Bihar Board Class 9th Maths Solutions Chapter 2 Polynomials Ex 2.5 Textbook Questions and Answers.
BSEB Bihar Board Class 9th Maths Solutions Chapter 2 Polynomials Ex 2.5
![]()
Question 1.
Use suitable identities to find the following products :
(i) (x + 4)(x + 10)
(ii) (x + 8)(x – 10)
(iii) (3x + 4) (3x – 5)
(iv) (y² + \(\frac { 3 }{ 2 }\))(y² – \(\frac { 3 }{ 2 }\))
(v) (3 – 2x)(3 + 2x)
Solution:
(i) (x + 4)(x + 10) = x² + (4 + 10)x + 4 x 10
= x² + 14x + 40
(ii) (x + 8)(x – 10) = x² + (8 – 10)x + 8 x – 10
= x² – 2x – 80
(iii) (3x + 4)(3x – 5) = 3x(3x – 5) + 4(3x – 5)
= 3x × 3x – 3x + 5 + 4 x 3x – 4 x 5
= 9x² – 15x + 12x – 20
= 9x² – 3x – 20
(iv) (y² + \(\frac { 3 }{ 2 }\))(y² – \(\frac { 3 }{ 2 }\))
= (y²)² = (\(\frac { 3 }{ 2 }\))² = y4 – \(\frac { 9 }{ 4 }\)
(v) (3 – 2x)(3 + 2x) = (3)² – (2x)²
= 9 – 4x²
Question 2.
Evaluate the following products without multiplying directly :
(i) 103 x 107
(ii) 95 x 96
(iii) 104 x 96
Solution:
(i) 103 x 107 = (100 + 3 x 100 + 7)
= (100)² + (3 + 7)(100) + 3 x 7
= 100 x 100 + (10)(100) + 21
= 10000 + 1000 + 21 = 11021
(ii) 95 x 96 = (100 – 5)(100 – 4)
= (100)² + (- 5 – 4 x 100) + (- 5)(- 4)
= 100 x 100 + (- 9)(100) + 20
= 10000-900 + 20 = 9120
(iii) 104 x 96 = (100 + 4)(100 – 4)
= (100)² – (4)²
= 10000 – 16
= 9984
![]()
Question 3.
Factorise the following using appropriate identities:
(i) 9x² + 6xy + y²
(ii) 4y² – 4y + 1
(iii) x² – \(\frac{y^{2}}{100}\)
Solution:
(a) 9x² + 6xy + y² = (3x)² + 2(3x)(y) + (y)²
= (3x + y)²
= (3x + y)(3x + y)
(b) 4y² – 4y + 1 = (2y)² – 2(2y)(1) + (1)²
= (2y – 1)² = (2y – 1)(2y – 1)
(c) x² – \(\frac{y^{2}}{100}\) = (x)² – (\(\frac{y}{10}\))²
= (x – \(\frac { y }{ 10 }\))(x + \(\frac { y }{ 10 }\))
Question 4.
Expand each of the following, using suitable identifies:
(i) (x + 2y + 4z)²
(ii) (2x – y + z)²
(iii) (- 2x + 3y + 2z)²
(iv) (3a – 7b – c)²
(v) (- 2x + 5y – 3z)²
(vi) \(\left[\frac{1}{4} a-\frac{1}{2} b+1\right]^{2}\)
Solution:
(i) (x + 2y + 4z)²
= x² + (2y)² + (4z)² + 2(x)(2y) + 2(2y)(4z) + 2(4z)(x)
= x² + 4y² + 16z² + 4xy + 16yz + 8zx
(ii) (2x – y + z)²
= [2x + (- y) + z]²
= (2x)² + (- y)² + z² + 2(2x)(- y) + 2(-y)(z) + 2(z)(2x)
= 4x² + y² + z² – 4xy – 2yz + 4zx
(iii) (- 2x + 3y + 2z)²
= [(- 2x) + 3y + 2z]²
= (- 2x)² + (3y)² + (2z)² + 2(- 2x)(3y) + 2(3y)(2z) + 2(2z)(- 2x)
= 4x² + 9y² + 4z² – 12xy + 12yz – 8zx
(iv) (3a – 7b – c)²
= [3a + (- 7b) + (- c)]²
= (3a)² + (- 7b)² + (- c)² + 2(3a)(- 7b) + 2(- 7b)(- c) + 2(- c)(3a)
= 9a² + 49b² + c² – 42ab + 146c – 6ca
(v) (- 2x + 5y – 3z)²
= [(- 2x)² + 5y + (- 3z)]²
= (- 2x)² + (5y)² + (- 3z)² + 2(- 2x)(5y) + 2(5y)(- 3z) + 2(- 3z)(- 2x)
= 4x² + 25y² + 9z² – 20xy – 30yz + 12zx
(vi) \(\left[\frac{1}{4} a-\frac{1}{2} b+1\right]^{2}\)

![]()
Question 5.
