Bihar Board Class 7 Maths Solutions Chapter 12 परिमेय संख्याएँ Text Book Questions and Answers.
BSEB Bihar Board Class 7 Maths Solutions Chapter 12 परिमेय संख्याएँ
Bihar Board Class 7 Maths परिमेय संख्याएँ Ex 12.1
प्रश्न 1.
निम्नलखित परिमेय संख्याओं के बीच चार परिमेय संख्याएँ लिखिए-
(i) -3 और -1
(ii) -2 और 0
(iii) -1 और 0
(iv) \(\frac { -4 }{ 5 }\) और \(\frac { 2 }{ 5 }\)
(v) \(\frac { -4 }{ 5 }\) और \(\frac { -5 }{ 7 }\)
(vi) \(\frac { -1 }{ 2 }\) और \(\frac { 2 }{ 3 }\)
हल :


प्रश्न 2.
निम्नलिखित प्रत्येक प्रतिरूप में पाँच और परिमेय संख्याएँ लिखिए-

हल :

![]()
प्रश्न 3.
नीचे दी गयी परिमेय संख्याओं में प्रत्येक के लिए पाँच समतुल्य परिमेय संख्या लिखिए-
(i) \(\frac{1}{8}\)
(ii) \(\frac{-2}{3}\)
(iii) \(\frac{-5}{9}\)
हल :

प्रश्न 4.
\(\frac{-5}{12}\) की चार ऐसी समतुल्य परिमेय संख्या लिखिए, जिसका हर क्रमशः 80, 84, 108 और -24 है
हल :
![]()
प्रश्न 5.
परिमेय संख्या \(\frac{-8}{11}\) के तुल्य परिमेय संख्याएँ लिखें, जिसका अंश निम्नलिखित हो-
(i) -24
(ii) 40
(iii) 72
(iv) -96
(v) -120
हल :

![]()
प्रश्न 6.
निम्नलिखित परिमेय संख्या को संख्या रेखा पर निर्माण करें-
(i) \(\frac{4}{5}\)
(ii) \(\frac{-4}{5}\)
(iii) \(\frac{5}{8}\)
(iv) \(\frac{-8}{3}\)
(v) -2\(\frac{1}{2}\)
हल :


प्रश्न 7.
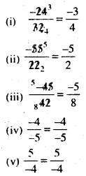
निम्नलिखित परिमेय संख्याओं को सरलतम रूप में लिखिए-
(i) \(\frac{-24}{32}\)
(ii) \(\frac{-55}{22}\)
(iii) \(\frac{-45}{72}\)
(iv) \(\frac{-4}{-5}\)
(v) \(\frac{5}{-4}\)
हल :

प्रश्न 8.
निम्नलिखित वर्गाकार खानों में उपयुक्त भिन्नों (<, >, =) को भरिए-

हल :

![]()
प्रश्न 9.
निम्नलिखित को आरोही क्रम में लिखें-


हल :

![]()
प्रश्न 10.
निम्नलिखित को अवरोही क्रम में लिखें-

हल :

Bihar Board Class 7 Maths परिमेय संख्याएँ Ex 12.2
प्रश्न 1.
निम्न दी गई परिमेय संख्याओं का योगफल ज्ञात कीजिए-

हल :


प्रश्न 2.
ज्ञात करें-

हल :

![]()
प्रश्न 3.
गुणनफल ज्ञात कीजिए-

हल :

प्रश्न 4.
निम्नलिखित का मान ज्ञात करें-

हल :


Bihar Board Class 7 Maths परिमेय संख्याएँ Ex 12.3
प्रश्न 1.
दशमलव में बदलिए-
(i) \(\frac{5}{4}\)
(ii) \(\frac{8}{7}\)
(iii) \(\frac{15}{16}\)
(iv) \(\frac{25}{24}\)
हल :
(i) \(\frac{5}{4}\) = 1.25
(ii) \(\frac{8}{7}\) = 1.142
(iii) \(\frac{15}{16}\) = 0.94
(iv) \(\frac{25}{24}\) = 1.04
![]()
प्रश्न 2.
दशमलव संख्या को परिमेय संख्या में बदलिए-
(i) 4.32
(ii) 12.32
(iii) 5.486
(iv) 2.842
हल :

प्रश्न 3.
निम्न को दशमलव में बदलें-
(i) \(\frac{-5}{8}\)
(ii) \(\frac{-25}{16}\)
हल :
(i) \(\frac{-5}{8}\) = 0.625
(ii) \(\frac{-25}{16}\) = -1.56
प्रश्न 4.
निम्न भिन्न संख्याओं को दशमलव में बदले बिना बताइए की कौन-कौन सांत दशमलव है और कौन – कौन असांत दशमलव है
(i) \(\frac{5}{3}\)
(ii) \(\frac{7}{6}\)
(iii) \(\frac{8}{5}\)
(iv) \(\frac{17}{24}\)
(v) \(\frac{15}{8}\)
हल :
(i) \(\frac{5}{3}\) = 1.66666 (अमांत दशमलव)
(ii) \(\frac{7}{6}\) = 1.17
(iii) \(\frac{8}{5}\) = 1.6
(iv) \(\frac{17}{24}\) = 0.71
(v) \(\frac{15}{8}\) = 1.72
![]()
प्रश्न 5.
निम्नलिखित को परिमेय संख्या के रूप में विस्तार से लिखिए-
![]()
हल :

प्रश्न 6.
निम्न को परिमेय संख्या के रूप में संक्षेप में लिखें-
(i) \(5.43\overline{6}\)
(ii) \(12.3\overline{25}\)
(iii) \(9.3\overline{865}\)
(iv) \(0.32\overline{5}\)
हल :
(i) \(5.43\overline{6}\) = \(\frac { 5436 – 543 }{ 900 }\) = \(\frac { 4893 }{ 900 }\) = \(\frac { 1631}{ 300 }\)
(ii) \(12.3\overline{25}\) = \(\frac { 12325 – 12 }{ 9990 }\) = \(\frac { 12313 }{ 9990 }\)
(iii) \(9.3\overline{865}\) = \(\frac { 93865 – 938 }{ 9900 }\) = \(\frac { 92927 }{ 9900 }\)
(iv) \(0.32\overline{5}\) = \(\frac { 325 – 32 }{ 900 }\) = \(\frac { 293 }{ 900 }\)
प्रश्न 7.
निम्न असांत दशमलव संख्या को संकेत में लिखें-
(i) 4.3454545 ……..
(ii) 82.3255555
(iii) 0.254354354
(iv) 2.32145145145…….
हल :
(i) 4.3454545 …….. = \(4 . \overline{345}\)
(ii) 82.3255555 = \(82.32\bar { 5 }\)
(iii) 0.254354354 = \(0 . \overline{2543}\)
(iv) 2.32145145145……. = \(2.32\bar { 145 }\)
![]()
प्रश्न 8.
(i) 3.252525 = \(3 . \overline{25}\)
(ii) 3.252525 = \(3 . \overline{25}\)
(iii) 325.5555 = \(325 . \overline{5}\)
हल :
(i) 3.252525 = \(3 . \overline{25}\) ( यह सात दशमलव नहीं है)
(ii) 3.252525 = \(3 . \overline{25}\)(यह सात दशमलव नहीं है)
(iii) 325.5555 = \(325 . \overline{5}\) (यह सात दशमलव नहीं है)।