Bihar Board Class 8 Maths Solutions Chapter 2 एक चर वाले रैखिक समीकरण Text Book Questions and Answers.
BSEB Bihar Board Class 8 Maths Solutions Chapter 2 एक चर वाले रैखिक समीकरण
Bihar Board Class 8 Maths एक चर वाले रैखिक समीकरण Ex 2.1
Ek Char Wale Rekhik Samikaran Class 8 Solutions Bihar Board Chapter 2 प्रश्न 1.
3(x – 3) = 15
उत्तर
3(x – 3) = 15
3x – 9 = 15
3x = 15 + 9
3x = 24
x = \(\frac{24}{3}\)
x = 8
Ek Char Wale Rekhik Samikaran Class 8 Bihar Board Chapter 2 प्रश्न 2.
\(\frac{x}{2}\) – 7 = 15
उत्तर
\(\frac{x}{2}\) – 7 = 15
\(\frac{x-14}{2}\) = 15
x – 14 = 15 × 2 = 30
x – 14 = 30
x = 30 + 14
x = 44
एक चर वाले रैखिक समीकरण क्लास 8 Bihar Board Chapter 2 प्रश्न 3.
\(\frac{-2 x}{7}\) + 2 = 8
उत्तर
\(\frac{-2 x+14}{7}\) = 8
-2x + 14 = 8 × 7 = 56
-2x + 14 = 56
-2x = 56 – 14
-2x = 42
-x = \(\frac{42}{2}\)
x = -21
Bihar Board Solution Class 8 Math Chapter 2 प्रश्न 4.
7 – 3x = 18
उत्तर
7 – 3x = 18
-3x = 18 – 7
-3x = 11
x = \(\frac{-11}{3}\)
Bihar Board Class 8 Math Solution Chapter 2 प्रश्न 5.
18 = 40 – 3x
उत्तर
18 – 40 = -3x
-22 = -3x
x = \(\frac{22}{3}\)
Samikaran Class 8 Bihar Board Chapter 2 प्रश्न 6.
\(\frac{25}{6}\) – 9y = 11
उत्तर

Class 8 Maths Bihar Board Chapter 2 प्रश्न 7.
2.4 = \(\frac{x}{2.5}\) – 1
उत्तर
2.4 = \(\frac{x-2.5}{2.5}\)
2.4 × 2.5 = x – 2.5
6 = x – 2.5
6 + 2.5 = x
x = 8.5
Class 8 Math Bihar Board Chapter 2 प्रश्न 8.
3x + 10 – x = 0
उत्तर
3x + 10 – x = 0
3x – x = -10
2x = -10
x = -5
Class 8 Chapter 2 Maths Bihar Board प्रश्न 9.
2(x + \(\frac{11}{4}\)) = 13
उत्तर
2(\(\frac{4 x+11}{4}\)) = 13
2(4x + 11) = 13 × 4
8x + 22 = 52
8x = 52 – 22
8x = 30
x = \(\frac{30}{8}\)
x = \(\frac{15}{4}\)
Bihar Board 8th Class Math Solution Chapter 2 प्रश्न 10.
\(\frac{x}{3}+\left(\frac{-14}{3}\right)=\frac{3}{7}\)
उत्तर

Bihar Board Class 8 Maths एक चर वाले रैखिक समीकरण Ex 2.2
Bihar Board Math Solution Class 8 Chapter 2 प्रश्न 1.
यदि किसी संख्या के आधे में से \(\frac{1}{4}\) घटाया जाए तो \(\frac{1}{8}\) प्राप्त होता है। संख्या ज्ञात कीजिए।
उत्तर
माना कि सं. = x
तो प्रश्नानुसार,

