BSEB Bihar Board 12th Maths Important Questions Long Answer Type Part 1 are the best resource for students which helps in revision.
Bihar Board 12th Maths Important Questions Long Answer Type Part 1
संबंध एवं फलन
प्रश्न 1.
साबित करें कि यदि f: R-{\(\frac { 7 }{ 5 }\)} →R-{\(\frac { 3 }{ 5 }\)} पारिभाषित है f(x) = \(\frac{3 x+4}{5 x-7}\) और g:R-{\(\frac { 3 }{ 5 }\)} → R-\(\frac { 7 }{ 5 }\) परिभाषित है g(x) = \(\frac{7 x+4}{5 x-3}\) जो fog = IA और gof = IB , जहाँ A = R- \(\frac { 3 }{ 5 }\) B = R – \(\frac { 7 }{ 5 }\), IA(x) और gof = IB जहाँ A = R – {\(\frac { 3 }{ 5 }\)}, B = R – {\(\frac { 7 }{ 5 }\)}, IA(x) = x, ∀ x ∈A IB(x) = x, ∀ x ∈ B.
उत्तर:

![]()
प्रश्न 2.
साबित करें कि पूर्ण संख्या का Z समुच्चय में संबंध R है दिया गया है । R = {(a, b : 2) से विभाज्य है a-b} समतुल्य संबंध है।
उत्तर:
दिया है समुच्चय Z = (पूर्ण संख्याओं का समुच्चय)
संबंध R = { (a, b : 2) से विभाज्य है (a-b)}
समतुल्य संबंध के लिए,
(i) R स्वतुल्य हो, (ii) R सम्मित हो, (iii) R सकर्मक हो।
स्वतुल्य के लिए,
\(\frac{a-a}{2}=\frac{0}{2}\) =0 (पूर्ण संख्या )
\(\frac{b-b}{2}=\frac{0}{2}\) = 0 (पूर्णसंख्या)
∴ R स्वतुल्य है।
सम्मित के लिए
यदि aRb ⇒bRa = पूर्ण संख्या
∴ a&b = \(\frac{a-b}{2}\) = पूर्ण संख्या
\(\frac{-(b-a)}{2}\) = पूर्ण संख्या
∴ \(\frac{b-a}{2}\) = पूर्ण संख्या
b Ra
∴ R सम्मित है।
संकर्मक के लिए,
यदि aRb,bRc ⇒ aRc
\(\frac{a-b}{2}\) = पूर्ण संख्या ………………..(i)
bRc ⇒ \(\frac{b-c}{2}\) = पूर्ण संख्या ………………..(ii)
समी० (i) + समी॰ (ii)
\(\frac{a-b}{2}+\frac{b-c}{2}\)
\(\frac{a-b+b-c}{2}\) = पूर्ण संख्या ⇒ \(\frac{a-c}{2}\) = पूर्ण संख्या
∴ aRc.
∴ R संकर्मक है।
अत: R समतुल्य संबंध है।
प्रश्न 3.
सिद्ध करें कि प्रत्येक संबंध R में समुच्चय {x ∈ z/0 ≤ x ≤ 12}नीचे दिये गये संबंधों
(i) R = {(a, h); |a – b|4 का गुणंक है ।
(ii) R = {(a, b), a =b}
के लिए समतुल्य संबंध है वे सभी अवयव का समुच्चय ज्ञात करें जबकि सभी .. -अवयव प्रत्येक स्थिति में 1 से संबंधित है।
उत्तर:
दिया है समुच्चय A = {x ∈ R0 ≤ x ≤ 12}
(i) संबंध R= {(a,b):|a-b|,4 का गुणांक है।
समतुल्य संबंध के लिए → R स्वतुल्य हो
R सम्मित हो
R सकर्मक हो
∵ a – a= 0 = 0 x 4 = 4 का गुणांक
∴ b – b = 0 = 0 x 4 = 4 का गुणांक और
∴ स्वतुल्य है ।
