Bihar Board Class 7 Maths Solutions Chapter 2 भिन्न Text Book Questions and Answers.
BSEB Bihar Board Class 7 Maths Solutions Chapter 2 भिन्न
Bihar Board Class 7 Maths भिन्न Ex 2.1
प्रश्न 1.
निम्न के चार-चार तुल्य भिन्न लिखिए-


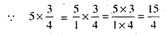
प्रश्न 2.

![]()
प्रश्न 3.
हल कीजिए-



प्रश्न 4.
एक ‘जादुई वर्ग’ में प्रत्येक पंक्ति, प्रत्येक स्तम्म एवं प्रत्येक विकर्ण की संक्याओं का योग समान होता है| क्या यह एक जादुई वर्ग है?

हल :

प्रश्न 5.
निम्नलिखित भिन्न संख्याओं को आरोही क्रम (बढ़ते हुए) क्रम में लिखिए-
(i) \(\frac{1}{5}, \frac{1}{2}, \frac{3}{4}\)
(ii) \(\frac{2}{5}, \frac{3}{7}, \frac{3}{5}\)
हल :
(i) \(\frac{1}{5}, \frac{1}{2}, \frac{3}{4}\)
(ii) \(\frac{2}{5}, \frac{3}{7}, \frac{3}{5}\)
![]()
प्रश्न 6.
श्यामपट्ट की लम्बाई = 3\(\frac {1}{2}\) मी०
श्यामपट्ट की चौड़ाई = 2\(\frac {2}{3}\) मी.
आयताकार श्यामपट्ट का परिमाप

प्रश्न 7.
चित्र नं दो आकृति में

(i) ∆ABC तथा
(ii) आयत BCDE का परिमान बात कीजिए तथा
(iii) बताइए किसका परिमान ज्यादा है ?
हल :

प्रश्न 8.
सत्यम ने समय लिया = \(\frac{11}{16}\) घंटे = 0.68
सलीम ने समय लिया = \(\frac{3}{4}\) घंटे = 0.75
सलीम ने ज्यादा समय लिया = (0.75 – 0.68) = 0.07
![]()
प्रश्न 9.

हल :

Bihar Board Class 7 Maths भिन्न Ex 2.2
प्रश्न 1.
नीचे कुछ भिन्न संक्याओं के गुणा के लिए भिन्न बनाए गए है, प्रत्येक गुणा के उसके सही चित्र से मिलाइए-

हल :
(i) – (d)
(ii) – (a)
(iii) – (c)
(iv) – (b)
प्रश्न 2.
नीचे दी गई भिन्न संख्याओं का गुणन कीजिए व सरलतम रूप में लिखिए-



![]()
प्रश्न 3.

हल :
(i) \(\frac {1}{3}\) + \(\frac {1}{3}\) = \(\frac {2}{3}\)
(ii) \(\frac {3}{4}\) + \(\frac {3}{4}\) + \(\frac {3}{4}\) = 4 + 4 + \(\frac {1}{4}\)
(iii) \(\frac {1}{5}\) + \(\frac {1}{5}\) + \(\frac {1}{5}\) = \(\frac {3}{5}\)
प्रश्न 4.
छायांकित काजिए-

हल :
(i)

(ii)

(iii)

प्रश्न 5.
ज्ञात कीजिए-
![]()