Class 8 Math Solution Bihar Board Chapter 2 प्रश्न 2.
यदि किसी आयत की लम्बाई और चौड़ाई का अंतर 5 मी. हो और परिमिति 110 मी. हो तो लम्बाई एवं चौड़ाई ज्ञात करें।
उत्तर
माना कि आयत की लम्बाई = x
आयत की चौड़ाई = y
प्रश्न से,
(x – y) = 5 ……. (i)
आयत की परिमिति = 2(x + y) = 110
x + y = \(\frac{110}{2}\) = 55 …….. (ii)
अब, (i) तथा (ii) से,
x + y = 55
x – y = 5
—————-
2x = 60
x = 30
(i) से,
x + y = 55
3x + y = 55
y = 55 – 30 = 25
आयत की लम्बाई = x = 30 m.
आयत की चौड़ाई = y = 25 cm.
Bihar Board Class 8 Maths Solutions Chapter 2 प्रश्न 3.
चीनी के मूल्य में 25 प्रतिशत की वृद्धि होने पर अब 1 किग्रा. चीनी का मूल्य 32 रु. है तो प्रारम्भ में चीनी का मूल्य प्रति किग्रा. क्या था?
उत्तर
चीनी का वर्तमान मू० = 32
माना की पहले चीनी का मूल्य = 100
वर्तमान मू० = \(\frac{32 \times 100}{125}=\frac{3200}{125}\) = 25.60
Bihar Board Class 8 Maths Solution Chapter 2 प्रश्न 4.
दो विभिन्न मूल्यवाली 35 कलमों का कुल मूल्य 60 रु. है। यदि 1 सस्ती कलम का मूल्य 1.50 रु. एवं 1 महँगी कलम का मूल्य 2 रु. है तो कितनी महँगी कलमें खरीदी गईं?
उत्तर
माना कि महंगी कलमों की सं० = x
ता सस्ती कलम का मू = 60 – 2x
प्रश्नानुसार,
1.5 (60 – 2x) + 2x = 60
90 – 3x + 2x = 60
-x = 60 – 90
-x = -30
x = 30
महँगी कलमों की सं० = \(\frac{30}{2}\) = 15
तथा सस्ती कलमों की सं. = \(\frac{300}{15}\) = 20
Bihar Board Class 8 Math Chapter 2 प्रश्न 5.
एक त्रिभुज के तीनों कोण 2 : 3 : 5 के अनुपात में है तो उनके तीनों कोण ज्ञात कीजिए।
उत्तर
त्रिभुज के तीनों कोणों का योग = 180°
प्रश्नानुसार,
2x + 3x + 5x = 180
10x = 180
x = 18
त्रिभुज का प्रथम कोण = 2x = 18 × 2 = 36°
त्रिभुज का दूसरा कोण = 3x = 18 × 3 = 54°
त्रिभुज का तीसरा कोण = 5x = 18 × 5 = 90°
प्रश्न 6.
बिल्लू के पास 1 रु. एवं 5 रु. के कुल 160 सिक्के हैं जिनका कुल मूल्य 310 रु. है। यदि 2 रु. के सिक्कों की संख्या 5 रु. के सिक्कों की संख्या की तिगुनी हो तथा 1 रु. के सिक्कों की संख्या = 40 है तो उसके पास प्रत्येक प्रकार के कितने सिक्के हैं?
उत्तर
माना कि एक रु. के सिक्कों की सं० = 40
5 रु. के सिक्कों की सं० = x
2 रु. के सिक्कों की संख्या = 3x
तो प्रश्न से,
40 + x + 3x = 160
40 + 4x = 160
4x = 160 – 40 = 120
x = 30
तो 5 रु. के सिक्कों की सं. = x = 30
2 रु. के सिक्कों की सं = 3x = 90
1 रु. के सिक्कों की सं० = 4x = 40
कुल सिक्कों की सं० = 160
कुल मु० = 30 × 5 = 150
90 × 3 = 120
40 × 1 = 40
कुल मु० = 310
प्रश्न 7.
पिता ने अपने तीन संतानों के बीच अपनी संपत्ति का बँटवारा 1 : 2 : 3 के अनुपात में करता है और अपने लिए 100000 रु. रखता है। यदि उसकी कुल संपत्ति 2.5 लाख रु. की हो तो प्रत्येक संतान को हिस्से के रूप में क्या मिला?
उत्तर
पिता की कुल संपत्ति = 2.5 लाख
पिता अपने लिए 1 लाख रु० रखता है।
पिता ने अपने बच्चों में बाँटने लिए रखे 2.5 – 1.0 = 1.5
अब प्रश्नानुसार,
x + 2x + 3x = 1.5 लाख
6x = 1500000
x = 25000
पिता ने अपनी प्रथम संतान को दिए x = 25000
पिता ने अपनी द्वितीय संतान को दिए 2x = 2 × 25000 = 50000
पिता ने अपनी द्वितीय संतान को दिए 2x = 2 × 25000 = 50000
पिता ने अपने तृतीय संतान को दिए = 3x = 25000 × 3 = 75000
प्रश्न 8.
11 के लगातार तीन गुणजों का योग 231 है तो उन्हें ज्ञात कीजिए।
उत्तर
माना कि 11 का पहला गुणज = x
द्वितीय गुणज = x + 1
तृतीय गुणज = x + 2
प्रश्नानुसार,
11 × x + 11 (x + 1) + 11 (x + 2) = 231
11x + 11x + 11 + 11x + 22 = 231
33x + 33 = 231
33x = 231 – 33
33x = 198
x = 6
पहला गुणज = 11x = 11 × 6 = 66
गज = 11(x + 1) = 11(6 + 1) = 11 × 7 = 77
तृतीय गुणज = 11(x + 2) = 11(6 + 2) = 11 × 8 = 88
प्रश्न 9.
संकुल संसाधन केन्द्र म.वि. फरना में आयोजित बाल मेले में प्रत्येक विजेता छात्र को 2 कलम एवं विजेता को छोड़कर शेष सभी प्रतिभागियों को 1 कलम दिया गया। यदि 100 छात्रों के बीच 120 कलम दिये गये तो विजेताओं की संख्या ज्ञात कीजिए।
उत्तर
विजेताओं को दिए गए कलमों की सं० = 2x
दूसरे विद्यार्थियों को दिए गए कलमों की सं० = x
2x + x = 120
3x = 120
x = 40
विजेताओं की सं० = 2x = 40
x = 20
प्रश्न 10.
रवि के पिता का वर्तमान उम्र रवि के वर्तमान उम्र के तिगुने से 5 वर्ष अधिक है। 5 वर्ष बाद उनके उम्रों का योग 47 वर्ष होगा। दोनों की वर्तमान उम्र ज्ञात कीजिए।
उत्तर
माना कि रवि की उम्र = x
पिता की उम्र = 3x + 5
प्रश्न से,
x + 5 + 3x + 5 + 5 = 47
4x + 15 = 47
4x = 47 – 15 = 32
x = 8
रवि की उम्र = 8
पिता की वर्तमान उम्र = 3x + 5 = 3 × 8 + 5 = 24 + 5 = 29
Bihar Board Class 8 Maths एक चर वाले रैखिक समीकरण Ex 2.3
निम्नलिखित समीकरणों का हल ज्ञात कीजिए
प्रश्न 1.
\(\frac{7-6 x}{9 x}=\frac{1}{15}\)
उत्तर
\(\frac{7-6 x}{9 x}=\frac{1}{15}\)
15 (7 – 6x) = 9x
105 – 90x = 9x
105 = 9x + 90x
105 = 99x
x = \(\frac{35}{33}\)
प्रश्न 2.
\(\frac{z}{4}=\frac{z+15}{9}\)
उत्तर
\(\frac{z}{4}=\frac{z+15}{9}\)
9z = 4(z + 15)
9z = 4z + 60
9z – 4z = 60
5z = 60
z = 12
प्रश्न 3.
x2 – (x – 2)2 = 32
उत्तर
x2 – (x2 – 4x + 4) = 32
x2 – x2 + 4x – 4 = 32
4x – 4 = 32
4x = 32 + 4
4x = 36
x = 9
प्रश्न 4.
(x + 4)2 – (x – 5)2 = 9
उत्तर
(x + 4)2 – (x – 5)2 = 9
x2 + 8x + 16 – (x2 – 10x + 25) = 9
18x – 9 = 9
18x = 9 + 9
18x = 18
x = 1
प्रश्न 5.
(y + 3) (y – 3) – y (y + 5) = 6
उत्तर
(y + 3)(y – 3) – y(y + 5) = 6
y2 – 6y + 9 – y2 – 5y = 6
-11y = 6 – 9
-11y = -3
y = \(\frac{3}{11}\)
प्रश्न 6.

