Bihar Board 12th Maths Important Questions Long Answer Type Part 2 in Hindi

BSEB Bihar Board 12th Maths Important Questions Long Answer Type Part 2 are the best resource for students which helps in revision.

Bihar Board 12th Maths Important Questions Long Answer Type Part 2

Bihar Board 12th Maths Important Questions Long Answer Type Part 2 in Hindi

प्रश्न 1.
निम्न को सिद्ध करें –
(i) sin-1(2x\(\sqrt{1-x^{2}}\)) = 2 sin-1 x
(ii) sin-1 \(\frac{8}{17}\) + sin-1\(\frac{3}{5}\) + sin-1 \(\frac{77}{85}\)
(iii) sin[cot-1{cos(tan-1}] = \(\frac{\sqrt{1+x^{2}}}{2+x^{2}}\)
(iv)2 tan-1\(\frac{1}{2}\) + tan-1\(\frac{1}{7}\) = tan-1\(\frac{31}{17}\)
(v) tan-1\(\sqrt{x} \frac{1}{2}\) cos-1 \(\left(\frac{1-x}{1+x}\right)\), x ∈ [0, 1]
उत्तर:
(i) माना कि sin-1 x = θ
x = sin θ
L.H.S = sin-1 (2x. \(\sqrt{1-x^{2}}\)
= sin-1 (2sin θ . \(\sqrt{1-\sin ^{2} \theta}\))
= sin-1 ( 2sin θ. cos θ) = sin-1(sin2 θ)
= 2θ = 2 sin-1 x = R.H.S

(ii) L.H.S = sin-1 \(\frac { 8 }{ 17 }\) + sin-1 \(\frac { 3 }{ 5 }\)
Bihar Board 12th Maths Important Questions Long Answer Type Part 2 in Hindi 1

(iii) L.H.S = sin[cot-1 {cos (tan-1 x}]
माना कि tan-1 x = y ⇒ x = tan y
Bihar Board 12th Maths Important Questions Long Answer Type Part 2 in Hindi 2

(iv) L.H.S = 2 tan-1 \(\frac { 1 }{ 2 }\) + tan-1 \(\frac { 1 }{ 7 }\)
Bihar Board 12th Maths Important Questions Long Answer Type Part 2 in Hindi 3

(v) L.H.S. = tan-1 \(\sqrt{x}\) = \(\frac { 1 }{ 2 }\) . tan-1\(\sqrt{x}\)
Bihar Board 12th Maths Important Questions Long Answer Type Part 2 in Hindi 4

Bihar Board 12th Maths Important Questions Long Answer Type Part 2 in Hindi

प्रश्न 2.
निम्नलिखित का मान ज्ञात करें :
(i) tan-1 [2 cos (2sin-1 1/2)]
(ii) tan-1 [sin-1 [altex]\frac{2 x}{1+x^{2}}[/latex] + cos-1 \(\frac{1-y^{2}}{1+y^{2}}\)] |x| < 1, y > 0, x : y < 1 उत्तर:
Bihar Board 12th Maths Important Questions Long Answer Type Part 2 in Hindi 5
Bihar Board 12th Maths Important Questions Long Answer Type Part 2 in Hindi 6

प्रश्न 3
सिद्ध करें कि \(\cot ^{-1}\left(\frac{\sqrt{1+\sin x}+\sqrt{1-\sin x}}{\sqrt{1+\sin x}-\sqrt{1-\sin x}}\right)=\frac{x}{2}, x \in\left(0, \frac{\mu}{4}\right)\)
उत्तर:
Bihar Board 12th Maths Important Questions Long Answer Type Part 2 in Hindi 7

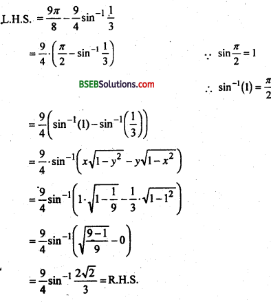
प्रश्न 4.
सिद्ध करें कि \(\frac{9 \pi}{8}-\frac{9}{4} \sin ^{-1} \frac{1}{3}=\frac{9}{4} \sin ^{-1} \frac{2 \sqrt{2}}{3}\)
उत्तर:
Bihar Board 12th Maths Important Questions Long Answer Type Part 2 in Hindi 8

Continuity and differentiability

प्रश्न 1.
एवं के बीच संबंध ज्ञात करें जबकि फलान f(x) निम्न रूप से परिभाषित है f(x) = \(\left\{\begin{array}{ll} a x+b & \text { if } x \leq 3 \\ b x+3 & \text { if } x>3
\end{array}\right.\) x = 3 पर संतत है
उत्तर:
Given f(x) = \(\left\{\begin{array}{ll}
a x+b & \text { if } x \leq 3 \\
b x+3 & \text { if } x>3
\end{array}\right.\)
Bihar Board 12th Maths Important Questions Long Answer Type Part 2 in Hindi 24
f(x) is continuous at x = 3.
L.H.S. = R.H.S. = f(3)
3a + b = 3b + 3
3a + b – 3b = 3
3a – 2b = 3

प्रश्न 2.
k का मान ज्ञात करें यदि f(x) = \(\left\{\begin{array}{ll}
\frac{k \cos x}{\pi-2 x} & \text { if } x \neq \frac{\pi}{2} \\
3 & \text { if } x=\frac{\pi}{2}
\end{array}\right.\) पर संतत है |
उत्तर:
Bihar Board 12th Maths Important Questions Long Answer Type Part 2 in Hindi 9
Bihar Board 12th Maths Important Questions Long Answer Type Part 2 in Hindi 10

प्रश्न 3.
ज्ञात करें [LATEX]\frac{d y}{d x}[/LATEX] –
(i) y = cosx · cos 2x · cos 3x
(i) r = 2at2, y = at4
(iii) x = a cosθ, y = b secθ
(iv) x = 4t, y = \(\frac{4}{t}\)
(v) x = cosθ – cos 2θ, y = sinθ – sin 2θ
(vi) x = a( cost + log tan\(\frac{t}{2}\), y = a sint
उत्तर:
(i) ∵ y = (cos x · cos 2x) cos 3x
Diff. w. r. to x.
\(\frac{d y}{d x}\) = (cosx . cos2x) . d.c. of cos 3x + cos 3x d.c. of (cos x · cos 2x)
या \(\frac{d y}{d x}\) = – cosx · cos 2x · sin 3x . 3 + cos 3x . (cos x d.c. of cos 2x + cos 2xd.c. of cosx)
या \(\frac{d y}{d x}\) = -3cos x. cos 2x + sin 3x + cos 3x . (-cosx + sin2x- cos2x.sinx)
या \(\frac{d y}{d x}\) = -3cosx cos 2x sin 3x – cos 3x . sin (2x + x)
∴ \(\frac{d y}{d x}\) = -3 cos x. cos 2x. sin 3x – sin 3x . cos 3x

(ii) x = 2at2. y = at4
Diff. w.r. to t
\(\frac{d x}{d t}\) = 4at …(i)

Diff. w.r. to t
\(\frac{d y}{d t}\) = 3at3 ………….(ii)

समी० (ii) ÷ समी० (i)
Bihar Board 12th Maths Important Questions Long Answer Type Part 2 in Hindi 11

Bihar Board 12th Maths Important Questions Long Answer Type Part 2 in Hindi

(iii) x = a cos θ
Diff. w. r. to θ
\(\frac{d x}{d \theta}\) = a sin θ …………………. (i)

y = b sec θ
Diff. w. r. to θ
\(\frac{d y}{d \theta}\) = b sec θ tan θ …………………. (ii)
समी० (ii) ÷ समी० (i)
\(\frac{d y}{d x}=\frac{b \sec \theta \cdot \tan \theta}{-a \sin \theta}\)

(iv) x = 4t,
Diff w.r.to t
\(\frac{d x}{d t}\)= 4 ……………..(i)

y = \(\frac{4}{t}\)
Diff w.r.to t
\(\frac{d y}{d t}=-\frac{4}{t^{2}}\) ……………..(ii)

समी० (ii) ÷ समी० (i)
\(\frac{d y}{d x}=\frac{-\frac{4}{t^{2}}}{4} \frac{4}{4 t^{2}}=-\frac{1}{t^{2}}\)

(v) x = cos θ – cos 2θ
Diff. w. r. to. θ
\(\frac{d x}{d \theta}\) = – sin θ + sin 2θ.2 ……………….. (i)

y = sinθ – sin 2θ
\(\frac{d y}{d \theta}\) = cox θ – cos2θ . 2 …………………..(ii)

समी० (ii) ÷ समी० (i)
Bihar Board 12th Maths Important Questions Long Answer Type Part 2 in Hindi 12

(vi) x = a (cos t + log tan t/2), y = a sin t
Diff w . r. to t
Bihar Board 12th Maths Important Questions Long Answer Type Part 2 in Hindi 13

प्रश्न 4.
सिद्ध के f(x) = ]\(\left\{\begin{array}{l}
12 x-13, x \leq 3 \\
2 x^{2}+5, x>3
\end{array} x=3\right.\) पर अवकलित है। एवं f'(3) ज्ञात करें।
उत्तर:
दिया गया है -f(x) = ]\(\left\{\begin{array}{l}
12 x-13, x \leq 3 \\
2 x^{2}+5, x>3
\end{array} x=3\right.\)
Bihar Board 12th Maths Important Questions Long Answer Type Part 2 in Hindi 14
∵ L.H.S. at x = 3
f(x) is differentiable at x = 3 and f’ (3) = 12

प्रश्न 5.
(i) If f(x) = x2 + 2x + 7 find f'(3)
(ii) If f(x) = x2 + 7x + 4
Find f (2) & (5)
उत्तर:
(i) Given f(x)= x2 + 2x + 7
By formula,
Bihar Board 12th Maths Important Questions Long Answer Type Part 2 in Hindi 15
Bihar Board 12th Maths Important Questions Long Answer Type Part 2 in Hindi 16

Bihar Board 12th Maths Important Questions Long Answer Type Part 2 in Hindi

(ii) Given f(x) = x2 + 7x + 4 By formula
Bihar Board 12th Maths Important Questions Long Answer Type Part 2 in Hindi 17
Bihar Board 12th Maths Important Questions Long Answer Type Part 2 in Hindi 18

प्रश्न 6.
a एवं b के किस मान के लिए फलन f(x) = \(\left\{\begin{array}{cc}
x^{2}, & x \leq c \\
a x+b, x>c
\end{array} x=c\right.\) पर अवकलित है।
उत्तर:
दिया गया है, फलन f(x), x = c पर अवकलित है।
∴ f(x), x = c संतत भी होंगे
Bihar Board 12th Maths Important Questions Long Answer Type Part 2 in Hindi 19
f(c) = c2
∵ c2 = ac + b = c2
Now f(x) is differentiable at x = c
Bihar Board 12th Maths Important Questions Long Answer Type Part 2 in Hindi 20
Bihar Board 12th Maths Important Questions Long Answer Type Part 2 in Hindi 21
∴ L.H.S =R.H.S
∴ a = 2c
समी० (i) & समी० (ii) से
c2 = 2c2 + b
⇒ b = c2 & a= 2c

Bihar Board 12th Maths Important Questions Long Answer Type Part 2 in Hindi

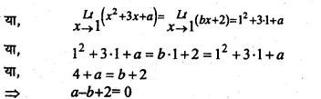
प्रश्न 7.
यदि फलन f(x) = \(\left\{\begin{array}{c}
x^{2}+3 x+a, x \leq 1 \\
b x+2, \quad x>1
\end{array}\right.\) प्रत्येक स्थान पर अवकलित हो तो a और b का मान ज्ञात करें।
उत्तर:
For x ≤ 1, f(x) =x<sup[>2 + 3x + a = polynomial
For x> 1,
f(x) = bx + 2 = polynomial.
∵ Polynomial function में सभी स्थान अवकलित होता है।
∴ Therefore f(x) is differentiable for all x > 1 and also for all x < 1.
∴ f(x) is continuous at x = 1
∴ L.H.S. = R.H.S. = f(1)]
Bihar Board 12th Maths Important Questions Long Answer Type Part 2 in Hindi 22
Again f(x) is differentiable at x = 1
∴ L.H.S. at x = 1 = R.H.S. at x = 1
Bihar Board 12th Maths Important Questions Long Answer Type Part 2 in Hindi 23
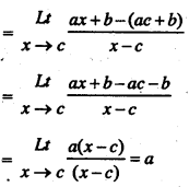
या \(\underset{x \rightarrow 1}{L} \frac{(x+4)(x-1)}{(x-1)}=\underset{x \rightarrow 1}{L} \frac{b x-b}{x-1}\)
[समी (1)से]
या, 5 = b ⇒ B = 5
समीकरण (i) से,
a – 5 + 2 = 0
या, a – 3 = 0
∴ a = 3