Bihar Board Class 7 Maths Solutions Chapter 10 राशियों की तुलना Text Book Questions and Answers.
BSEB Bihar Board Class 7 Maths Solutions Chapter 10 राशियों की तुलना
Bihar Board Class 7 Maths राशियों की तुलना Ex 10.1
राशियों की तुलना कक्षा 7 Chapter 10 Bihar Board प्रश्न 1.
अनुपात ज्ञात कीजिए-
(a) 3 किग्रा. का 600 ग्रा. से।
(b) 2 घंटे का 30 मिनट से।
(c) 340 सेमी. का 4 मीटर से।
(d) 75 रुपये का 200 पैसे से।
हल :

7th Class Math Bihar Board Chapter 10 प्रश्न 2.
निम्नलिखित अनुपातों का सरलतम रूप लिखिए-
(a) 45 : 60
(b) 144 : 84
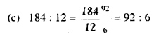
(c) 184 : 12
हल :

![]()
Bihar Board Class 7 Math Solution In Hindi Chapter 10 प्रश्न 3.
उपेन्द्र का वेतन 42000 रु. प्रतिमाह है और वह प्रतिमाह 6000 रु. आयकर में जमा करते हैं। ज्ञात कीजिए-
(a) आय का आयकर के साथ अनुपात
(b) आयकर का आय के साथ अनुपात
(c) क्या ये दोनों अनुपात तुल्य है?
हल :
कुल वेतन = 42000
(a) आय का आयकर के साथ अनुपात = \(\frac{42000}{6000}\) = 7 : 1
(b) आयकर का आय के साथ अनुपात = \(\frac{6000}{42000}\) = 1 : 7
(c) नहीं, यह दोनों अनुपात द्रव्य नहीं है।
Bihar Board Class 7 Math Solution Chapter 10 प्रश्न 4.
एक रिबन (Ribbon) की लम्बाई 10 मीटर एवं इसकी चौड़ाई 25 सेमी. है। निम्न का अनुपात ज्ञात कीजिए-
(a) लम्बाई का चौड़ाई के साथ
(b) चौड़ाई का लम्बाई के साथ
(c) क्या दोनों अनुपात तुल्य है?
हल :
कुल लम्बाई = 10 मी०
चौड़ाई = 25 cm
(a) कोल का चौ० के साथ अनपात = \(\frac{10 \times 100}{25 \mathrm{cm}}\) = \(\frac{40}{1}\) = 40 : 1
(b) चौ० का ल० के साथ अनुपात = \(\frac{25}{10 \times 100}\) = \(\frac{1}{40}\) = 1 : 40
(c) नहीं, ये द्रव्य नहीं है।
Bihar Board Class 7 Math Book Solution Chapter 10 प्रश्न 5.
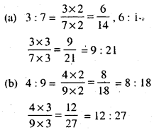
निम्नलिखित अनुपातों का दो तुल्य अनुपात ज्ञात कीजिए-
(a) 3 : 7
(b) 4 : 9
हल :

Bihar Board 7th Class Math Solution Chapter 10 प्रश्न 6.
यदि किसी समानुपात के प्रथम तीन पद 3, 5 तथा 12 है तो चौथा पद ज्ञात कीजिए।
हल :
प्रथम तीन अनुपात = 3, 5, 12
3 : 5 :: 12 : x
\(\frac{3}{5}=\frac{12}{x}\)
x = \(\frac{12 \times 5}{3}\) = 20
Class 7 Bihar Board Math Solution Chapter 10 प्रश्न 7.
यदि 3 : x :: 9 : 15 हो तो x का मान ज्ञात कीजिए।
हल :
3 : x :: 9 : 15
\(\frac{3}{x}=\frac{9}{15}\)
x = \(\frac{3 \times 15}{9}\) = 5
Bihar Board Class 7 Math Chapter 10 प्रश्न 8.
बाजार में केले 18 रु. प्रति दर्जन बिक रहे है, तो 10 केलों का मूल्य क्या होगा?
हल :
1 दर्जन अर्थात् 12 केले = 18
1 केला का मू = \(\frac{18}{12}\)
10 केलों का मू० = \(\frac{18}{12}\) × 10 = 15 रु०
Class 7 Math Bihar Board Chapter 10 प्रश्न 9.
मिठाई बनाने में चीनी और खोये का अनुपात 3:7 रखा जाये तो 12 किग्रा. चीनी की मिठाई बनाने हेतु कितने खोये की आवश्यकता होगी?
हल :
3 : 7 :: 12 : x
\(\frac{3}{7}=\frac{12}{x}\)
x = \(\frac{12 \times 7}{3}\) = 28
Class 7 Math Solution Bihar Board Chapter 10 प्रश्न 10.
एक मोटरसाइकिल 2 ली. में 120 किमी. दूरी तय करता है। बताइए 300 किमी. दूर तक जाने में कितने लीटर पेट्रोल की आवश्यकता होगी?
हल :
2 ली = 120 किमी
x = 300
x = \(\frac{300 \times 2}{120}\) = 5 ली.
Bihar Board Math Solution Class 7 Chapter 10 प्रश्न 11.
एक मकान का 4 माह का किराया 10,000 रुपये हैं तो पूरे वर्ष का किराया बताइए।
हल :
4 माह का किराया = 10000
12 = x
x = \(\frac{10000 \times 12}{4}\) = 30000
Bihar Board Class 7 Maths राशियों की तुलना Ex 10.2
Bihar Board Class 7 Math Book Chapter 10 प्रश्न 1.
दी गई भिन्न संख्याओं को प्रतिशत में बदलिए।
(a) \(\frac{3}{10}\)
(b) \(\frac{2}{5}\)
(c) \(\frac{3}{5}\)
(d) \(\frac{5}{8}\)
(e) \(\frac{7}{12}\)
हल :