सम्मित के लिए,
यदि aRb ⇒ bRa दिया है aRb
अर्थात् |a – b|, 4 का गुणांक है।
⇒ |-(b-a)}|4 का गुणांक है।
⇒ |b-a|4 का गुणांक है।।
bra
R सम्मित है।
संकर्मक के लिए,
यदि a &b, b.RC
⇒ aRc
दिया है, aRb और bRc
⇒ |a – b| = 4 का गुणांक
और |b – c| = 4 का गुणांक
समी० (i) + समी० (ii)
|a – b| + |b – c| = 4 का गुणांक
⇒ |a-c| = 4 का गुणांक = aRc
∴ R संकर्मक है।
∴ R समतुल्य संबंध है ।
![]()
(ii) R = {(a, b):a=b}.
समतुल्य संबंध के लिए → R स्वतुल्य हो
R सम्मित हो
R संकर्मक हो
प्रत्येक अवयव स्वयं उसका बराबर है ।
∴ R स्वतुल्य है।
सम्मित के लिए, यदि aRb ⇒ bRa
दिया है aRb
⇒ a = b
⇒ b = a
⇒ bRa
∴ R सम्मित है ।
संकर्मक के लिए,
यदि aRb, BRc ⇒ aRC
यदि है, aRb, bRc
⇒ a = b, b = c
⇒ a = c ⇒ aRc
∴ R समतुल्य संबंध है ।
जब प्रत्येक युग्म का पहला अवयव = 1 तो
(i) R= {(1, 1), (1,5), (1,9)}
∴ A = {1, 5,9}
(ii) R = {(1, 1)}
∴ A = {1}
प्रश्न 4.
समुच्चय {1,2,3} में संबंध R इस प्रकार है कि R – {(1, 1), (2, 2), (3, 3), (1,2), (2,3)} तो सिद्ध करें कि संबंध R स्वतुल्य है परन्तु न तो सममित न तो संकर्मक है।
उत्तर:
दिया है समुच्चय (A) = {1, 2, 3}
संबंध R = { (1, 1), (2, 2), (3, 3), (1, 2), (2,3)}
∵ (1, 1), (2, 2), (3, 3) (सदस्य है), ∈ R और 1, 2, 3, ∈ A.
∴ R स्वतुल्य है।
∵ (1, 2) ∈ R परन्तु (2,1) ∉ R.
∴ R सम्मित नहीं है।
∵ (1, 2) ∈ R, (2, 3) R परन्तु (1,3) ∉ R
∴ R संकर्मक नहीं है।
प्रश्न 5.
सिद्ध करें कि महत्तम पूर्णांकीय फलन f: R→ R दिया है f(x) = [x] न तो एकैक है ना ही अच्छादक है, जहाँ [x] महत्तम पाँकीय को दर्शाता है x < 1 या x = 1.
उत्तर:
दिया है f:R → R,f(x) = [x]
जब x = 1.5 ∴ f(1.5) = [1.5] = 1
जब x = 1.8 ∴ f(1.8) = [1.8] = 1
∴ एकैक नहीं है
∴ प्रभाव क्षेत्र = R, परास = y = f(x) = [x] पूर्णांकीय मान
∴ प्रभाव क्षेत्र में परास
∴ f आच्छादक नहीं है ।
प्रश्न 6.
साबित करें कि signum फलन f: R → दिया है \(f(x)=\left\{\begin{array}{rll} 1, & \text { यदि } & x>0 \\
0, & \text { यदि } & x=0 \\
-1, & \text { यदि } & x<0
\end{array}\right.\) है।
न तो एकैक न ही अच्छादक।
उत्तर:
x के सभी धनात्मक मान के लिए, y = 1
x के सभी ऋणात्मक मान के लिए, y = -1
x = 0 के लिए, y = 0
f(x) एकैक नहीं है ।
∴ प्रभाव क्षेत्र = R, परास = { 10, -1}
∵ प्रभाव क्षेत्र ≠ परास
∴ f(x) अच्छादक नहीं है।
प्रश्न 7.
माना f: N→N परिभाषित करें।

