BSEB Bihar Board 12th Maths Important Questions Long Answer Type Part 3 are the best resource for students which helps in revision.
Bihar Board 12th Maths Important Questions Long Answer Type Part 3
Continuity and Differentiability
Question 1.
Find the relation b/w a & b so that the function (x) defined by
\(f(x)=\left\{\begin{array}{ll}
a x+b & \text { if } x \leq 3 \\
b x+3 & \text { if } x>3
\end{array}\right.\) is continuous at x = 3
Solution:

= 3a + b
f(3) = a.3 + 8 = 3a + 8

R.H.L. = \(\begin{array}{c}
L t \\
x \rightarrow 3
\end{array}\)f(x) \(\begin{array}{c}
L t \\
x \rightarrow 3
\end{array}\)(b x+3)=b.3 + 3
= 3b + 3
∵ f(x) is continuous at x = 3.
∴ LHX =RHL= f(3)
∵ 3a + b = 3b + 3′
⇒ 3a + b – 3b = 3
⇒ 3a – 2b = 3
Question 2.
Find k if f(x) = \(f(x)=\left\{\begin{array}{cc}
\frac{k \cos x}{\pi-2 x} & \text { if } x \neq \frac{\pi}{2} \\
3 & \text { if } x=\frac{\pi}{2}
\end{array}\right.\) is continuous at x = \(\frac{\pi}{2}\)
Solution:
Given


Question 3.
Find \(\frac{d y}{d x}\)
(i) y = (cos x . cos 2x) . cos 3x
(ii) x = 2at2 y = at4
(iii) x = a cosθ, y = bsecθ
(iv) x = 4t, y = \(\frac{4}{t}\)
(v) x = cos θ – cos2θ, y = sinθ – sin2θ
(vi) x = a(cost + log tan \(\frac{t}{2}\)), y = a sin t
Solution:
(i) ∵ y = (cos x . cos 2x) . cos 3x
Diff w.r. to x
\(\frac{d y}{d x}\) = (cosx . cos2x) . d.c. of cos 3x + cos 3x . d.c. of (cos x . cos 2x)
or, \(\frac{d y}{d x}\) = – cosx . cos 2x . sin 3x . 3 + cos 3x . (cos x d.c. of cos 2x + cos 2x d.c. of cos x)
or, \(\frac{d y}{d x}\) = – 3cos x . cos2x . sin3x + cos3x . (-cos x . sin2x – cos2x.sinx)
or, \(\frac{d y}{d x}\) = -3cosx . cos2x sin3x – cos3x . sin(2x + x)
∴ \(\frac{d y}{d x}\) = -3cosx . cos2x sin3x – sin3x cos3x
(ii) x = 2at2,
Diff w.r. to t
\(\frac{d x}{d t}\) = 4at …………..(i)
y = at4
Diff w.r. to t
\(\frac{d y}{d t}\) = 3at3 ………… (ii)
Eqn. (ii) ÷ Eqn. (i)

(iii) x = a cos θ
Diff w.r. to θ
\(\frac{d x}{d t}\) = -asin θ……………. (i)
y = b sec θ
Diff w.r. to θ
\(\frac{d y}{d t}\) = b secθ . tan θ……………. (ii)
Eqn. (ii) ÷ Eqn. (i)
\(\frac{d y}{d x}=\frac{b \sec \theta \cdot \tan \theta}{-a \sin \theta}\)
(iv) x = 4t
Diff w.r. to t
\(\frac{d x}{d t}\) = 4 …………… (i)
y = \(\frac{4}{t}\)
Diff w.r. to t
\(\frac{d y}{d t}=-\frac{4}{t^{2}}\) ……………….. (ii)
Eqn. (ii) ÷ Eqn. (i)


(v) x = cos θ – cos 2 θ
Diff. w.r. to θ
∴ \(\frac{d x}{d \theta}\) = -sinθ + sin 2θ.2 ……….(i)
& y = sinθ – sin 2θ
Diff. w.r. to θ
∴ \(\frac{d y}{d \theta}\) = cosθ – cos2θ.2 ……….(ii)
Eqn. (ii) ÷ Eqn. (i)

(vi) x = a(cos t + log tan \(\frac{t}{2}\)), y = a sin t
Diff w.r.to t


Question 4.
Show that f(x) = \(\left\{\begin{array}{l}
12 x-13, x \leq 3 \\
2 x^{2}+5, x>3
\end{array} x=3\right.\) is differentiable at x = 3. Also find f'(3).
Solution:

∵ L.H.S = R.H.S at x = 3
∴ f(x) is differentiable at x = 3 and f'(3) = 12.

Question 5.
For whal choice of a & b is the function :
\(f(x)=\left\{\begin{array}{c}
x^{2}, x \leq c \\
a x+b, x>c
\end{array}\right.\) is differentiable at x = c.
Solution:
It is given that f(x) is differentiable at x = c
∴ f(x) will be continuous of x = c.

f(c) = c2
∵ L.H.S. = R.H.S.=/(c)
∴ c2 = ac + b = c2
Now f(x) is differentiable at x = c

= \(\underset{x \rightarrow c}{Lt}\) \(\frac{a(x-c)}{(x-c)}\)= a
∴ L.H.S. = R.H.S.
∴ a = 2c …(ii)
from eqn. (i) & eqn. (ii)
c2 = 2c2 + b
=> b = c2 & a = 2c
Question 6.
IF f(x) = \(\left\{\begin{array}{c}
x^{2}+3 x+a, x \leq 1 \\
b x+2, \quad x>1
\end{array}\right.\) is every where differentiable. Find the values of a & b.
Solution:
For x ≤ 1, f(x) = x2 + 3x + a = polynomial
For x > 1,
f(x) = bx + 2 = polynomial,
∵ Polynomial function is every where differentiable.
∴ Therefore f(x) is differentiable for all x > 1 and also for all x < 1.
∵ f(x) is continuous at x = 1
∴ L.H.S. = R.H.S. = f(1)
or \(\begin{array}{c}
L t \\
x \rightarrow 1
\end{array}\) (x2 + 3x + a) = \(\begin{array}{c}
L t \\
x \rightarrow 1
\end{array}\)(bx + 2) = 12 + 3.1 + a
or, 12 + 3.1 + a = b.1 + 2 = 12 + 3.1 + a
or, 4 + a = b + 2
⇒ a – b + 2 = 0 ….(i)
Again f(x) is differentiable at x = 1
∴ L.H.S. at x = 1 = R.H.S. at x = 1

or, 5 = b ⇒ B = 5
From eqn. (i),
a – 5 + 2 = 0
or, a – 3 = 0
∴ a = 3

Differentiation
Question 1.
Differentiate the following functions w.r. to x from 1st principles.
(i) sin\(\sqrt{x^{2}+a x+1}\)
(ii) \(\sqrt{e^{\tan x}}\)
Solution:


Question 2.
If y = \(\left[x+\sqrt{x^{2}+a^{2}}\right]^{n}\) then prove that \(\frac{d y}{d x}=\frac{n y}{\sqrt{x^{2}+a^{2}}}\)
Solution:
Let y = \(\left[x+\sqrt{x^{2}+a^{2}}\right]^{n}\)
Diff w.r.to x.



Question 3.
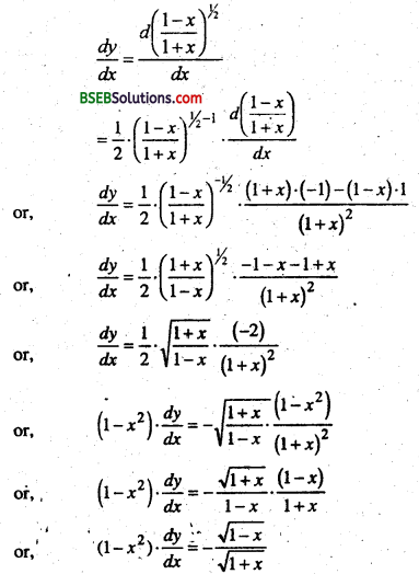
If y = \(\sqrt{\frac{1-x}{1+x}}\) then prove that (1 – x2)\(\frac{d y}{d x}\) + y = 0
Solution:
Given y = \(\sqrt{\frac{1-x}{1+x}}\)
Diff w.r.to x


Question 4.
Prove that \(d\left\{\frac{x \cdot \sqrt{a^{2}-x^{2}}+\frac{a^{2}}{2} \cdot \sin ^{-1} x}{d x}=\sqrt{a^{2}-x^{2}}\right.\)
Solution:


Question 5.
If xy = ex-y prove that \(\frac{d y}{d x}=\frac{\log x}{\left(1+\log x^{2}\right.}\)
Solution:
Given xy = ex-y
or eylogx = ex-y
ylogx = x – y
ylog x +y = x
or y(1 + log x) = x
or y = \(\frac{x}{1+\log x}\)
Diff. w.r.to x

Question 6.
If (cosx)y = (sin y)x, find \(\frac{d y}{d x}\)
Solution:
Given (cos x)2 = (sin y)x
or, log (cos x)y = log(sin y)x
or, y. log (cos x) = x log (siny)
Diff . w.r.to x
y.\(\frac{1}{\cos x}\). (-sinx) + log(cos x)\(\frac{d y}{d x}\) = x.\(\frac{1}{\sin y}\) . cos y. \(\frac{d y}{d x}\) + log(sin y)
or, -y tan x + log(cosx)\(\frac{d y}{d x}\) x cot y. \(\frac{d y}{d x}\) + log(sin y)
or \(\frac{d y}{d x}\). [log(cos x) – xcot y] = x cot y] = log(sin y) + y tan x
∴ \(\frac{d y}{d x}=\frac{\log (\sin y)+y \tan x}{\log (\cos x)-x \cot y}\)
Question 7.
Differentiate sin-1(\(\frac{2 x}{1+x^{2}}\)) w. r. to tan-1 x, -1 < x < 1
Solution:
Let u = sin-1(\(\frac{2 x}{1+x^{2}}\))
or u = 2tan-1 x and v = tan-1 x&
Diff . w.r.to x
∴ \(\frac{d u}{d x}=2 \cdot \frac{1}{1+x^{2}}\) ……………… (i)
\(\frac{d v}{d x}=\frac{1}{1+x^{2}}\) …………………… (ii)
Eqn(i) / Eqn(ii)
\(\frac{d u}{d v}\) = 2
Question 8.
If y = log\(\sqrt{\tan x}\) then \(\frac{d y}{d x}\) = ?
Solution:
Given y = log\(\sqrt{\tan x}\) then \(\frac{d y}{d x}\)


Question 9.
If y = sin{tan(log x)}, find \(\frac{d y}{d x}\)
Solution:
∵ y = sin{tan(log x)}
⇒ \(\frac{d y}{d x}=\frac{d}{d x}\) [sin{tan(log x)}
= cos{tan(logx)) x \(\frac{d}{d x}\){tan(logx)}
= cos{tan(logx)) x sec2(logx) x \(\frac{d}{d x}\) {log x}
= cos{tan(Iog x)) x sec2(log x) x \(\frac{1}{x}\)
= \(\frac{1}{x}\)sec2(logx)cos{tan(logx)).
Question 10.
Integrate \(\int_{0}^{\pi / 4} \cos ^{2} x d x\)
Solution:


Question 11.
If y = sinx2, find \(\frac{d y}{d x}\)
Solution:
∵ y = sinx2
Diff w.r. to x we get
∴ \(\frac{d y}{d x}=\frac{d}{d x}\) (sin x2) = cos x2 \(\frac{d}{d x}\) (x2) = 2cos x2.
Question 12.
If y = tan3 θ find \(\frac{d y}{d \theta}\)
Solution:
y = tan3 θ
Diff w.r. to θ we get
\(\frac{d y}{d \theta}=\frac{d}{d \theta}\) (tan3 θ) = 3tan3 θ \(\frac{d}{d \theta}\) (tan θ) = 3 tan2θ sec2θ
Question 13.
If y = cot-1 \(\frac{1-x}{1+x}\) then prove that \(\frac{d y}{d x}=\frac{1}{1+x^{2}}\)
Solution:
∵ y = cot-1 \(\frac{1-x}{1+x}\)
put x = tan θ


Question 14.
If y = \(\tan ^{-1} \sqrt{\frac{1+\sin x}{1-\sin x}}\) then find the value of \(\frac{d y}{d x}\)
Solution:
y = \(y=\tan ^{-1} \sqrt{\frac{1+\sin x}{1-\sin x}}\)