Factorise :
(i) 4x² + 9y² + 16z2 + 12xry – 24yz – 16xz
(ii) 2x² + y² + 8z² – 2\(\sqrt{2}\)xy + 4\(\sqrt{2}\) yz – 8xz
Solution:
(i) 4x² + 9y² + 16z² + 12xy – 24yz – 16xz
= (2x)² + (3y)² + (- 4z)² + 2(2x)(3y) + 2(3y)(- 4z) + 2(2x)(- 4z)
= [2x + 3y + (- 4z)]²
= (2x + 3y – 4z)²
(ii) 2x² + y² + 8z² – 2\(\sqrt{2}\)xy + 4\(\sqrt{2}\) yz – 8xz
= (\(\sqrt{2}\)x)² + (- y)² – (- 2\(\sqrt{2}\)z)² + 2(\(\sqrt{2}\)x)(- y) + 2(- y)(- 2\(\sqrt{2}\)z) + 2(\(\sqrt{2}\)x)(- 2\(\sqrt{2}\)z)
= [\(\sqrt{2}\)x + (- y) + (- 2\(\sqrt{2}\)z)]² = (\(\sqrt{2}\)x – y – 2\(\sqrt{2}\))²
Question 6.
Write the following cubes in expanded form :
(i) (2x + 1)³
(ii) (2a – 3b)³
(iii) \(\left[\frac{3}{2} x+1\right]^{3}\)
(iv) \(\left[x-\frac{2}{3} y\right]^{3}\)
Solution:
(i) (2x + 1)³ = (2x)³ + 3(2x)²(1) + 3(2x)(1)² + (1)³
= 8x³ + 12x² + 6x + 1
(ii) (2a – 3b)³ = (2a)³ + 3(2a)²(3b) + 3(2a)(3b)² – (3b)³
= 8a³ – 36a²b + 54ab² – 27b³

Question 7.
Evaluate the following using suitable identities :
(i) (99)³
(ii) (102)³
(iii) (998)³
Solution:
(i) (99)³ = (100 – 1)³
= (100)³ – 1³ – 3(100)(1)(100 – 1)
= 1000000 – 1 – 29700 = 970299
(ii) (102)³ = (100 + 2)³
= (100)³ + (2)³ + 3(100)(2)(100 + 2)
= 1000000 + 8 + 61200 = 1061208
(iii) (998)³ = (1000 – 2)³
= (1000)³ – (2)³ – 3(1000)(2)(1000 – 2)
= 1000000000 – 8 – 5988000
= 994011992
![]()
Question 8.
Factorise each of the following :
(i) 8a³ + b³ + 12a²b+ 6ab²
(ii) 8a³ – b³ – 12a²b + 6ab²
(iii) 27 – 125 a³ – 135a + 225a³
(iv) 64a³ – 27b³ – 144a²b + 108ab²
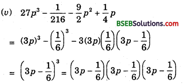
(v) 27 p³ – \(\frac { 1 }{ 216 }\) – \(\frac { 9 }{ 2 }\)p² + \(\frac { 1 }{ 4 }\)P
Solution:
(i) 8a³ + b³ + 12a²b+ 6ab²
= (2a)³ + (6)³ + 3(2a)(b)(2a + 6)
= (2a + b)³
= (2a + b)(2a + b)(2a + b)
(ii) 8a³ – b³ – 12a²b + 6ab²
= (2a)³ – b³ – 3(2a)(b)(2a – b)
= (2a – b)³
= (2a – b)(2a – b)(2a – b)
(iii) 27 – 125a3 – 135a + 225a2
= (3)³ – (5a)³ – 3(3)(5a)(3 – 5a)
= (3 – 5a)³
= (3 – 5a)(3 – 5a)(3 – 5a)
(iv) 64a³ – 27b³ – 144a²6 + 108ab²
= (4a)³ – (36)³ – 3(4a)(3b)(4a – 3b) = (4a – 3b)³
= (4a – 3b)(4a – 3b)(4a – 3b)

Question 9.
Verify :
(i) x³ + y³ = (x + y)(x² – xy + y²)
(ii) x³ – y³ = (x – y)(x² + xy + y²)
Solution:
(i) L.H.S. = (x + y)(x² – xy + y²)
= x(x² – xy + y²) + y(x² – xy + y²)
= x³ – x²y + xy² + x²y – xy² + y³
= x³ + y³ = R.H.S.
Thus, verified.
(ii) L.H.S. = (x – y)(x² + xy + y²)
= x(x² + xy + y²) – y(x² + xy + y²)
= x³ + x²y + xy² – x²y – xy² – y³
= x³ – y³ = R.H.S.
Thus, verified.
![]()
Question 10.
Factorise each of the following :
(i) 27y³ + 125z³
(ii) 64m³ – 343n³
Solution:
(i) 27y³ + 125z³ = (3y)³ + (5z)³
= (3y + 5z)[(3y)² – (3y)(5z) + (5z)²]
= (3y + 5z)(9y² – 15yz + 25z²)
(ii) 64m³ – 343n³ = (4m)³ – (7n)³
= (4m – 7n)[(4m)² + (4m)(7n) + (7n)²]
= (4m – 7n)(16m² + 28mn + 49n²)
Question 11.
Factorise : 27x³ + y³ + z³ – 9xyz
Solution:
27x³ + y³ + z³ – 9xyz
= (3x)³ + y³ + z³ – 3(3x)(y)(z)
= (3x + y + z)[(3x)² + y² + z² – (3x)y – yz – z(3x)]
= (3x + y + z)(9x² + y² + z² – 3xy – yz – 3zx)
Question 12.
Verify that x³ + y³ + z³ – 3xyz = \(\frac { 1 }{ 2 }\) (x + y + z)[(x – y)² + (y – z)² + (z – x)²]
Solution:

Hence verified.
Question 13.
If x + y +z = 0, show that x³ + y³ + z³ = 3xyz.
Solution:
We have, x + y + z = 0
⇒ x + y = – z
Cubing both sides, we have
(x + y)³ = (- z)³
⇒ x³ + y³ + 3xy(x + y) = – z³
⇒ x³ + y³ – 3xyz = – z³ [∵ x + y = – z]
⇒ x³ + y³ + z³ = 3xyz, which stands proved.
![]()
Question 14.
Without actually calculating the cubes, find the value of each of the following :
(i) (- 12)³ + (7)³ + (5)³
(ii) (28)³ + (- 15)³ + (- 13)³
Solution:
(i) Let x = – 12, y = 7 and z = 5
Here, x + y + z = – 12 + 7 + 5 = 0
⇒ x³ + y³ + z³ = 3 xyz
⇒ (- 12)³ + (7)³ + (5)³ = 3x – 12 x 7 x 5
= – 1260
(ii) Let x = 28, y = – 15 and z = – 13 ,
Here, x + y + z = 28 – 15 – 13 = 0
⇒ x³ + y³ + z³ = 3xyz ,
⇒ (28)³ + (- 15)³ + (- 13)³ = 3(28)(- 15)(- 13)
= 16380
Question 15.
Give possible expressions for the length and breadth of each of the following rectangles, in which their areas are given
(i) Area : 25a² – 35a + 12
(ii) Area : 35y² + 13y – 12
Solution:
Possible length and breadth of the rectangle are the factors of its given area.
(i) Area = 25a² – 35a + 12 = 25a² – 15a – 20a + 12
= 5a(5a – 3) – 4(5a – 3) = (5a – 3)(5a – 4)
∴ Possible length and breadth are (5a – 3) and (5a – 4) units.
(ii) Area = 35y² + 13y – 12
= 35y² + 28y – 15y – 12
= 7y(5y + 4) – 3(5y + 4)
= (5y + 4)(7y – 3)
∴ Possible length and breadth are (5y + 4) and (7y – 3) units.
![]()
Question 16.
What are the possible expressions for the dimensions of the cuboids whose volumes are given below:
(i) Volume : 3x² – 12x
(ii) Volume : 12ky² + 8ky – 20k
Solution: Possible expressions for the dimensions.of the cuboids are the factors of their volumes.
(i) Volume = 3x² – 12x = 3x(x – 4)
∴ Possible dimensions of cuboid are 3x and (x – 4) units.
(ii) Volume = 12ky² + 8ky – 20k = 4k(3y² + 2y – 5)
= 4k(3y² – 3y + 5y – 5)
= 4k[3y(y – 1) + 5(y – 1)]
= 4k(y – 1)(3y + 5)
∴ Possible dimensions of cuboid are 4k, (y – 1) and (3y + 5) units.