Bihar Board Class 7th Math Solution Chapter 10 प्रश्न 2.
दी गई दशमलव भिन्नों को प्रतिशत में बदलिए।
(a) 0.45
(b) 1.25
(c) 3.2
(d) 0.375
हल :

Bihar Board Solution Class 7 Math Chapter 10 प्रश्न 3.
दिए गए प्रतिशत को साधारण व दशमलव भिन्नों में बदलिए और अपने उत्तर को सरलतम रूप में लिखिए।
(a) 25%
(b) 18%
(c) 12\(\frac{3}{4}\)%
(d) 60%
हल :

Bihar Board Math Class 7 Chapter 10 प्रश्न 4.
नीचे दिए गए चित्रों का कितना प्रतिशत भाग छायांकित है?

हल :
(a) \(\frac {3}{8}\)
(b) \(\frac {3}{5}\)
(c) \(\frac {7}{14}\) = \(\frac {1}{2}\)
Class 7 Maths Bihar Board Chapter 10 प्रश्न 5.
एक व्यक्ति की मासिक आय 7000 रु. है तथा वह 1400 रु. प्रतिमाह बचाता है तो वह अपनी आय का कितना प्रतिशत वह खर्च करता है?
हल :
कुल आय = 7000
प्रतिमाह बचाता है = 1400
प्रतिमाह खर्च करता है.-

आप का 80% खर्च करता है तो बचाता है-
Bihar Board 7th Class Math Book Chapter 10 प्रश्न 6.
एक आदमी अपनी आय का चौथाई भाग भोजन पर, 25% शिक्षा पर तथा 22% किराया पर खर्च करता है। यदि वह 266 रु. बचाता है तो उसकी आय क्या है?
हल :
चौथाई भाग भोजन पर = 25%
शिक्षा पर = 25%
किराया पर = 22%
आय का खर्च = 72%
वह अपनी आय का (100 – 72)% बचाता है।
अर्थात् वह 28% बचाता है।
x का 28% = 266
x = \(\frac{266 \times 100}{28}\) = 950
कुल आय = 950
Class 7 Math Solution Hindi Medium Bihar Board Chapter 10 प्रश्न 7.
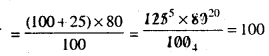
एक शहर की जनसंख्या प्रतिवर्ष 5% बढ़ जाती है। यदि उसकी वर्तमान जनसंख्या 5,14,700 है तो अगले वर्ष इसकी जनसंख्या क्या होगी।
हल :
प्रतिवर्ष 5% बढ़ती है-
अगले वर्ष की जनसंख्या = \(\frac{514700 \times 110}{100}\) = 56617000
Bihar Board Class 7 Maths Solution Chapter 10 प्रश्न 8.
किसी विद्यालय के छात्र संघ के निर्वाचन में अध्यक्ष पद के लिए दो छात्रों में सीधी टक्कर थी। यदि विजयी छात्रा को कुल 55% वोट मिले और वह 70 मतों से विजयी हुआ तो कुल कितने वैध मत पड़े और पराजित प्रत्याशी को कितने वोट मिले?
हल :
माना कुल मत = x

पराजित प्रत्याशी के वोट = \(700 \times \frac{45}{100}\) = 315
प्रश्न 9.
एक कुर्सी और एक टेबल दोनों की कुल कीमत 2800 रु. है। यदि कुर्सी की कीमत टेबल की कीमत से 40% कम है तो कुर्सी की कीमत बताइए।
हल :
माना कि टेबल की कीमत = x