उत्तर


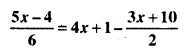
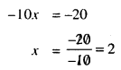
प्रश्न 7.

उत्तर

प्रश्न 8.
\(\frac{0.3+0.7 x}{x}\) = 0.95
उत्तर
\(\frac{0.3+0.7 x}{x}\) = 0.95
0.3 + 0.7x = 0.95 × x
0.3 + 0.7x = 0.95x
0.3 = 0.95x – 0.7x
0.3 = 0.25x
x = 1.2
प्रश्न 9.
\(\frac{15(2-x)-5(x+6)}{1-3 x}=6\)
उत्तर
\(\frac{15(2-x)-5(x+6)}{1-3 x}=6\)
15(2 – x) – 5(x + 6) = 6(1 – 3x)
30 – 15x – 5x – 30 = 6 – 18x
-20x = 6 – 18x
-20x + 18x = 6
-2x = 6
x = -3
प्रश्न 10.
दो अंकों की संख्या का दहाई अंक, इकाई अंक का तिगुना है। यदि अंक बदल दिये जाएँ तो प्राप्त संख्या मूल संख्या से 36 कम हो जाती है। वह संख्या ज्ञात कीजिए।
उत्तर
माना कि इकाई का अंक = x
दहाई का अंक = 10 × 3x
अंक बदल दिए जाने पर इकाई का अंक = 3x
दहाई का अंक = x
प्रश्नानुसार,
3x × 10 + x = 10x × x + 3x + 36
30x + x = 10x + 3x + 36
31x = 13x + 36
31x – 13x = 36
18x = 36
x = 2
इकाई का अंक x = 2
दहाई का अंक = 3x = 3 × 2 = 6
इसलिए अंक = 10 × 3x + x = 31x = 31 × 2 = 62
प्रश्न 11.
एक नाव धारा की दिशा में एक घाट से दूसरे घाट तक जाने में 9 घंटे लगाती है । धारा की विपरीत दिशा में यही दूरी 10 घंटे में पूरा करती है। यदि धारा की चाल 1 किमी./प्रति घंटा हो तो शांत जल में नाव की चाल एवं दोनों घाटों के बीच की दूरी ज्ञात कीजिए।
उत्तर
धारा की दिशा में नाव की चाल = 9 km/h (u)
धारा की विपरीत दिशा में चाल = 10 km/h (v)
शांत जल में नाव की चाल = (u + v) km/h = (10 + 9) km/h = 19 km/h
दोनों घाटों के बीच की दूरी = 2 × v × u = 2 × 10 × 9 = 20 × 9 = 180 km.