuit, if the three elements, L, C and R are arranged in parallel, show that the total current in the parallel LCR circuit is minimum at this frequency. Obtain the current rms value in each branch of the circuit for the elements and source specified in Exercise 7.11 for this frequency.
Answer:
Here, L = 5.0 H
C = 80 μF = 80 x 10-6 F
R = 40 ohm.
The effective impedance of the parallel LCR circuit is given by:
\(\frac{1}{Z}=\sqrt{\frac{1}{R^{2}}+\left(\omega C-\frac{1}{(1)}\right)^{2}}\)
which will be minimum at \(\omega=\omega_{0}=\frac{1}{\sqrt{\mathrm{LC}}}\)
∴ | Z | is maximum at a) = co0, so the total current amplitude will be minimum.
In a parallel LCR circuit, I is equal to the sum of IL, Ic and IR.

IL and IC are equal and opposite at resonance, so they add up to zero at every instant of the cycle, so total will be minimum and is given by

Question 18.
A circuit containing a 80 mH inductor and a 60 μF capacitor in series is Connected to a 230 V, 50 Hz supply. The resistance of the circuit is negligible.
(a) Obtain the current amplitude and rms values.
(b) Obtain the rms values of potential drops across each element.
(c) What is the average power transferred to the inductor?
(d) What is the average power transferred to the capacitor?
(e) What is the total average power absorbed by the circuit? [‘Average implies ‘averaged over one cycle’.]
Answer:
Here, L = 80 mH = 80 x 10-3 H.
C = 60 μF = 60 x 10-6 F.
v = frequency of a.c. supply = 50 Hz.
Er.m.s = r.m.s. value of a.c. supply = 230 V.
∴ ω = 2πv = 2π x 50 = 100 π rad-1 s.

(a) I0 = current amplitude =?

Here negative sign appears as \(\omega \mathrm{L}<\frac{1}{\omega \mathrm{C}}\), so e.m.f. lags behind the current by 90°.
Ir.m.s = 8.24 A and I0 = 11.65 A.
(b) Let VL and VC be the r.m.s. potential drops across L and C respectively.
![]()

Since potential drop across L and C are 180° out of phase, so VL and VC are subtracted to the applied r.m.s. voltage.
∴ Applied r.m.s. voltage = VC – VL = 437.1 – 207.1 = 230V
(c) Average power transferred to the inductor over complete cycle is given by:

(e) Let P be the average power absorbed by the circuit over complete one cycle.
∴ P = Pav across L + Pav across C.
= 0 + 0 = 0.
or
P = 0.
![]()
Question 19.
Suppose the circuit in Exercise 7.18 has a resistance of 15 Question Obtain the average power transferred to each element of the circuit, and the total power absorbed.
Answer:
Here, R = 15 Ω, L = 80 mH = 80 x 10-3 H
C = 60 μF = 60 x 10-6 F.


Question 20.
A series LCR circuit with L = 0.12 H, C = 480 nF, R = 23 Ω is connected to a 230 V variable frequency supply.
(a) What is the source frequency for which current amplitude is maximum. Obtain this maximum value.
(b) What is the source frequency for which average power absorbed by the circuit is maximum. Obtain the value of this maximum power.
(c) For which frequencies of the source is the power transferred to the circuit half the power at resonant frequency? What is the current amplitude at these frequencies?
(d) What is the Q-factor of the given circuit?
Answer:


(c) Power transferred to the circuit is half the power at resonance frequency when

Thus power absorbed is half the peak power at
v0 ± Δv = 663 ± 15.3Hz
= 663 – 15.3 and 663 + 15.3= 448.3 Hz and 678.2 Hz.
The current amplitude at these frequencies is \(=\frac{\left(\mathrm{I}_{0}\right)_{\max }}{\sqrt{2}} \text { i.e., } \frac{1}{\sqrt{2}}\) times the maximum current amplitude \(=\frac{14.14}{\sqrt{2}}=\frac{14.14}{1.414}=10 \mathrm{~A}\)
(d) Question factor of the circuit is given by
\(\mathrm{Q}=\frac{\omega_{0} \mathrm{~L}}{\mathrm{R}}=\frac{4166.7 \times 0.12}{23}=21.74\)
![]()
Question 21.
Obtain the resonant frequency and Q-factor of a series LCR circuit with L = 3.0 H, C = 27 μF, and R = 7.4Ω. It is desired to improve the sharpness of the resonance of the circuit by reducing its ‘full width at half maximum’ by a factor of 2. Suggest a suitable way.
Answer:

As the value of Q increases, the sharpness increases. Thus to improve the sharpness by a factor of 2, Q has to be doubled.
Now as \(\mathrm{Q}=\frac{\omega_{0} \mathrm{~L}}{\mathrm{R}}\), so R has to be reduced to half of its value to reduce the full width at half maximum by a factor of 2 without changing R.
∴ \(\mathrm{R}^{\prime}=\frac{\mathrm{R}}{2}=\frac{7.4}{2}=3.7 \Omega\)
Question 22.
Answer the following questions:
(a) In any ac circuit, is the applied instantaneous voltage equal to the algebraic sum of the instantaneous voltages across the series elements of the circuit? Is the same true for rms voltage?
(b) A capacitor is used in the primary circuit of an induction coil.
(c) An applied voltage signal consists of a superposition of a dc voltage and an sc voltage of high frequency. The circuit consists of an inductor and a capacitor in series. Show that the dc signal will appear across C and the ac signal across L
(d) A choke coil in series with a lamp is connected to a dc line.
The lamp is seen to shine brightly. Insertion of an iron core in the choke causes no change in the lamp’s brightness. Predict the corresponding observations if the connection is to an ac line.
(e) Why is choke coil needed in the use of fluorescent tubes with ac mains? Why can we not use an ordinary resistor instead of the choke coil?
Answer:
(a) Yes, the applied instantaneous voltage is always equal to the algebraic sum of the instantaneous voltages across the series elements the circuit.
No, the same is not true for r.m.s. voltage as such voltages across
the different elements may not be in the same phase.
(b) A capacitor is used in the primary circuit of an induction coil because the high induced voltage when the circuit is broken is used to charge the capacitor, so avoid the sparks etc.
(c) We know that XL = ωL = 2πvL.
and \(X_{C}=\frac{1}{\omega C}=\frac{1}{2 \pi v C}\)
For d.c. voltage, v = 0, ∴ XL = 0.
and \(X_{C}=\frac{1}{0}=x\). That is the impedance of L is negligible for d.c. arid the impedence of C is very high (infinite) for d.c. So d.c. signal appears across C as it blocks d.d.
For a.c. of high frequency, XL → very large and Xc is low. i.e. – inductor blocks a.c., hence the a.c. signal will appear across L.
(d) The inductive reactance of the choke coil is given by XL = ωL = 2πL.
Fonekt., v = 0, ∴ XL = 0.
Since the choke coil offers no resistance to the flow of d.c., so the brightness of the lamp is not affected even if an iron core is inserted in it.
But for a.c., the reactance of the choke coil has a definite value, so the brightness of the lamp is reduced. When an iron core is inserted in the choke coil, the inductance (L) is increased, hence the reactance of the choke coil is also increased as a result of which the brightness of the lamp is reduced further as now lesser current flows through it.
(e) A choke coil is needed in the use of fluorescent tubes with a.c. , mains because to reduce current in an a.c. circuit an inductance is used. When the tubes are directly connected with a.c. supply, they draw large amount of current which may damage the tube. But if the choke coil is used in series with the tube or circuit, then It will reduce the current in the circuit. In an a.c. circuit due to a pure inductance no electric energy is wasted, as the phase angle φ between voltage and induced current is \(\frac{\pi}{2}\), thus Pav = Ev. Iv cos φ = 0.
We cannot use an ordinary resistor instead of a chokecoil because a large amount of energy supplied is wasted in the form of heat (= I2R) on using ordinary resistance. But in case of choke coil which consists of pure inductance current lags behind induced e.m.f. by phase angle Φ = \(\frac{\pi}{2}\) hence no energy is wasted as no power is consumed, by the a.c. circuit.
Question 23.
A power transmission line feeds input power at 2300 V to a step-down transformer with its primary windings having 4000 turns. What should be the number of turns in the secondary in order to get output power at 230 V?
Answer:
Here, e = induced, e.m.f. produced in the primary coil of the transformer = 2300 V.
np = no. of turns in the primary coil = 4000.
es = induced e.m.f. produced in the secondary coil of the transformer = 230V.
ns = no. of turns in the secondary coil =?
We know that,

![]()
Question 24.
At a hydroelectric power plant/ the water pressure head is at a height of 300 m and the water flow available is 100 m3s-1. If the turbine generator efficiency is 60%, estimate the electric power available from the plant (g = 9.8 ms-2).
Answer:
Here, h = height of the pressure head = 300 m.
V = Volume of water flowing/sec. = 100 m3 s-1.
η = efficiency of turbine generator = 60% ‘
g = 9.8 ms-2.
Electric power available from the plant =?