कुर्सी की कीमत = 1750 – 1750 × \(\frac{40}{100}\) = 1750 – 700 = 1050
Bihar Board Class 7 Maths राशियों की तुलना Ex 10.3
प्रश्न 1.
निर्देशानुसार रिक्त स्थान की पूर्ति कीजिए-

हल :
(ii) क्रय मू० = 700
कि मु. = 679
हानि = 21 रु.
हानि% = \(\frac{21 \times 100}{700}\) = 3%
(iii) क्र० मू० = 300
वि० मू = 324
लाभ = वि. मू – क्र. मू० = (324 – 300) = 24
लाभ% = \(\frac{24 \times 100}{300}\) = 8%
(iv) क्र० मू० = 110
वि. मू = 88
हानि = (110 – 88) = 22
हानि% = \(\frac{22 \times 100}{110}\) = 20%

प्रश्न 2.
रिक्त स्थानों की पूर्ति कीजिए-

हल :
(ii) क्र. मू० = 500
लाभ = 25
वि. मू० = 525
लाभ% = \(\frac{25 \times 100}{525}=4 \frac{16}{21}\)
(iii) क्र. मृ = 630
हानि = 70
वि० मू० = 560
हानि% = \(\frac{70 \times 100}{630}=\frac{100}{9}=11 \frac{1}{9}\)
(iv) क. मू० = 400
हानि = 40
वि० मू० = 360
हानि = \(\frac{40 \times 100}{400}\) = 10%

प्रश्न 3.
रिक्त स्थानों की पूर्ति कीजिए-

हल :
(ii) वि. मू० = 1400
लाभ = 280
क्र० मू० = 1120
लाभ% = \(\frac{280 \times 100}{1120}\) = 25%
(iii) वि० मू० = 950
हानि = 50
क्र० मू० = 1000
हानि% = \(\frac{50 \times 100}{950}\) = 5\(\frac{5}{19}\)%
(iv) वि. मू० = 375
लाभ = 25
क्र मू = 350
लाभ% = \(\frac{25 \times 100}{350}\) = \(\frac{50}{7}=7 \frac{1}{7}\)

प्रश्न 4.
एक वस्तु का क्रय मूल्य 80 रु. है और वह वस्तु 25% के लाभ पर बेची गई तो लाभ और विक्रय मूल्य बताइए।
हल :
क्रय मू० = 80
लाभ = 25%


लाभ = वि. मू० – क्र० मू. = 100 – 80 = 20
प्रश्न 5.
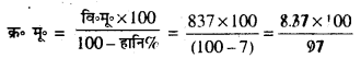
कोई मशीन 7% की हानि पर 837 रु. में बेची गई तो उसका क्रय मूल्य निकालिए।
हल :
वि. मू० = 837
हानि = 7%

प्रश्न 6.
किसी वस्तु की 72 रु. में बेचने से 10% की हानि होती है। बताइए कि उस वस्तु को कितने में बेचने 20% का लाभ होगा?
हल :
72 रु. में बेचने पर 10% की हानि होती है।

प्रश्न 7.
एक रेडियो को 880 रु. में बेचने से 10% लाभ होता है तो बताइए कि यदि उसे 760 रु. में बेचा जाय तो बेचने वाला कितने प्रतिशत के लाभ या हानि में रहेगा?
हल :
वि० मू० = 880
लाभ = 10%