सभी x ∈ N के लिए, तो बताएँ कि फलन । एकैक एवं अच्छादक है।
उत्तर:
एकैक के लिए →f(x1) = f(x2) लें, जहाँ x1,x2 विषम हो ।
⇒ \(\frac{x_{1}+1}{2}=\frac{x_{2}+1}{2}\) ⇒ x1+1= x2 +1
⇒ x1 = x2 → one-one
f(x1) = f(x2) लें, जहाँ x1,x2 सम हो ।
⇒ \(\frac{x_{1}}{2}=\frac{x_{2}}{2}\) ⇒ x1 = x2 → एकैक
∴ f(x) एकैक है।
∴ प्रभाव क्षेत्र =N
परास = y = f(x) = \(\frac{n+1}{2}\) यदि n विषम हो = प्राकृत संख्या
= f(x) = \(\frac{n}{2}\), यदि n सम हो = प्राकृत संख्या
∴ परास = N = प्रभाव – क्षेत्र
∴ f अच्छादक है।
अतः f(x) एकैक अच्छादक फलन है।
प्रश्न 8.
साबित करें कि फलन f:R → R परिभाषित है f(x) = x2 न तो एकैक न तो अच्छादक है।
उत्तर:
दिया है → f:R→ R, f(x) = x2
∴ f(1) = 12 = 1,f(-1) = (-1)2 = 1
∴ f एकैक नहीं है।
प्रभाव क्षेत्र = R
परास = y = x2 = R2
∵ प्रभाव क्षेत्र में + परास
∴ f अच्छादक नहीं है।
अतः f(x) = x2 न तो एकैक न तो अच्छादक है।
प्रश्न 9.
माना f : N → R जो इस प्रकार परिभाषित है कि f(x) = 4x2 +12x + 15. तो साबित करें कि f:N→ S, जहाँ, sf के व्युत्क्रम का परास है तो f-1 ज्ञात करें।
उत्तर:
दिया है f(x) = 4x2 + 12x + 15
या, -y = (2x2) + 2.2x.3 + 9 + 6
या, y= (2x + 3)2 + 6
या,. (2x + 3) + y – 6
या, 2x+3 = \(\sqrt{y-6}\)
x = \(\frac{\sqrt{y-6}-3}{2}\) y ≥ 6 ⇒ g(y) = \(\frac{\sqrt{y-6}-3}{2}\)
∴ gof (x) = g(f(x))
= g(4x2 + 12x + 15)
= g((2x + 3)2 + 6)

= y – 6 + 6 = y
Hence, gof = In fog = Is f-1 के साथ f व्युत्क्रम है = g
![]()
प्रश्न 10.
माना कि f : {1,2, 3,} → [a, b, c,] और g : {a, b, c,}→{सेब, गेंदा, बिल्ली} परिभाषित है। f(1) = a, f(2) = b, f(3) =c, f(a) = सेब, gb= गेंदा g(c) बिल्ली ।
साबित करें कि f, g और gof व्युत्क्रम हैं। तो ज्ञात करें
f-1,g-1 और (gof)-1 और साबित करें कि (gof)-1= f-1og-1
उत्तर:
f: {1, 2, 3}→ {a, b, c}g : {a, b, c} → { सेब, गेंदा, बिल्ली }