Question 25.
A small town With a demand of 800 kW of electric power at,220 V is situated 15 km away from an electric plant generating .power at 440 V. The resistance of the two wire line carrying power is 0. 5 Ω per km. The town get power from the line through a 4000-220 V step-down transformer at a sub-station in the town.
(a) Estimate the line power loss in the form of heat.
(b) How much power must the plant supply, assuming there is negligible power loss due to leakage?
(c) Characterise the step-up transformer at the plant.
Answer:
Here, l = length of the two wire line = 15 x 2=30 km.
x = resistance/unit length of the wire line = 0.5 Ω/km.
∴ R = resištance of the two wire line =30 x 0.5 = 15 Ω.

P = Power demanded = Power transmitted = 800 kW
= 800 x 103 W.
As the suppiy is through 4,000—220 V step-down transformer,
∴ Er.m.s = 4,000 V = Voilage at the receiving end of the line.
Let Ir.m.s = line current =?
∴ Using the relation, P = Er.m.s. Ir.m.s, we get
\(I_{\text {r.m.s. }}=\frac{P}{E_{\text {r.m.s. }}}=\frac{8 \times 10^{5}}{4000}=200 \mathrm{~A}\)
(a) line power loss = Ir.m.s2 R
= (200)2 x 15 = 60 x 104 W
= 600 kw.
(b) Power that is to be supplied by the plant when there is no loss
due to leakage,
= P + powerloss
= 800 + 600 = 1400kW
(c) Voltage drop in the line = Ir.m.s. R
= 200 x 15 = 3000V
∴ Voltage at the transmission end of line = Voltage at the receiving
end of the line + Voltage drop in the line
= 4000 + 3000 = 7000V
The plant generates power at 440 V and it has to be stepped up, so
that after a voltage drop of 3,000 V in the line, the power of 4,000 V is
received at the substation in the town.
∴ Step up transformer needed at the plant is 440 V – 7,000 V.
Question 26.
Do the same exercise as above with the replacement of the earlier transformer by a 40,000-220 V step-down transformer (Neglect, as before, leakage losses though this may not be a good assumption any longer because of the very high voltage transmission involved). Hence, explain why high voltage transmission is preferred?
Answer:
Here, Er.m.s = 40,000 V = 4 x 104 V
Ir.m.s = line current =?
P = Power demanded = 800 x 103 W
\(\\mathrm{I}_{\text {r.m.s. }}=\frac{\mathrm{P}}{\mathrm{E}_{\text {r.m.s. }}}=\frac{8 \times 10^{5}}{4 \times 10^{4}}=20 \mathrm{~A}\)
R = (15 + 15) x 0.5 = 15 Ω.
(a) ∴ line power loss = Ir.m.s2. R=(20)2 x 15
= 6000 W = kW
(b) Power supplied by the plant = power required + line power loss
= 800 + 6 = 806 kW.
(c) Voltage drop in the line = Ir.m.s R = 20 x 15 = 300 V
∴ Voltage for transmission = Voltage at the receiving end of the time + Voltage drop in the line
= 40,000 + 300
= 40,300 v.
∴ Step up transformer needed at the plant is 440 V/40300 V. Explanation: Comparing the Question 7.25., for the same demand i.e., 800 kW, the power loss at higher voltage is only 6 kW against 600 kW in case of lower voltage. –
Power loss at lower voltage = 600/1400 x 100 = 42.8% = 43%
Now it is clear that the power loss is very high at lower voltage_ transmission, hence high voltage transmission is preferred.
![]()
Short Answer Type Questions
Question 1.
What is average value of a.c. over a complete cycle and why?
Answer:
Average value of a.c. over a complete cycle is zero because a.c. is positive during positive half cycle and equally negative during the negative half cycle.
Question 2.
Define wattless current.
Answer:
It is defined as thatcurrent due the flow of which in an a.c. circuit no power is consumed in the circuit.
Question 3.
Why is r.m.s. value of a.c. not defined in terms of chemical effect of current?
Answer:
The r.m.s. value of a.c. is not defined in terms of chemical effect of current because a.c. cannot be used in electrolysis.
Question 4.
Which value of a.c. is measured by a.c. ammeter?
Answer:
R.m.s. of alternating current (a.c.) is measured by the a.c. ammeter. . ‘
Question 5.
Define alternating current or e.m.f. Represent its instantaneous value.
Answer:
It is defined as the electric current or voltage (e.m.f.) whose magnitude changes with time and reverses it direction periodically.
The instantaneous value of the alternating current or alternating e.m.f. is represented respectively by:
I = 10 sin ωt
and E = E0 sin ωt.
where I0 and E0 are called peak value of alternating current or e.m.f.
Question 6.
Define mean or average value of A.C. What is its relation with peak value of A.C.?
Answer:
It is defined as that steady current which when passed through a given circuit for half time period of a.c. produces the same amount of charge as is being done by the alternating current passed through the same circuit for the same time. It is denoted by Im or Iav.
Mean vlaue of a.c. is related with peak value as:
Im = 0.636 I0
Similarly Em = 0.636 E0.
Question 7.
Define root mean square (r.m.s.) or virtual value of A.C. Give its relation with I0.
Answer:
It is defined as that steady current which when passed through a resistance for a given time produces the same amount of heat as is being produced by the alternating current in the same time in the same resistance. It is denoted by Ir.m.s or Iv.
The relationship between Iv and I0 is given by
\(\mathrm{I}_{\mathrm{v}} \text { or } \mathrm{I}_{\mathrm{r} \cdot \mathrm{m} \mathrm{s}}=\frac{1}{\sqrt{2}} \mathrm{I}_{0}=0.707 \mathrm{I}_{0} .\)
Question 8.
Define a phasor and a phasor diagram.
Answer:
Phasor – It is defined as a quantity which varies sinusoidally with time and is represented as the projection of a rotating vector.
e.g. alternating current ore. m.f.
Phasor diagram – It is defined as a diagram representing alternating e.m.f. and current as the rotating vectors along with the phase angle between them. • ‘
Question 9.
What is the peak value of 220 V A.C.
Answer:
Here Vr.m.s = 220 V
∴ Peak value is given by c
\(\mathrm{V}_{0}=\sqrt{2} \mathrm{~V}_{0}=1.414 \times 220 \mathrm{~V}=311.08 \mathrm{~V}\)
Question 10.
Why capacitor behaves as a conductor at very high frequency of a.c.?
Answer:
The capacitor offers no resistance to the flow of a.c. at very high frequency, so it can flow through the capacitor easily i.e., it behaves as a conductor.
\(X_{c}=\frac{1}{\omega_{C}}=\frac{2}{2 \pi v C}, \text { As } v \rightarrow \infty, X_{C} \rightarrow 0\)
Question 11.
Defined impedence and admittance of an a.c. circuit.
Answer:
Impedence – It is defined as the effective opposition offered by the a.c. circuit to the flow of current. It is denoted by Z.
Admittance – It is defined as the reciprocal of the impedance of a.c. circuit.
Question 12.
What is the phase difference between the current and voltage in an inductor circuit?
Answer:
Voltage leads the current by π/2 in an inductor circuit.
Question 13.
What is the phase difference between the current and the voltage in an a.c. circuit containing capacitor?
Answer:
The current leads the voltage by π/2 in an a.c. circuit containing a capacitor.
![]()
Question 14.
What is the phase difference between the current and voltage in an a.c. circuit containing a pure ohmic resistor?
Answer: The current and voltage are always in the same phase in an a.c. circuit containing a pure resistor.
Question 15. What is the relationship between the frequency of an a.c. source and
(i) inductive reactance?
(ii) capacitive reactance?
Answer:
(i) The inductive reactance is always directly proportional to the frequency of a.c. source i.e., XL = 2πvL or XL α v.
(ii) The capacitive reactance is always inversely proportional to the frequency of a.c. source i.e.,
\(X_{C}=\frac{1}{2 \pi v C} \text { or } X_{C} \propto \frac{1}{v}\)
Question 16.
Define power factor.
Answer:
It is defined as the ratio of true power to the apparent power of an a.c. circuit i.e.,
\(\text { power factor }=\cos \phi=\frac{\text { True power }}{\text { apparent power }}\)
or
It is defined as the cosine of the phase angle between alternating current and e.m.f. in an a.c. circuit.
Question 17.
What is the maximum and minimum value of power factor and when does it happen?
Answer:
The maximum and minimum values of the power factor are 1 and zero (0) respectively.
The power factor is maximum for a purely resistor circuit and minimum for a purely inductor or capacitor circuit.
Question 18.
Define Wattless current.
Answer:
It is defined as the current or the component of current due to the flow of which no power is consumed by the a.c. circuit.
Question 19.
Define Q-factor of a resonant LCR circuit. What is its importance? Give its full name.
Answer:
It is defined as the ratio of the voltage drop across inductor (or capacitor) to the applied voltage. Q-factor measures the sharpness or the selctivity of a reasonant circuit i.e., it measures the ability of LCR circuit to distinguish between different frequencies of nearly same va lues.
Full name of Q-factor is quality factor.
Question 20.
Why does a resistor not use to control a.c.? Can we use a capacitor control a.c.?
Answer:
A resistor is not used to control a.c. because electric power loss (= 12R) takes place in it. Yes, we can use a capacitor to control a.c.
Question 21.
Define a transformer.
Answer:
It is defined as adevice which converts low alternating voltage at high current into high alternating voltage at low current and vice-versa.
Question 22.
What is the principle of transformer?
Answer:
It works on the principle of mutual induction i.e., when a current flows through a coil an induced e.m.f is produced in the neighbouring coil.
Question 23.
A transformer is used to step down a.c. voltage. Name the ,, appliance which can be used to step down d.c. voltage? ‘
Answer:
A rheostat or an ohmic resistance can be used to step down d.c. voltage.
Question 24.
Define an induction coil.
Answer:
It is defined as a device used to produce high potential difference using a source of low potential difference.
Question 25.
Which transformer is used at the power generating station to transmit the electric power?
Answer:
A step up transformer is used atfhe power generating station to tranmit the electric power.
Question 26.
Why is the core of a transformer made of a material whose hysteresis loop is narrow?
Answer:
When a.c. passes through the primary coil of a transformer, the iron core gets magnitised and de-magnefised over a complete cycle. Some energy is always wasted in this process. The energy loss in a complete cycle is equal to the area of the hysteresis loop. Thus to minimise this loss of energy, the core of the transformer is made of a material having a narrow hysteresis loop.
Question 27.
Why is the core of a transformer miade of a magnetic material of high permeability?
Answer:
Almost whole of the magnetic flux will be linked with the core, when the core of a transformer is macfe of a magnetic material, thus the magnetic flux linked with the secondary cpil is equal to the magnetic flux linked with the secondary coil. So the energy loss due to magnetic flux leakage is reduced considerably.
Question 28.
Out of A.C. and D.C., which one is more dangerous and why?
Answer:
A.C. is more dangerous than d.c. It is because the peak value of a.c. is more than the indicated value, e.g. If we have 220 V a.c. and 220 V d.c., then peak value of a.c. is given by
\(\begin{aligned}
\mathrm{E}_{0}=\sqrt{2} \mathrm{E}_{\mathrm{v}} &=\sqrt{2} \times 220 \\
&=1.414 \times 220 \mathrm{~V}=311.08 \mathrm{~V}
\end{aligned}\)
while that of d.c. is only 220 V.
![]()
Question 29.
When an alternating voltage of 220 V is applied across a device X, a current I flows through the circuit and is in phase with the applied voltage. When the same voltage is applied across a device, the same current again flows through the circuit but it lags behind the applied voltage by π/2 radians. Identify the devices.
Answer:
We know that when the current and voltage are in phase in an a.c. circuit, then it contains only a resistor and when the voltage leads the current then the circuit contains an inductor only.
So the devices X is a resistor as I and E are in the same phase but the device Y is an inductor as E leads l by π/2.
Question 30.
Define copper loss in a transformer.
Answer:
It is defined as the powerloss (= I2r) due to the resistance R of the copper wire when the current I flows through the primary and secondary coils made of copper of the transformer.
Question 31.
Why is the electric power generally transmitted over long distances at high a.c. voltage?
Answer:
The electric power is generally transmitted over long distance at high voltage because small current flows through the transmission line, thus the electric power loss wasted in the form of heat (= I2R) is highly reduced.
Question 32.
The electric mains in a house are marked 220 V, 50 Hz. . Write down the equation for instantaneous voltage.
Answer:
The instantaneous voltage is given by

Question 33.
Why are the divisions marked on the scale of a a.c. ammeter not equally spaced?
Answer:
The divisions marked on the scale of an a.c. ammeter are not equally spaced because it is constructed on the principle of heating effect of electric current. Thus the heat produced varies as the square of current.
Question 34.
Why a d.c. voltmeter and d.c. ammeter cannot read a.c.?
Answer:
A d.c. voltmeter and d.c. ammeter cannot r^ad a.c. because average value of a.c. is zero over a complete a.c. cycle.
Question 35.
Whatdo you mean by saying that e.m.f. leads current in an inductor circuit? ;
Answer:
At any instant if the e.m.f. is maximum or minimum in a circuit, then the current will become so after a time T/4 where T is the time period of a.c.
Question 36.
What is the phase difference between the voltage across an inductor and a capacitor in an a.c. circuit? Why?
Answer:
The phase difference between the voltage across an inductor !* and a capacitor in an a.c. circuit is 180° because voltage or e.m.f. in. the inductor leads current by 90° and it lags behind the current in a capacitor.
So the net phase difference is 180°.
Question 37.
Under what condition, the voltage and current in an LCR circuit can be in the same phase.
Answer:
The voltage and current in an LCR circuit can be in the same phase under resonance conditions where XL = XC and it behaves as a resistor circuit.
Question 38.
Calculate the average power dissipated in an a.c. circuit having e.m.f. and current given by:
![]()
Answer:

∴ Average power dissipated ic given by.

![]()
Question 39.
Why a.c. is measured in terms of r.m.s. or virtual value’
Answer:
A.C. is measured in terms of r.m.s. value because it (a.c.) varies continuously in magnitude and also in direction with time, thus its average value is zero.
Question 40.
What are the dimensions of indutuctive reactance? Derive
Answer:
The dimensions of inductive reactance are of resistance i.e., ohm
We know that

Question 41.
What are the dimensions of capacitive reactance? Derive it.
Answer:
The dimensions ofcapacihve reactance are of resistacne i.e., ohm (Ω).
![]()

Short Answer Type Questions.
Question 1.
Derive the relation between mean and peak value of A.C.
Answer:
Let I = I0 sin ωt …………………………… (1)
be the instantaneous value of a.c. in a circuit.
Let dq be the small amount of charge passing through the circuit in a time dt,
∴ dq = I dt = I0 sin ωt dt …………………………… (2)
If q Be the total charge passing through the circuit in a time T/2 on passing a.c.; then


![]()
Question 2.
Prove that Iav = 0 over a complete a.c. cycle.
Answer:
The average value of d.c. over a complete a.c. cycle is given by:

Question 3.
Derive the relation between virtual and peak value of a.c.
Answer:
Let I = I0 sin ωt ………………………………… (1)
be the instantaneous value of the a.c. flowing through a resistance Rat any time t.
If dH be the small afnount of heat produced in the resistance R in time dt, then
dH = I2 Rdt = (I0 sin ωt)2 Rdt ………………………… (2)
If H be the amount of hear produced in R on passing I for a time T (t = 0 toT), then


Question 4.
Derive an expression for current flowing in an a.c. circuit containing resistance only. ,
Answer:
Let E = E0 sin ωt …………………….. (1)
be the instantaneous value of alternating e.m.f. in an a.c. circuit containing a resistance R at any time.
If I be the instantaneous vaiue of alternating current in it at that time, then
\(\begin{aligned}
I=\frac{E}{R} &=\frac{E_{0}}{R} \sin \omega \mid \\
&=L_{0} \sin \omega t
\end{aligned}\)
where \(\mathrm{I}_{0}=\frac{\mathrm{E}_{0}}{\mathrm{R}}\) is called peak value of A.C. and E0 is the peak value of e.m.f.
Question 5.
Draw the phasor diagram of the circuit given in Q 4. above.
Answer:

Thus clearly E and 1 are in the same phase in an a.c. circuit containing a resistance R as shown graphically in fig. 1 and in phasor diagram 2.

![]()
Question 6.
Derive the expression for current in an inductor circuit.
Answer:
E = E0 sin ωt ……………………………. (1)
be the instantaneous value in an a.c. circuit having an inductor of inductance L.
Let I = current through circuit

which is the required expression for 1 in an inductor.
Question 7.
Draw the phasor diagram for pure inductor circuit.
Answer:
From eq (1) and (2) of Question 6., we get
E = E0 sin cot ………………………… (1)
![]()
where \(I_{0}=\frac{E_{0}}{\omega L}=\frac{E_{0}}{X_{L}}\) is the peak value of current X = is the inductive reactance.
Thus from (1) and (2), we see that the instantaneous current lags behind the e.m.f. by π/2 as shown in the phasor diagram.

Question 8.
Derive the expression for current in a capacitor circuit.
Answer:
Let E = E0 sin ωt …………………………………………. (1)
be the instantaneous value of the alternating e.m.f. applied accross a circuit having a capacitor of capacitance C. Let q be the charge stored across it when the instantaneous current in it is I.
If VC be the potential drop across it, then


![]()
Question 9.
Draw the phasor diagram for pure capacitor circuit.
Answer:
We know from Q. 8 that
E = E0 Sin ωt and \(I=l_{0} \sin \left(\omega t+\frac{\pi}{2}\right)\)
Clearly e.m.f. Lags behind the instantaneous of current by π/2 in the pure capacitor circuit as shown in the phasor diagram here.
\(X_{C}=\frac{1}{\omega C}\) is calLed reactor of the capacitor circuit or capacitive reactance.

Question 10.
Draw the phasor diagram of an LR series circuit.
Answer:
We know that voltage VL leads I by π/2 in a pure inductor circuit. Also we know that the voltage V.; and current (I) are always in thesame phase for a pure resistor circuit.

Thus cleariv the voltage drop across L (VL) leads the voltage drop (VR) across R by π/2 as shown in the phasor diagram. Thus clearly E leads Iby a phase angle o given by

Question 11.
Draw the phasor diagram of CR-series circuit.
Answer:
We know that the voltage Vc lags behind the current I by π/2 in a pure capacitor circuit while the current I and voltage VR across a resistor are always in the same phase. Thus clearly VC lags behind VR by π/2 as shown in the phasor diagram given here.

Clearly E is the resultant voltage of VR and VC.
∴ E lags behind I by a phase angle φ given by
\(\begin{aligned}
\tan \phi=\frac{A O}{O B} &=\frac{V_{C}}{V_{R}}=\frac{I X_{C}}{I R}=\frac{(\cdots C)}{R} \\
&=\frac{1}{\omega C R}
\end{aligned}\)
Question 12.
Derive the expression for impedance (Z) of LR series circuit.
Answer:
Let E = E0 sin tot be the instantaneous value of the e.m.f. applied across LR series circuit.
Clearly E is the resultant of VL and VR represented bv OC.


Question 13.
Derive the expression for impedance (Z) of a CR series circuit
Answer:
Let E = E0 sin cot be the instantaneous value of the e.m.f. applied across CR series circuit.

I = instantaneous current flowing in the circuit.
If VR and VC be the potential drop across R and C respectively, then


is called impedance of CR-series circuit.
![]()
Question 14.
Write down the expression for impedance, tan φ and cos φ if net circuit is inductive having XL > XC.
Answer:
In case of the LCR series circuit, if it is inductive in nature, then the impedance Z is given by

Question 15.
Find out the phase angle between current and voltage in LCR series circuit when:
(a) XL > XC
(b) XL < XC
(c) XL < XC
Answer:
(a) In an L.C.R. series circuit, the phase angle & is given by
\(\tan \phi=\frac{X_{L}-X_{C}}{R} \text { when } X_{L}>X_{C}\)
∴ Φ is positive. Clearly the induced current lags behind the applied voltage or e.m.f. by the phase angle Φ.
(b) When XL < XC, then tan Φ = negative or Φ is negative and is given by
\(\tan _{0}=\frac{X_{C}-X_{L}}{R}\)
Clearly voltage lags behind the current by an angle Φ.
(c) When XL = XC, then tan Φ = 0 or Φ = 0 t.e. LCR series circuit behaves as a pure resistor circuit. The total resistance of LCR circuit is minimum L = R. Thus current becomes maximum given by
Z = R
∴ \(I=\frac{E}{Z}=\frac{E}{R}\)
Question 16.
Draw resonance curves for a.c. series circuit with various values of resistances.
Answer:
The resonance curves for a.c. series circuit with R1, R2, and R3, values of resistances are shawm in figure here. They show that as the frequency increases first the value of current increases till it attains a peak and then starts decreasing with further increase in co. The peaks corresponds to the resonance condition. It is also clear from this graph that smaller the resistance of the a.c. circuit at resonance, sharper is the resonance ie.., higher will be the Q-factor.

Question 17.
What do you conclude about the values of R, L and C at the resonance from the expression of the Q-factor?
Answer:
We know that the Q-factor at resonance is given by

Thus for Q to be large for LCR series circuit i.e., for more sharpness or the circuit to be more selective.
R and C must be low and L must be large.
Question 18.
Define series resonant circuit, resonant angular frequency. Derive its expression.
Answer:
It is defined as a series DCR-circuit which admits maximum current corresponding to a particular angular frequency ra0 of the a.c. source.
Resonant angular frequency – It is defined as the angular – frequency corresponding to which resonance takes place.
We know that at resonance

Question 19.
What are advantages and disadvantages of a.c. over d.c.?
Answer:
Advantages of a.c. over d.c
(i) It is economical to generate a.c. than d.c.
(ii) A.C. voltage can be easily stepped up or stepped-down with the help of a transformer.
(iii) It is easy to transfer high a.c. voltage to distant places at a small loss of electric power.
(iv) A-C- can be easily converted into d.c. by using a rectifier.
(v) The alternating currents can be easily regulated by using a choke coil without loss of electric energy.
Disadvantages of a.c. overd.c.
(i) It cannot be used in electrolytic processes such as electrotyping, electroplating etc. ,
(ii) A.C. supply.is more dangerous and fatal than d.c. due to the shock produced by it.
(iii) To transmit a.c., a number of thin wires insteads of a thick single wire are used so as to avoid skin effect.
![]()
Question 20.
Describe working of the transformer. Explain the function of soft iron core. ,
Answer:
When alternating voltage or e.m.f. is applied across the primary coil of a given transformer, the input voltage and current keep on changing with time due to which the magnetic flux linked with the primary coil also changes continuously. The changing magnetic flux gets linked with the secondary coil which in turn produces an alternating e.m.f. across it.
The function of soft iron core is to ensure that all the magnetic flux emerging from the primary coil gets linked with the secondary coil i.e., it is capable of coupling the whole of the magnetic flux produced in primary coil with the secondary coil. If the field lines remain confined to the soft iron core, then the magnetic flux linked with the two coils is simply proportional to their number of turns.
Question 21.
Explain the theory of a transformer?
Answer:
NP, NS be the.total no. of turn in the primary and secondary coils respectively.
ΦP, ΦS = total magnetic flux linked with P and S coils instantaneous values of eP, eS = instantaneous values of induced e.m.f. produced in P and S coils respectively. IP, IS = instantaneous values of alternating currents in the two coils.
Φ = magnetic flux linked with each turn of the primary and secondary coil.


If there is no loss of energy in the transformer, then instantaneous output power = instantaneous input power.

For step-up transformer, K > 1, so from (vi), it follow that eS > eP. Thus according to (vii), IP < IS. Similarly for step-down transformer, K < 1 orece
or eS < eP
∴ eP < eS
Thus it is clear that transforms simply transforms the voltages and currents according to the law of conservation of energy.
Question 22.
Mention some uses of transformers.
Answer:
(i) They are used in yoltage regulators and stabilized power supplies.
(ii) They are used in most of the electrical devices like T.V., Radio, telephones, louds speakers etc.
(iii) A step down transformer is used for obtaining large current for electric welding and in induction furnace for melting the metals.
Question 23.
Mention various types of energy losses in a transformer.
Answer: The following are the various types of energy losses in a transformer. .
(i) Flux losses – They are due to imperfect coupling between the primary and secondary coils, thus whole of the flux produced in primary coil never gets linked with the secondary coil.
(ii) Copper losses – They are due to the resistance of the windings of P and S coils due to which some electric energy appears in the form of heat.
(iii) Iron losses – They are due to the eddy currents produced in the iron core and appear in the form of heat.
(iv) Hyteresis losses – They are due to the magnetisation and demagnetisation of iron core again and again due to the flow of alternating current.
(v) Humming losses – They are dflte to the vibrations produced in the core of the transformer on passing the alternating current and thus humming sound is produced.
Question 24.
Define choke coil. On what principle does it works.
Answer:
It is defined as the inductance coil used to regulate the alternating current in an a.c. circuit without wasting electrical energy in the form of heat. It works on the principle that when a.c. flows through an inductor, the current lags behind the e.m.f. by a phase angle π/2.
![]()
Question 25.
Name the various types of choke coils. How they are made?
Answer:
The choke coils are of following two types:
(a) Low frequency choke coil – It is made of an insulated copper wire wound on a soft iron core.
(b) High frequency choke coil – It has air as core material.
Question 26.
A radio frequency choke is air cored whereas an audio frequency choke of iron cored. Give reason for this difference.
Answer:
The inductive reactance is given by
\(\mathrm{X}_{\mathrm{L}}=\omega \mathrm{L}=2 \pi \mathrm{v} \cdot\left(\mu_{0} \mu_{\mathrm{r}} \mathrm{n}^{2} l \mathrm{~A}\right)\)
where l = length of the inductor
A = area of cross-section of the inductor,
n = no. of turns per unit length of the inductor.
Thus it follows that at radio frequency (i.e., at very high value of v), the XL will be very large, even when the choke coil is air cored (μr = 1). But at audio frequency (i.e., at for low value of v), XL will be large only if the choke is iron-cored i.e., μr is large. Hence a radio frequency choke is air- cored and an audio frequency choke is iron cored.
Question 27.
Distinguish between resistance, impedance and reactance of an a.c. circuit.
Answer:
| Resistance | Impedance | Reactance |
| It is defined as the opposition offered by the resistor to the flow of current. | It is defined as the opposition offered by the circuit containing resistor, inductonand the capacitor to the flow of current. | It is defined as the opposition offered by the capacitor or inductor to the flow of current. |
| It is independent of the frequency of the source of current.’ | It depends upon the frequency of the source of current. | It depends on the frequency of the source of the current. |
| It is measured in ohm. | It is measured in ohm. | It is measured in ohm. |
Question 28.
Explain why A.G. is more dangero4s than D.C.?
Answer:
We know that a 220 V A.C. mains has 220 V as the r.m.s. value of the peak voltage V0, Thus its peak value is given by
\mathrm{V}_{0}=\sqrt{2} \mathrm{~V}_{\mathrm{r} . \mathrm{m} . \mathrm{s}} &=\sqrt{2} \times 220=1.414 \times 220 \\
&=311.08 \mathrm{~V} .
\end{aligned}\)
Also we know that time period of A.C. supply of India is \(\frac{1}{50}\) s, so duration of peak to peak change of a.c. voltage = \(\frac{1}{2}\) x \(\frac{1}{50}\) s = \(\frac{1}{100}\) s i.e., alternating voltage changes its peak value from 311.08 V to – 311.08 V in \(\frac{1}{100}\) s. Thus if a person comes in contact with A.C. line, then he will get a shock of 311.08 – (- 311.08) = 622.16 V in a time \(\frac{1}{100}\) s. This shock is huge and sudden and hence may prove to be fatal. But when he comes in contact with d.c. of 220 V, then this value is much less than 622.16 V and hence A.C. is more dangerous than D.C.
Long Answer Type Questions
Question 1.
Define instantaneous power of an a.c. circuit and derive the expression for average power of an a.c. circuit.
Answer:
Instantaneous Power of an a.c. circuit – It is defined as the product of the instantaneous e.m.f. and the instantaneous current in it.
Let the instantaneous e.m.f. and the instantaneous current in an a.c. are given as:
E = E0 sin ωt ……………………………….. (1)
and I = I0 sin (ωt – Φ) ………………………………….. (2)
When Φ is the phase angle by which current lags behind the e.m.f. in an a.c. circuit, E0, I0 being the peak value of the e.m.f. and the current respectively.
If dW be the small amount of the electrical energy consumed in a small time dt due to the flow of I1 then
\(\begin{aligned}
\mathrm{d} \mathrm{W}=\mathrm{Pdt}=& \mathrm{EI} \mathrm{dt} \\
=&\left(\mathrm{E}_{0} \sin \omega \mathrm{t}\right)\left(\mathrm{I}_{0} \sin (\omega \mathrm{t}-\phi)\right] \mathrm{d} \mathrm{t} \\
=& \mathrm{E}_{0} \mathrm{I}_{0} \sin \omega t[\sin \omega t \cos \phi\\
&\quad-\cos \omega \mathrm{t} \sin \phi] \mathrm{dt}
\end{aligned}\) ……………………… (3)
If W be the total energy consumed in the circuit during a time T (time period of A.C.) due to the flow of alternating current, then


i. e., Average power – Apparent power x Power factor.
Where the average power of an a.c. circuit is also called true power of the circuit and EV, IV is called apparent power, cos 0 is called power factor.
![]()
Question 2.
Derive the expression for impedance of LCR series circuit. Draw .mpedance triangle.
Answer:
Let E = E0 sin ωt …………………………. (1)
be the instantaneous e.m.f. applied across the LCR series circuit.

Let I be the induced current flowing in the circuit. If VL, VC, and VR be the potential drops across L, C and R respectively, then VR = IR and is in phase with I
VL = IXL and lead I by π/2 as shown in the phasor diagram. Let VL > VC. These are represented by OA, OC and OB respectively.
OD = VL – VL

If V be the resultant potential drop in the circuit, then it is represented by OF.

impedance of LCR circuit and is represented by OD in the impedance triangle.

Numerical Problems
Question 1.
The current through a coil of inductance 2 mH is represented by I = 0.2 sin 200 t A. Calculate the maximum value of the induced current.
Answer:
Here, L = inductance of the coil = 2 mH = 2 x 10-3 H
I = 0.2 sin 2001 ………………………. (i)
We know that the instantaneous value of alternating current is given by,
I = I0 sin ωt
Comparing (i) and (ii), we get
ω = 200 rad s-1
∴ the inductive reactance xL is given by
xL = ωL = 200 x 2 x 10-3 = 0.4 Ω.
If e be the magnitude of induced e.m.f. produced in the coil, then

∴ maximum value of induced e.m.f. is given by
e0 = 0.08 V
∴ If I0 be the maximum value of induced current, then
\(\mathrm{I}_{0}=\frac{\mathrm{e}_{0}}{\mathrm{X}_{\mathrm{L}}}=\frac{0.08}{0.4}=0.2 \mathrm{~A}\)
![]()
Question 2.
A sinusoidal voltage E = 200 sin 3141 is applied to a resistor of 10 Ω resistance. Calculate (i) r.m.s. value of voltage,
(ii) r.m.s. value of current,
(iii) power dissipated as heat,
(iv) peak value of current,
(v) current flowing in the resistor.
Answer:
Here, E = 200 sin 314 t ………………………………………… (i)
R = 10 Ω.
Comparing (i) with the standard equation, E = E0 sin ωt, we get
E0 = 200 V, ω = 314 rad s-1.

(iii) P = Power dissipated =?
Using the relation,

Question 3.
What should be the frequency of alternating 200 V so as to pass a maximum current of 0.9 A through an inductance of 1 H?
Answer:
Here, I0 = maximum current = 0.9 A.
Er.m.s = r.m.s. value of alternating e.m.f. = 200 V
L = inductance = 1H
Let v = frequency of alternating e.m.f. =?

Question 4.
A 50 V, 10 W lamp is to run 100 V, 50 Hz a.c. mains,
(a) Calculate the inductance of the choke coil required,
(b) If a resistor is to be used in place of choke coil to achieve the same result, calculate its value,
(c) Which one is more economical and why?
Answer:
Here, P = Power of lamp = 10 W
V = Voltage marked on the lamp = 50 V.

Question 6.
A 40 Ω resistor, 3 mH inductor and 2 μF capacitor are connected in series to a 100 V, 5,000 Hz A.C. source. Calculate the value of the current in the circuit.
Answer:


![]()
Question 7.
An a.c. circuit having an inductor and a resistor in series draws a power of 560 W from an a.c. source marked 210 V, 60 Hz. If the power factor of the circuit is 0.8, calculate.
(a) the impedance of the circuit.
(b) the inductance of the inductor used.
Answer:
Here, Er.m.s = 210 V, n = 60 Hz.
P = power of LR-series circuit = 560 W.
cos Φ = 0.8
Let Ir.m.s be the r.m.s. value of A.C.
∴ Using the relation,

Question 8.
A 100 km telegraph wire has capacity of 0.02 μF/km. If it carries an alternating current of frequency 5 kHz, what should be the value of ah inductance required to be connected in Series so that the impedance is minimum?
Answer:
Here, l = length of the telegraph wire = 100 km.
Capacitance of wire = 0.02 μF/km
∴ C = 0.02 x 100 = 2 μF = 2 x 10-6 F.
v = frequency of a.c. mains = 5 kHz = 5,000 Hz.
∴ ω = 2πV – 2π x 5 x 103 rad s-1 = 104 π rad s-1 and L be its inductance =?
If Z be the impedance, then

Now for impedance to be minimum, \(\omega L-\frac{1}{\omega C}\) must be zero.

Question 9.
In a step up transformer, the transformation ratio is 100. The primary voltage is 200 V and input is 1000 W. The number of turns in primary is 100. Calculate :
(i) the no. turns in the secondary,
(ii) the current in the primary,
(iii) the voltage across the secondary,
(iv) current in the secondary. Assume that there is no energy loss in the transformer.
Answer:
Here, K = transformation ratio = 100 /// ,
EP = Voltage across primary = 200 V.
EP, rP = 1000 W
NP = no. of turns in primary coil = 100.
(i) NS = no. of turns in secondary =?
Using the relation, \(\mathrm{K}=\frac{\mathrm{N}_{\mathrm{s}}}{\mathrm{N}_{\mathrm{p}}}\), we get
Ns = KNP = 100 x 100= 10,000.
(ii) IP = Current in the primary =?
Here EP IP = 1000 or IP = \(\frac{1000}{E_{p}}=\frac{1000}{200}\) = 5 A.
(iii) Es = Voltage across secondary =?
Using the relation,

(iv) Is = current in secondary =?
Also we know that

![]()
Question 10.
A transformer having an efficiency 90% is working on 100 V and at 2.0 kW power. If the current in the secondary coil is 5A, calculate :
(i) the current in the primary,
(ii) voltage across the secondary coil,
(iii) transformation ratio.
Answer:


Question 11.
A circular coil of radius 8 cm and 10 turns rotates about its vertical diameter with an angular speed of 100 rad s-1 in a uniform horizontal magnetic field of 3 x 10-2 T.
(a) Find the peak and average e.m.f. induced in the coil,
(b) If the coil has a resistance of IΩ, how much power is dissipated as heat?
(c) What is the source of this power?
Answer:
Here, r = radius of the circular coil = 8 cm = 8 x 10-2 m.
N = Number of turns in the coil.
ω = angular speed of rotation of the coil = 100 rad s-1
B = magnetic field = 3 x 10-2 T.
(a) E0 = peak value of induced e.m.f. =?
Eav = average value of induced e.m.f. in a full cycle =?
E0 is given by
E0 = NBA ω = NB (πr2) ω
or
E0 = 10 x 3 x 10-2 x 22/7 x (8 x 10-2)2 x 100
= 0.603 V.
Average e.m.f. during positive half cycle is given by
\(\left(E_{x_{x}}\right)_{+}=\frac{2}{\pi} E_{0}=\frac{2}{\pi} \times 0.603 \mathrm{~V}\)
Also average value of e.m.f. during negative half cycle is
\(\left(E_{\text {av }}\right)_{-}=\frac{-2}{\pi} E_{0}=\frac{-2}{\pi} \times 0.603 \mathrm{~V}\)

(c) External rotor is the source of this power.
Question 12.
A pure resistive circuit element X when connected to an a.c. supply of peak voltage 200 V gives a peak current of 5 A which is in phase with the voltage. A second current element Y, when connected to the same a.c. supply also gives the same value of peak current but the current lags behind by 90°. If the series combination of X and Y is connected to the same supply, what will be the r.m.s. value of the current?
Answer:
Here, E0 = Peak value of a.c. voltage = 200 V
I0 = peak value of current = 5 A.
R = resistance of circuit element \(=\frac{E_{0}}{I_{0}}=\frac{200}{5}=40 \Omega\)
For circuit element Y, the current lags behind e.m.f. by π/2.
∴ Y is an inductor.

![]()
Question 13.
In an a.c. circuit, E and I are given by E = 100 sin (100 t) V and I = 100 sin \(\left(100 t+\frac{\pi}{3}\right)\) mA. Calculate the power dissipated in the 3) circuit.
Answer:

Question 14.
Calculate the wave length of the radio waves radiated out by a circuit consisting of 0.02 μF capacitor and 8 μH inductor in series.
Answer:
Here C = 0.02 μF = 2 x 10-6 H
L = 8 μH = 8 x 10-6 H
λ = wavelength of radio waves emitted =?
Using the relation,

Question 15.
An inductance coil has a repentance of 100 Ω. When a.c. signal of frequency 1000 Hz is applied to the coil, the applied voltage leads the current by 45°. Calculate the self-inductance of the coil.
Answer:
Here, Z = impedance of a.c. circuit = 100 Ω.
v = frequency of A.C. signal = 1000 Hz.
\(\phi=45^{\circ}=\frac{\pi}{4}\)
Here the applied voltage leads the current by π/4 (and not by 90°), so the given inductance is not purely an inductance.
The given inductance behaves as a series combination L and R. If Z be the impedance of the given inductance, then


Question 16.
A LCR circuit has L = 10 mH, R = 3Ω and C = 1 μF connected in series to a source of 15 cos cot volts. Calculate the current amplitude and average power dissipated per cycle at a frequency that is 10% lower than the reasonant frequency.
Answer:
Here, L = 10 mH = 10 x 10-3 H = 10-2 H
C = 1 μH = 1 x 10-6 F
R = 3 Ω.
E = 15 cos ωt (V).
∴ E0 = peak value of applied voltage = 15 V.
I0 = ? and Pav = ? at ω = ω0 – 10/ω0
Now the resonant angular frequency, coQ is given by,

Let ω be the angular frequency which is 10% lower than ω0.
∴ ω = ω0 – 10 % ω0 = 104 – 10/100 x 104
= 10 x 103 – 103 = 9 x 103 s-1.
If XL and XC be the inductive and capacitive reactances at this frequency, then
xL = ωL = 9 x 103 x 10-2 = 90 Ω

![]()
Question 17.
An AC. source is connected to two circuits as shown in the figures given below. Obtain the current through the resistance R at resonance in both the circuits.

Answer:
Here, fig. (a) is a series LCR circuit, E = applied e.m.f. If Z be its impedance, then

In Fig. (b), both L and C are joined in parallel, thus potential difference across each will be same.
Also in the state of resonance, XL = XC, so the current through both L and C will be equal in magnitude. Also we know that current in L lags behind the potential difference by π/2 while it leads by π/2 in C. Thus if IL and IC be the currents through L and C respectively, then they are out of phase i.e., phase difference is 180°. Now the two currents are equal in magnitude and opposite in phase, so the net current through the parallel combination of L and C is zero. As this combination is in series with R, so current through R will be zero.
Question 18.
Prove that in a series LCR circuit, the frequencies v2 and v2 at which the current amplitude falls to \(\frac{1}{\sqrt{2}}\) of the current at resonance are separated by an interval equal to \(\frac{\mathbf{R}}{2 \pi \mathrm{L}}\).
Answer:
Let E0 be the peak value of the A.C. voltagé applied across LCR series circuit.
If I0 be the peak value of current in the circuit, then

where Ir is the peak value of current at resonance.
It is given that at Vj and v2, the current amplitude falls to \(\frac{1}{\sqrt{2}} \mathrm{I}_{\mathrm{r}}=\)



![]()
Question 19.
Find the value of the inductance which should be connected in series with a capacitor of 5 μF, a resistance of 10 Ω and an a.c. source of 50tpsso that the power factor of the circuit is unity.
Answer:
Here, v = 50 cps.
c = 5 μF = 5 x 10-6 F
R = 10 Ω
cos Φ = power factor = 1
L = inductance -?
We know that the power factor of an LCR series circuit is given by,


Question 20.
A current is made of two components d.c. component and an a.c. component given by 1 = 4 sin ωt A. Find cut an expression for the resultant current and calculate its effective value.
Answer:
Here, Id.c = 3A
Ia.c = 4 sin ωt
Ieff = Ir.m.s = effective value of A.C =?
I = resulantcurrent=?
The resultant current at any instant is given by
I = Id.c + Ia.c = (3 + 4 sin ωt)A
The average value of a.c. over one complete A.C. cycle is given by


Question 21.
A coil has a current of 1A and a power of 100 W from A.C. source of 110 V and frequency 50 Hz. Find the inductance and resistance of the coil.
Answer:
Here, Ir.m.s = 1 A, P = 100 W.
Er.m.s = 110 v, v = 50 CpS
L = inductance of coil =?
XL = ωL = resistance of the coil =?
Let R be the resistance of the coil.
We know that power dissipated is given by


![]()
Fill In The Blanks
Question 1.
In an a.c. circuit, the power is dissipated only due to ……………………………… Thus in an a.c. circuit containing inductance coil, the power is dissipated Only due to the ……………………………… of the coil and not due to its ………………………………
Answer:
Ohmic resistance, ohmic resistance, inductance.
Question 2.
The frequency of a.c. supplied to our houses in Indians …………………………….. .
Answer:
50 cps.
Question 3.
The power factor of a purely resistive a.c. circuit is ……………………………… while E and I are ……………………………… in it.
Answer:
one (1), same phase.
Question 4.
In a series LCR circuit, the phase difference between the current flowing in the inductor and capacitor is …………………………….. .
Answer:
180 or π.
Question 5.
In the parallel resonant circuit, the current and the voltage are in ……………………………… phase at resonance while in series resonant circuit, the current and voltage are in ……………………………… phase.
Answer:
same, same.
Question 6.
In an a.c. circuit, the voltage and current are represented by
V = 200 sin (100 π t)V
and I = 25sin (100 π t)A.
The impedence of the circuit is ……………………………… and average power consumed is ……………………………… watt.
Answer:
8Ω, 1250 W.
Question 7.
An alternating current circuit consists of an ohmic resistance only. If the frequency of the source is increased first and then decreased, then the current flowing in the circuit will …………………………….. .
Answer:
remain same.
Question 8.
A ……………………………… is a device that controls the alternating current without much loss of electrical energy in the form of heat.
Answer:
choke coil.
Question 9.
If the frequency of alternating current is doubled then the inductive reactance of the circuit is ……………………………… while capacitive reactance is …………………………….. .
Answer:
doubled, halved.
Question 10.
The core of a transformer is made of a magnetic material of …………………………….. .
Answer:
high permeability.
Question 11.
……………………………… measures the sharpness or the selectivity of a resonant circuit.
Answer:
Q-factor.
Question 12.
The current due to the flow of which no power is consumed in an a.c. circuit is called …………………………….. .
Answer:
wattless current.
Question 13.
……………………………… is the reciprocal of the impedance of an a.c. circuit.
Answer:
Admittance.
Question 14.
A ……………………………… behaves as a conductor at very high frequency of a car it offers no resistance to the flow of a.c.
Answer:
Capacitor.
Question 15.
The dissipation of energy is much reduced if the transmission of electric energy is done at ……………………………… and …………………………….. .
Answer:
high voltage and low current.
![]()
Question 16.
……………………………… is produced due to the repeated magnetisation and demagnetisation of the iron core in a transformer.
Answer:
Hysteresis loss.
Question 17.
The power factor in a circuit connected to a.c. power supply is unity when the circuit contains …………………………….. .
Answer:
an ideal resistance only.
Question 18.
A.C. can be measured only with the help of ……………………………… and cannot be measured by d.c. ammeters because ………………………………
Answer:
hot wire ammeter, average value of current for complete A.C. cycle is zero.
Multiple Choice Questions
Question 1.
Ohm’s law expressed as E = IR.
(a) may never be applied to a.c. circuits
(b) always applied to a.c. circuits as to d.c. circuits when Z is substituted for R.
(c) tells us that Eeff = 0.707 E0 for a.c.
(d) None of these.
Answer:
(b).
Question 2.
The capacitive reactance in an a.c. circuit is:
(a) effective wattage
(b) effective voltage
(c) effective resistance due to capacity
(d) None of these.
Answer:
(c)
Question 3.
Of the following about the capacitive reactance which is correct:
(a) capacitive reactance is inversely proportional to the frequency of a.c.
(b) capacitive reactance is measured in Farad.
(c) The reactance of the capacitor is directly proportional to its ability to store charge.
(d) None of these.
Answer:
(a)
Question 4.
With increase in frequency of applied a.c. supply, the impedance of LCR series circuit:
(a) increases
(b) decreases
(c) first decreases, becomes minimum and then increases.
(d) remains constant.
Answer:
(c)
Question 5.
The current in an LCR series circuit when frequency of applied a.c. supply is increased:
(a) increases
(b) decreases
(c) first increases becomes maximum and then decreases.
(d) first decreases becomes minimum and then increases.
Answer:
(c)
Question 6.
When 100 V d.c. applied across a solenoid a current of 1.0 A flows in it. When 100 V a.c. supply is applied across the same coil, the current drops to 0.5 A. If the frequency of a.c. source is 50 Hz, the impedance and inductance of the solenoid are:
(a) 200 Ω and 0.55 H
(b) 200 Ω and 1.0 H
(c) 100 Ω and 0.93 H
(d) 100 Ω and 0.80 H
Answer:

Question 7.
In an a.c. circuit, the current
(a) always leads the voltage,
(b) always lags behind the voltage
(c) is always in phase with the voltage
(d) may lead or lag behind or be in the same phase with the voltage.
Answer:
(d)
![]()
Question 8.
For LCR series circuit, the current will be maximum when:
(a) XL = 0
(b) XC = 0
(c) XL = XC
(d) R = XL + XC.
Answer:
(c)
Question 9.
An alternating voltage is connected in series with a resistance R and an inductance L. If the potential drop across the resistance is 200 V and across the inductance is 150 V, then the applied voltage is:
(a) 350 V
(b) 500 V
(c) 250 V
(d) 300 V
Answer:
(c) [Hint: VL and VR are mutually perpendicular to each other.)
Question 10.
In an a.c. circuit, the instantaneous values of current and e.m.f. are given by: I = I0 sin \(\left(\omega t+\frac{\pi}{2}\right)\) and E = E0 sin ωt. The power P consumed in the circuit is:
(a) \(\frac{\mathrm{E}_{0} \mathrm{I}_{0}}{\sqrt{2}}\)
(b) \(\text { EI } \sqrt{2}\)
(c) zero
(d) \(\frac{E_{0} I_{0}}{2}\)
Answer:
(c)
Question 11.
Which of the following does not decrease the efficiency of a transformer:
(a) laminating the core
(b) use of iron core
(c) core made of a material having narrow hysteresis loop
(d) All of the above.
Answer:
(d)
Question 12.
A choke coil should have:
(a) low resistance and high inductance
(b) low resistance and low inductance
(c) high resistance and high inductance
(d) high resistance and low inductance.
Answer:
(a) [Hint: an inductance in a.c. circuit consumed no power while resistance always consumed power. So for minimum power consumption, R must be low, L must be high for choke coil.]
Question 13.
Hot wire ammeters are used for measuring:
(a) a.c. only
(b) d.c. only
(c) neither a.c. nor d.c.
(d) both a.c. and d.c.
Answer:
(d) [Hint: Hot wire ammeters are based on the heating effect of current which is found same in case of both a.c. and d.c.]
Question 14.
Transformers are used to :
(a) step up d.c. voltage
(b) step up or step down a.c. voltage
(c) converts a.c. into d.c.
(d) converts d.c. in to a.c.
Answer:
(b).
Question 15.
Which of the following phenomenon is helμFul in the working f a choke coil?
(a) self induction
(b) mutual induction
(c) Eddy currents
(d) none of these.
Answer:
(a).
Question 16.
For long distance transmission, the a.c. is stepped up because transmission at high voltage is:
(a) economical
(b) faster
(c) not dangerous
(d) not damped.
Answer:
(a).
![]()
Question 17.
An electric bulb rated 220 V is connected to 220 V, 5 Hz A.C. source. Then the bulb:
(a) glows continuously
(b) does not glow
(c) glows infermittantly
(d) luses.
Answer:
(c) [Hint : 220 V a.c. means Er.m.s = 220 which has peak value varying from + 311 V to 311 V].
Practice Problems
Question 1.
220 V, 5 W lamp is to be used on a.c. mains of 200 V,5O cps. Calculate the
(i) capacitance,
(ii) inductance required to be put in series to run the lamp.
(iii) How much pure resistance should be included in place of the above devices so that the lamp can run on its rated voltage.
(iv) Which of the above arrangements will be more economical and why?
Answer:
(1) 4 μF,
(ii) 2.53 H,
(iii) 720 Ω,
(iv) L or C more economical than R as power consumption than R as power consumption in L or C = O while in R it is I2 R.
Question 2.
An alternating voltage of 220 V r.m.s. at 40 cps is applied to a circuit containing a pure inductance of 0.01 H and a pure resistance of 6 Ω in series.
Calculate :
(a) the current,
(b) potential difference across the reistance,
(c) potential difference across inductance,
(d) time lag,
(e) power factor.
Answer:
(a) Ir.m.s = 33.83 A,
(b) VR = 202.98V,
(c) VL = 96.83V,
(d) time
\(\left.\mathrm{lag}=\frac{\phi}{360} \times \mathrm{T}=\frac{\phi}{360} \times \frac{1}{\mathrm{v}}=0.01579 \mathrm{~s} .,(\mathrm{e}) \cos \phi=\frac{\mathrm{R}}{\mathrm{Z}}=0.92\right]\)
Question 3.
A circuit draws a power of 550 W from a source of 220 V, 50 cps. The power factor of the circuit is 0.8 and the current lags in phase behind the e.m.f. To make the power factor of circuit as 1.0, what capacitance has to be connected with it?


Question 4.
In a step down transformer having primary to secondary turn ratio 20:1, the input voltage applied is 250 V and output current is 8A. Assuming 100% efficiency, Calculate the:
(a) Voltage across the secondary coil.
(b) Current in primary coil.
(c) power output.
Answer:
(a) Vs = 12.5 V,
(b) Ip = 0.4 A,
(c) Ps = 100 W.
Question 5.
An a.c. source has got an internal resistance of 104 Ω.
(a) What should be the transformation ratio of a transformer to , match the source to a load of resistance 10Ωs?
(b) What is the voltage amplitude of the secondary in open circuit if voltage ampltude of the source be 100 V?
Answer:

Question 6.
An alternating e.m.f. of frequency 50 Hz is applied to a series circuit of resistance 20 Ω, an inductance of 100 mH and a capacitor of 30 μF. Does the current lag or lead the applied e.m.f. and by what angle.
Answer:
Current leads, Φ = 75°.
![]()
Question 7.
An inductor 20 x 10-3 H, C = 100 μF, R = 50 Ω are connected in series across a source of e.m.f. E = 10 sin 314 t. Find the energy dissipated in the circuit in 20 minutes. If resistance is removed from the circuit and the value of inductance is doubled, then find the variation of current with time in new circuit.
Answer:
\(1068 \mathrm{~J}, \mathrm{I}=0.52 \sin \left(\omega \mathrm{t}+\frac{\pi}{2}\right)\)
Question 8.
A transformer is used to light 140 W 24 V lamp from 240 V A.C. mains and the current in the cable is 0.7 A. Find the efficiency of the transformer.
Answer:
84% [Hint: P0 = 140 W, P1 = 240 x 0.7 = 168 W
∴ η = p0/p1 x 100].
Question 9.
A 0.21 H inductor and a 12 Ω resistor are connected in series to a 220 V, 50 Hz A.C. source. Calculate the current in the circuit and the phase angle between the current and the source voltage.
Answer:
3.3 A, Φ = tan-1 (5.5)
Question 10.
A current is made of two components: 95 A d.c. and I0 = 4A, 60 eps A.C. Write down the expression for the resultant current and calculate the average current over a complete cycle and effective value of current.
Answer:
[Ir.m.s = 5.75 A, Iav = 5 Amp ]
Question 11.
An e.m.f., E = 150 cos 3141V is applied to a purely resistive branch having R = 30 Ω Find out the expressions for current and power as a function of time. Also calculate the frequencies of current and power variations.
Answer:
[I = 5 cos 3141, P = 375 + 375 cos (628 t) v for I = 50 cps, v for P = 100 cps].
Question 12.
An e.m.f. of 10V, 1000 cps is applied to a 0.1 μF capacitor in series with a resistor of 500 Ω Find the power factor of the circuit and the power dissipated.
Answer:
0.3,18 mW.
Question 13.
A coil of inductance 1/πH is connected in series with a resistance of 300 Ω. If 20 V, 200 cps source e.m.f. is applied across the combination, find the value of the tangent of the phase angle between the current and the voltage.
Answer:
4/3
Question 14.
The peak value of A.C. of frequency 50 Hz is 14.14 A. Find the root mean square value of the current. How much time will the current take to reach from zero to maximum value?.
Answer:
\(10 \mathrm{~A}, 5.0 \times 10^{-3} \mathrm{~s} .\left[\text { Hint : } \mathrm{t}=\frac{\mathrm{T}}{4}=\frac{1}{4 \mathrm{v}}\right]\)
Question 15.
A 750 cps, 20 V source is connected to a resistance of 100 Ω, an inductance of 0.1803 H and C = 10 μF all in series. Calculate the time in which the resistance (thermal capacity = 2]°C-1) will get heated by 10°C.
Answer:

Question 16.
The dielectric strength of air is 3.0 x 106 Vm-1. A parallel plate air capacitor has area 20 cm2 and plate separation is 1 mm. Find the maximum r.m.s. voltage of an a.c. source which can be safely connected to this capacitor.
Answer:

Question 17.
Sketch a graph tp depict how the reactance of:
(a) a capacitor,
(b) an inductor varies as a function of frequency?
Question 18.
The electric mains of a house are marked 220 V, 50 cps. Write down the equation for instantaneous voltage.
Answer:
311 sin 100 πt.
![]()
Question 19.
A coil of resistance 300 Ω and inductance 1H is connected across an alternating voltage of frequency 300/2π cps. Calculate the phase difference between voltage and current in the circuit.
Answer:
\(45^{\circ},\left[\text { Hint }: \tan \dot{\phi}=\frac{X_{L}}{R}=\frac{2 \pi v L}{R} .\right]\)
Question 20.
A coil has an inductance 0.7 H and is joined in series with a resistance of 220 Ω. Find the wattless component of the current in the circuit, when an alternating e.m.f. of 220 V at a frequency of 50 Hz is supplied to it.
Answer:
0.5 A,

∴ Wattless component of the current is given by
Iv sin Φ = 0.5 A]