प्रश्न 8.
एक कुर्सी 20% हानि पर 240 रु. में बिकती है। यदि विक्रय मूल्य 10% बढ़ जाए तो बताइए कि कितने प्रतिशत की हानि होगी?
हल :
वि. मू० = 240
हानि = 20%
क्र. मू = \(\frac{240 \times 100}{80}\) = 300
वि० मू. 10% बढ़ जाए तो = 240 + 24 = 264
हानि = 300 – 264 = 36
हानि = \(\frac{36 \times 100}{300}\) = 12%
प्रश्न 9.
एक व्यापारी ने 1 रुपये के 5 की दर से 1000 नींबू खरीदकर एक रुपये के 4 की दर से बेच दिया तो उसका लाभ प्रतिशत ज्ञात कीजिए।
हल :
1 रु. में 5 आम
1000 आम = \(\frac{1000}{5}\) = 200 रु०
1000 आम का क्र० मू० = 200 रु०
बेचा 1 रु. में 4 आम
अर्थात् 1000 आम का वि० मूळ = \(\frac{1000}{4}\) = 250
लाभ = 250 – 200 = 50
लाभ% = \(\frac{50 \times 100}{200}\) = 25%
प्रश्न 10.
एक दुकानदार ने दो साइकिलें 1100 रु. प्रति साइकिल के हिसाब से बेची। एक पर उसे 10% का लाभ एवं दूसरे पर उसे 20% की हानि हुई। बताइए उसे लाभ हुआ कि नहीं? लाभ या हानि प्रतिशत में ज्ञात कीजिए।
हल :
प्रत्येक साइकिल का क्र. मू० = 1100
दो साइकिलों का क्र० मू० = 1100 × 2 = 2200
एक पर उसे 10% का लाभ हआ।
वि० म० = \(\frac{1100 \times 110}{100}\)
दूसरे पर 20% की हानि हुई-
वि० म० = \(\frac{1100 \times 80}{100}\) = 880
कुल वि. मू० = 1210 + 880 = 2090 उसे लाभ नहीं हुआ।
उसे हानि हुई है।
हानि मू० = 2200 – 2090 = 110
हानि% = \(\frac{110 \times 100}{2200}\) = 5%
Bihar Board Class 7 Maths राशियों की तुलना Ex 10.4
प्रश्न 1.
750 रु. का 9% वार्षिक व्याज की दर से 6 वर्षो का ब्याज ज्ञात कीजिए तथा मिश्रधन भी निकालिए।
हल :
मू० = 750 (P = 750)
दर = 9% (R = 9%)
समय = 6 (T = 6)

मिश्रधन = 750 + 405 = 1155
प्रश्न 2.
500 रु. का 1 रु. 50 पैसे प्रति सैकड़े प्रतिमाह की दर से 15 महीने का ब्याज ज्ञात कर्रे।
हल :
मूलधन = 500 = 5 सेकेण्ड
1.50 प्रति सैंकड़े/प्रतिमाह
500 रु. = 5 × 1.50/प्रतिमाह = 7.50/प्रतिमाह
15 माह = 7.50 × 15 = 112.50
प्रश्न 3.
कितने प्रतिशत वार्षिक ब्याज की दर से कोई मूलधन 4 वर्षों में अपना सवा गुना हो जाएगा?
हल :
माना कि० मूलधन = 100
सवा गुना = 125
समय = 4
ब्याज = 125 – 100 = 25

प्रश्न 4.
कितने प्रतिशत ब्याज की दर से 450 रु. तीन वर्षों में 504 रु. हो जाएगा?
हल :
मू० = 450
समय = 3 वर्ष
ब्याज = 504 – 450 = 54

प्रश्न 5.
यदि कोई मिश्रधन 5 वर्षों में मूलधन का \(\frac {5}{4}\) हो जाता है तो ब्याज की दर ज्ञात कीजिए।
हल :
समय = 5 वर्ष
माना कि मू = 100

प्रश्न 6.
कितने वर्षों में 5% वार्षिक ब्याज की दर से 600 रु. का मिश्रधन 700 रु. हो जाएगा?
हल :
मू० = 600
ब्याज = 700 – 600 = 100
दर = 5%

प्रश्न 7.
कितने समय में 6\(\frac {1}{2}\)% वार्षिक ब्याज की दर से कोई धन दुगुना हो जाएगा?
हल :
माना कि मू० धन = 100
मिश्रधन (दुगुना) = 200
ब्याज = 200 – 100 = 100
दर = 6.5% (6\(\frac {1}{2}\))

प्रश्न 8.
12% वार्षिक ब्याज की दर से कौन सा धन 5 वर्षों में 400 रु. हो जाएगा?
हल :
दर = 12%
समय = 5
माना कि ब्याज = 400
मू० = \(\frac{400 \times 100}{12 \times 5}=\frac{8000}{12}\) = 666.66
प्रश्न 9.
कितना धन 5% वार्षिक ब्याज की दर से 8 वर्षों में 560 रु. हो जाएगा?
हल :
माना कि मू० = 100
Rs = 5.
T = 8
तो ब्याज = \(\frac{100 \times 8 \times 5}{100}\) = 40
जब मू० 100 तो मिश्रधन = 140 {100 + 40}
जब मू० x तो मिश्रधन = 560
140 × x = 100 × 560
x = \(\frac{100 \times 560}{140}\) = 400
प्रश्न 10.
कितने धन का 6% वार्षिक ब्याज की दर से 2.5 वर्ष में वही ब्याज होगा जो 400 रु. का 5 वार्षिक ब्याज की दर से 3 वर्षों में होगा?
हल :
प्रश्नानुसार,