सेब
∴ f एकैक और अच्छादक है।
∴ g एकैक और अच्छादक है ।
∴ f व्युत्क्रम है।
∴ g व्युत्क्रम है।
∴ gof (x) = g(f (x)) = g(f(1)) = g(a) सेब
((2)) = g(b) = गेंद
=g((3)) = g(c)= बिल्ली
∴ gof व्युत्क्रम है।
∴ f-1 = {(a,1),(b,2),(c,3)}
g-1 = {(सेब a), (गेंद, b), (बिल्ली, c)}
gof-1 (x) = {(सेब 1), (गेंद, 2), (बिल्ली, 3)}
∵ f-1og-1 = f-1(g-1(x)) = f-1(g-1सेब) = f-1(a) = 1
f-1(g-1 (गेंद)) = f-1(b) = 2
f-1(g-1बिल्ली)) = f-1(c) =3
∴ f-1og-1(x) = {सेब, 1), (गेंद, 2) (बिल्ली, 3)} ।
∴ gof-1 = f-1og-1 Proved.
प्रश्न 11.
माना समुच्चय पर A = N XN और * द्विचर संक्रियाएँ ( a, b) *ic, d) = (a +६, b+d)*परिभाषित है तो सिद्ध करें कि * क्रमविनिमेय एवं साहचर्य दोनों है। यदि द्विचर सक्रिया * पर समुच्चय का Identity अवयव कोई संभव हो तो उसे ज्ञात करें।
उत्तर:
दिया है (a,b) * (c,d)= (a+b,c+a)
क्रम विनिमेय के लिए,
(a,b) * (c,a)= (c,d)*(a,b)
∴ L.H.S. = (a, b) * (c, a) = (a +c, b+)
R.H.S. = (c, d) * (a, b) = (c +a, d + b) = (a + c, b + d)
∴ L.H.S. = R.H.S :.
∴ * क्रमविनियोग द्विचर सक्रियाएँ है ।
साहचर्य के लिए,
(a,b) * ((c,d)*(e,D)= ((a,b)*(c,d))* (e,f).
बायाँ पक्ष = (a,b)* ((c,a)* (e,f))
= (a,b)* ((c+ e,d+f) = (a+c+e,b+d+1)
∴ बायाँ पक्ष = दायाँ पक्ष ।
∴ साहचर्य द्विचर सक्रियाएँ हैं।
आव्यूह
प्रश्न 1.
यदि A = \(\left[\begin{array}{rrr}
2 & 0 & 1 \\
2 & 1 & 3 \\
1 & -1 & 0
\end{array}\right]\) तो ज्ञात करें, A2 – 5A + 6I = ?
उत्तर:
दिया गया है,


![]()
प्रश्न 2.
माना A = \(\left[\begin{array}{ll}
3 & -2 \\
4 & -2
\end{array}\right]\) और I = \(\left[\begin{array}{ll}
1 & 0 \\
0 & 1
\end{array}\right]\) k साबित
साबित करें, A2 = k. A – 2I.
उत्तर:

प्रश्न 3.
एक संघ 30,000 रु का दो बांडों में निवेश करता है। पहले बांड पर 5% तथा . दूसरे बांड पर 7% का ब्याज प्रति वर्ष पाता है। आव्यूह गुणनफल का प्रयोग कर ज्ञात करें कि वह 30,000रु को किस तरह लगाये कि संघ को कुल वार्षिक ब्याज का प्राप्त हो ?
(a) 1800 रु
उत्तर:
माना प्रथम बांड में निवेश = xरु.
दूसरे बांड में निवेश = 30,000 – xरु.
प्रथम बांड पर ब्याज =5%
दूसरे बांड पर ब्याज = 7%
(a) जब 1800 रु. का पूरा वार्षिक ब्याज हो तब

-2x + 21,0000 – 7x = 180000
21,0000 – 180000 = 2x
2x = 3,0000
x = 15,000
∴ प्रथम बांड में निवेश = 15,000 रु०
∴ दूसरे बांड में निवेश = 30,000 – 15,000 = 15, 000 रु.
प्रश्न 4.
यदि आव्यूह A = \(\left[\begin{array}{rrr}
2 & -2 & -4 \\
-1 & 3 & 4 \\
1 & -2 & -3
\end{array}\right]\) तो सममित और विषम सममित आव्यूह का योगफल ज्ञात करें। .
उत्तर:


प्रश्न 5.
आव्यूह A = \(\left[\begin{array}{rr}
1 & 2 \\
2 & -1
\end{array}\right]\) का प्रतिलोम ज्ञात करें।
उत्तर:
दिया गया है,
A = \(\left[\begin{array}{rr}
1 & 2 \\
2 & -1
\end{array}\right]\)
|A| = \(\left|\begin{array}{cc}
1 & 2 \\
2 & -1
\end{array}\right|\) = -1 – 4 = -5
प्रथम कतार से, 1 का सह खण्ड = -1
2 का सह-खण्ड = -2
द्वितीय कतार से,
2 का सह-खण्ड = -2
-1 का, सह-खण्ड = 1
∴ सह-खण्ड का आव्यूह = \(\left[\begin{array}{rr}
-1 & -2 \\
-2 & 1
\end{array}\right]\) = B (माना)

![]()
सारणिक
प्रश्न 1.
सारणिक के गुणों का उपयोग किये बिना सिंद्व करें की सिद्ध
(i) \(\left|\begin{array}{lll}
x & a & x+a \\
y & b & y+b \\
z & c & z+c
\end{array}\right|=0\)
(ii) \(\left|\begin{array}{lll}
a-b & b-c & c-a \\
b-c & c-a & a-b \\
c-a & a-b & b-c
\end{array}\right|=0\)
(iii) \(\left|\begin{array}{lll}
1 & b c & a(b+c) \\
1 & c a & b(c+a) \\
1 & a b & c(a+b)
\end{array}\right|=0\)
उत्तर:


प्रश्न 2.
सारणिक के गुणों का उपयोग करें
(i) \(\left|\begin{array}{ccc}
1 & 1 & 1 \\
a & b & c \\
a^{3} & b^{3} & c^{3}
\end{array}\right|\) = (a – b) (b – c) (c – a)(a + b + c)
उत्तर:
L.H.S \(\left|\begin{array}{ccc}
1 & 1 & 1 \\
a & b & c \\
a^{3} & b^{3} & c^{3}
\end{array}\right|\)
c1 → c1 – c2
c2 → c2 – c3
\(\left|\begin{array}{lll}
0 & 0 & 1 \\
a-b & b-c & c \\
a^{3}-b^{3} & b^{3}-c^{3} & c^{3}
\end{array}\right|\)
= (a – b)(b – c)1 \(\left|\begin{array}{cc}
1 & 1 \\
a^{2}+a b+b^{2} & b^{2}+b c+c^{2}
\end{array}\right|\)
= (a−b)b-c)(b2 + bc + c2 – a2 – ab – b2)
= (a-b)(b-c){(c22 – a2)+b.(c-a)}
= (a – b)(b-c){(c-a):(c + a) + b(c-a)}
= (a-b)(b-c)(c – a)(c+a+b)
= (a – b)(b-c)(c-a)(a+b+c) R.H.S.
प्रश्न 3.
साबित करें –
\(\left|\begin{array}{lll}
1 & a & a^{2} \\
1 & b & b^{2} \\
1 & c & c^{2}
\end{array}\right|\) = (a – b) (b – c) (c – a)
उत्तर:
L.H.S = \(\left|\begin{array}{lll}
1 & a & a^{2} \\
1 & b & b^{2} \\
1 & c & c^{2}
\end{array}\right|\)
R1 → R1 – R2
R2 → R2 – R3
= \(\left|\begin{array}{ccc}
0 & a-b & a^{2}-b^{2} \\
0 & b-c & b^{2}-c^{2} \\
1 & c & c^{2}
\end{array}\right|\)
= (a – b) (b – c) \(\left|\begin{array}{ccc}
0 & 1 & a+b \\
0 & 1 & b+c \\
1 & c & c^{2}
\end{array}\right|\)
= (a – b) (b – c) 1. \(\left|\begin{array}{ll}
1 & a+b \\
1 & b+c
\end{array}\right|\)
= (a – b) (b – c) (b + c – a – b)
= (a – b) (b – c) (c – a) R.H.S.
![]()
Determinants
प्रश्न 1.
सिद्ध करें कि –
\(\left|\begin{array}{ccc}
a & a+b & a+b+c \\
2 a & 3 a+2 b & 4 a+3 b+2 c \\
3 a & 6 a+3 b & 10 a+6 b+3 c
\end{array}\right|\) = a3
उत्तर:
\(\text { L.H.S. }=\left|\begin{array}{ccc}
a & a+b & a+b+c \\
2 a & 3 a+2 b & 4 a+3 b+2 c \\
3 a & 6 a+3 b & 10 a+6 b+3 c
\end{array}\right|\)
R2 → R2 – 2R3
R3 → R3 – 3R1
= \(\left|\begin{array}{ccc}
a & a+b & a+b+c \\
0 & a & 2 a+b \\
0 & 3 a & 7 a+3 b
\end{array}\right|\)
From 1st column से
= a. \(\left|\begin{array}{ll}
a & 2 a+b \\
3 a & 7 a+3 b
\end{array}\right|\) = a .(7a2 + 3ab – 6a2 – 3ab)
= a.a2 = a3 = R.H.S.
प्रश्न 2.
बिना सरणिक को हल किये सिद्ध करें कि –
\(\left|\begin{array}{ccc}
x+y & y+z & z+x \\
z & x & y \\
1 & 1 & 1
\end{array}\right|\) = 0
उत्तर:

प्रश्न 3.
गणना करें \(\left|\begin{array}{lll}
1 & a & b c \\
1 & b & c a \\
1 & c & a b
\end{array}\right|\)
उत्तर:
Δ = \(\left|\begin{array}{lll}
1 & a & b c \\
1 & b & c a \\
1 & c & a b
\end{array}\right|\)
R1 → R1 – R2 → R2 → R2 – R3
\(=\left|\begin{array}{ccc}
0 & a-b & b c-c a \\
0 & b-c & c a-a b \\
1 & c & a b
\end{array}\right| \quad=\left|\begin{array}{ccc}
0 & a-b & -c \cdot(a-b) \\
0 & b-c & -a \cdot(b-c) \\
1 & c & a b
\end{array}\right|\)
= (a – b) (b – c) . \(\left|\begin{array}{ccc}
0 & 1 & -c \\
0 & 1 & -a \\
1 & c & a b
\end{array}\right|\)
= (a – b) . (b – c) . 1. \(\left|\begin{array}{ll}
1 & -c \\
1 & -a
\end{array}\right|\)
= (a – b). (b – c). (-a + c)
= (a – b) . (b – c) . (c – a)
![]()
प्रश्न 4.
बिना सरणिक को हल किये सिद्ध करें कि –
\(\left|\begin{array}{lll}
b+c & q+r & y+z \\
c+a & r+p & z+x \\
a+b & p+q & x+y
\end{array}\right|=2\left|\begin{array}{lll}
a & p & x \\
b & q & y \\
c & r & z
\end{array}\right|\)
उत्तर:

प्रश्न 5.
सिद्ध करें कि सरणिक Δ = \(\left|\begin{array}{lll}
x & \sin \theta & \cos \theta \\
-\sin \theta & -x & 1 \\
\cos \theta & 1 & x
\end{array}\right| \theta\) से स्वतंत्र है
उत्तर:


= x.(-x2 – 1) – sin θ (-x sin θ – cos θ) + cos θ (-sin θ + x cos θ)
= -x3 – x + xsin2θ + sin θ cos θ – sin θ . cos θ + x cos2 θ
= – x3 – x + x . (sin2 θ + cos2θ)
= -x3 – x + x.1
= -x3 – x + x
= -x3 = स्वतंत्र
![]()
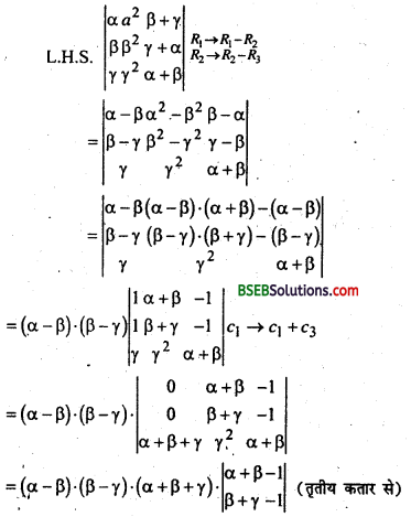
प्रश्न 6.
सिद्ध करें कि – [latyex]\left|\begin{array}{lll}
\alpha & a^{2} & \beta+\gamma \\
\beta & \beta^{2} & \gamma+\alpha \\
\gamma & \gamma^{2} & \alpha+\beta
\end{array}\right|[/latex] from θ =
उत्तर:

= (α – β )(β – γ)( α + β + γ ) . (-α – β + β + γ)
= (α – β )(β – γ) (γ – α)( α + β + γ ) . (-α – β + β + γ) = R.H.S