BSEB Bihar Board 12th Maths Important Questions Long Answer Type Part 3 are the best resource for students which helps in revision.
Bihar Board 12th Maths Important Questions Long Answer Type Part 3
Differentiation
प्रश्न 1.
निम्न फलन का x के सापेक्ष अवकलन करें।
(i) ex,
(ii) sinx (-1<r<1)
उत्तर:
(i) माना कि y = ex
y = δy = ex +δx
समी० (ii) – समी० (i).
δy = ex +δx – ex

(iii) Let y=sin x ………………… (i)
y + δy = sin (x+δx) ………………..(ii)
समी० (ii) – समी० (i).

प्रश्न 2.
If y =
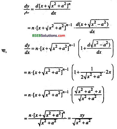
2.2.169 = \(\left[x+\sqrt{\left.x^{2}+a^{2}\right]}^{n}\right.\) then prove that \(\frac{d y}{d x}=\frac{n y}{\sqrt{x^{2}+a^{2}}}\)
उत्तर:
Given y = \(\left[x+\sqrt{\left.x^{2}+a^{2}\right]}^{n}\right.\)
Diff. w. r. to x.

प्रश्न 3.
If y = \(\sqrt{\frac{1-x}{1+x}}\) then prove that (a – x2) . \(\frac{d y}{d x}\) + y = 0
उत्तर:
Given y = \(\sqrt{\frac{1-x}{1+x}}\)
Diff w. r. to x

प्रश्न 4.
Prove that \(\frac{d\left\{\frac{x}{2} \cdot \sqrt{a^{2}-\dot{x}^{2}}+\frac{a^{2}}{2} \cdot \sin ^{-1} \frac{x^{-1}}{a}\right\}}{d x}=\sqrt{a^{2}-x^{2}}\)
उत्तर:
Given \(\frac{d\left\{\frac{x}{2} \cdot \sqrt{a^{2}-\dot{x}^{2}}+\frac{a^{2}}{2} \cdot \sin ^{-1} \frac{x^{-1}}{a}\right\}}{d x}=\sqrt{a^{2}-x^{2}}\)

प्रश्न 5.
निम्न फलन का x के सापेक्ष अवकलन ज्ञात करें।
(i) \(\tan ^{-1}\left\{\sqrt{1+x^{2}}+x\right\}\)
(ii) \(\tan ^{-1}\left\{\frac{\sqrt{1+x^{2}}}{x}\right\}\)
(iii) \(\tan ^{-1}\left\{\frac{\sqrt{1+\sin x}+\sqrt{1+\sin x}}{\sqrt{1+\sin x-\sqrt{1-\sin x}}}\right\} \)
(iv) \(\cot ^{-1}\left(\frac{1-x}{1+x}\right)\)
(v) \(\tan ^{-1}\left(\frac{\sqrt{1+x}-\sqrt{1-x}}{\sqrt{1+x}+\sqrt{1-x}}\right)\)
उत्तर:
माना कि \(\tan ^{-1}\left\{\sqrt{1+x^{2}}+x\right\}\)
x = cot θ रखने पर
∴ y = \(\tan ^{-1}\left(\sqrt{1+\cot ^{2} \theta+\cot \theta}\right)\)
= tan-1 (cosec θ + cot θ)

(ii) माना कि y = \(\tan ^{-1}\left\{\frac{\sqrt{1+x^{2}}-1}{x}\right)\)
x = tan θ रखने पर

Diff w.r.to x
\(\frac{d y}{d x}=\frac{1}{2} \cdot \frac{1}{1+x^{2}}=\frac{1}{2\left(1+x^{2}\right)}\)
(iii) माना कि y = \(\tan ^{-1}\left\{\frac{\sqrt{1+\sin x}+\sqrt{1-\sin x}}{\sqrt{1+\sin x}-\sqrt{1-\sin x}}\right\}\)