![]()
प्रश्न 6.
गुणा कीजिए और मिश्रित भिन के रूप में ज्ञात कीजिए-


प्रश्न 7.
कुल पानी = 5 liter
(i) रीया ने पानी पिया = 5 × \(\frac {3}{5}\) = 3 liter
(ii) राहुल द्वारा पिया गया पानी = 5 – \(\frac {3}{5}\) = \(\frac {2}{5}\)
प्रश्न 8.
ज्ञात कीजिए-
(i) एक दिन का \(\frac{5}{6}\) है (घंटों में)
हल :
एक दिन = 24 घंटे
= 24 × \(\frac{5}{6}\)
= 4 × 5
= 20 घंटे
(ii) एक घंटे का \(\frac{2}{3}\) (मिनट में)
हल :
एक घंटे = 60 मिनट
= 60 × \(\frac{2}{3}\)
= 40 मिनट
![]()
(ii) एक सप्ताह का \(\frac{2}{7}\) (दिन में)
हल :
एक सप्ताह = 7 दिन
= 7 × \(\frac{2}{7}\)
= 2 दिन
(iv) एक किलोग्राम का \(\frac{3}{5}\) है (ग्राम में)
हल :
एक किलोग्राम = 1000 ग्रा
= 1000 × \(\frac{3}{5}\)
= 200 × 3
= 600 ग्राम
(v) एक वर्ष का \(\frac{3}{5}\) है (दिन में)
हल :
एक वर्ष = 365 दिन
= 365 × \(\frac{3}{5}\)
= 73 × 3 दिन
= 219 दिन
प्रश्न 9.
एक आयताक आँगन 5\(\frac{1}{4}\) मीटर लम्ब और 1\(\frac{1}{7}\)मीटर चौदा है| आँगन का परिमाप ज्ञात करें|
हल :

Bihar Board Class 7 Maths भिन्न Ex 2.3
प्रश्न 1.
प्रत्येक गुणा को उसके सही चित्र से मिलाइए-
हल :

![]()
प्रश्न 2.
छायांकित कीजिए-
(i) वृत्तों का \(\frac{1}{2}\) भाग
(ii) बैलूनों का \(\frac{2}{3}\) भान
(iii) तारों का \(\frac{3}{5}\) भाग
हल :

Bihar Board Class 7 Maths भिन्न Ex 2.4
प्रश्न 1.
निम्न का मान ज्ञात कीजिए-



प्रश्न 2.
कौन बड़ा है-


प्रश्न 3.
दो छोटे पौधे के बीच की दूरी = \(\frac{3}{4}\) मी
प्रथम एवं अंतिम पौधे की बीच की दूरी = ?
बुधवारी के बगीचे में लगे पौधों की संख्या = 5

![]()
प्रश्न 4.
शिवानी द्वारा पुस्तक पढ़ने में प्रतिदिन लिया गया समय = 1\(\frac{2}{7}\) = \(\frac{9}{7}\)
एक सप्ताह में 7 × \(\frac{9}{7}\) घंटे या, 7 × \(\frac{9}{7}\) = 9
शिवानी ने कुल 9 घंटे समय लिया।
प्रश्न 5.
1 लीटर पेट्रोल में तय की गई दूरी = 35 किमी.
3\(\frac{4}{5}\) लीटर पेट्रोल में तय की गई दूरी = ?
3\(\frac{4}{5}\) = \(\frac{19}{5}\) × 35
= 19 × 7
= 13.3 km
Bihar Board Class 7 Maths भिन्न Ex 2.5
प्रश्न 1.
ज्ञात कीजिए-


प्रश्न 2.

प्रश्न 3.
ज्ञात कीजिए-


![]()
प्रश्न 4.
ज्ञात कीजिए-


प्रश्न 5.
आधा दर्जन केले का मूल्य = 7\(\frac{1}{2}\) रुपये = \(\frac{15}{2}\) (आधा दर्जन = 6 केले)
1 केले का मूल्य = ?
1 केले का मूल्य = \(\frac{15}{2}\) ÷ 6
= \(\frac{15}{2} \times \frac{1}{6}=\frac{15}{12}\)
प्रश्न 6.
प्रत्येक छात्र द्वारा लिया गया = \(1 \frac{5}{6}=\frac{11}{6}\)
कुल दूध उपयोग होता है = 308 लीटर
तो छात्रों की संख्या = 308 × \(\frac{11}{6}\) = 168
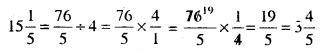
प्रश्न 7.
रिवन की लम्बाई = 15\(\frac{1}{5}\) मी० या \(\frac{76}{5}\)
बाँटा गया = 4 भागों में
प्रत्येक हिस्से की लम्बाई = ?

![]()
प्रश्न 8.