(iv) माना कि y = \(\cot ^{-1}\left(\frac{1-x}{1+x}\right)\)
Diff. w.r. to x

(v) माना कि y = \(\tan ^{-1}\left(\frac{\sqrt{1+x}-\sqrt{1-x}}{\sqrt{1+x}+\sqrt{1-x}}\right)\)
x = cos θ रखने पर

प्रश्न 6.
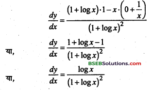
If xy = ex-y prove that \(\frac{d y}{d x}=\frac{\log x}{(1+\log x)^{2}}\)
उत्तर:
दिया है xy = e<sup<>x – y
या, yylogx = ex – y
या, y log x = x – y
या, y log x + y = x
या, y = \(\frac{x}{1+\log x}\)
Diff. w. r. to x

प्रश्न 7.
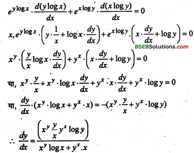
If xy + yx = 2 find \(\frac{d y}{d x}\)
उत्तर:
दिया है xy + yx = 2
या, eylogx + exlogy
Diff. w.r. to x

प्रश्न 8.
If (cos)y = (sin y)x, find \(\frac{d y}{d x}\)
उत्तर:
दिया गया है (cos x)2 = (sin y)x
या, log(cos x)y = log(sin y )x
या, y. log(cos x) = x log (sin y)
Diff w.r.to x

प्रश्न 9.
If (cos x)y = (sin y)x find \(\frac{d y}{d x}\)
उत्तर:
दिया गया है (cos x)y = (sin y)x
या, log(cos x)y = log (sin y)x
या, y. log(cos x) = x log (sin y)
Diff w.r.to x%21im

प्रश्न 10.
यदि y = sin (tan-1 2x)तो सिद्ध करें कि – \(\frac{d y}{d x}=\frac{2}{\left(1+4 x^{2}\right)^{3 / 2}}\)
उत्तर:
put tan-1 2x = t
y = sin(tan-12x) = sin t
\(\frac{d y}{d x}\) = cos t
∵ tan-1 2x = t

∵ tan-1 2x = t
tan t = 2x
sec t = \(\sqrt{1+\tan ^{2}} t\)
= \(\sqrt{1+4 x^{2}}\)
cost = \(\frac{1}{\sqrt{1+4 x^{2}}}\)
प्रश्न 11.
Diferentiate \(\tan ^{-1}\left(\frac{\sqrt{1+x^{2}}-1}{x}\right)\) w r to tan-1 x.x ≠ 0
उत्तर:


प्रश्न 12.
Diferentiate sin-1 \(\frac{2 x}{1+x^{2}}\) w.r.to tan-1x, -1 < x < 1
उत्तर:
माना कि u = sin-1 \(\frac{2 x}{1+x^{2}}\)
या, u = 2tan-1 x & v = tan-1 x
Differentiate with respect to x.
∴ \(\frac{d u}{d x}=2 \cdot \frac{1}{1+x^{2}}\) ……………… (i)
\(\frac{d v}{d x}=\frac{1}{1+x^{2}}\) ………………..(ii)
समी० (i) / समी० (ii).
\(\frac{d u}{d v}\) = 2
प्रश्न 13.
If y = log\(\log \sqrt{\tan x}\) then \(\frac{d y}{d x}\) = ?
उत्तर:


प्रश्न 14.
यदि y = \(\cos -1 \frac{1-x}{1+x}\) तो \(\frac{d y}{d x}\) तो सिद्ध करें कि \(\frac{d y}{d x}=\frac{1}{1+x^{2}}\)
If y = cot-1 \(\frac{1-x}{1+x}\) then prove that \(\frac{d y}{d x}=\frac{1}{1+x^{2}}\)
उत्तर:
∵ y = cot-1 \(\frac{1-x}{1+x}\)
Put x = tan θ

प्रश्न 15.
यदि y = \(\tan ^{-1} \sqrt{\frac{1+\sin x}{1-\sin x}}\) तो \(\frac{d y}{d x}\) का मान ज्ञात करें
उत्तर:
