Bihar Board 12th Maths Important Questions Long Answer Type Part 4 in Hindi

BSEB Bihar Board 12th Maths Important Questions Long Answer Type Part 4 are the best resource for students which helps in revision.

Bihar Board 12th Maths Important Questions Long Answer Type Part 4

Application of Derivatives

प्रश्न 1.
एक घन का आयत 9 cm3/sec की दर से बढ़ रहा है, जब किनारे की लम्बाई 10 cm है तो सतह का क्षेत्रफल कितनी तेजी से बढ़ रही है।
उत्तर:
माना कि, घन की भुजा की लम्बाई x,
आयतन v तथा सतह का क्षेत्रफल s है।
∴ घन का आयतन v = x3
∴ तथा सतह का क्षेत्रफल s = 6x2 जहाँ x समय t का फलन है।
∴ दिया गया है,
Bihar Board 12th Maths Important Questions Long Answer Type Part 4 in Hindi 1
समीकरण (i) से,
\(12 x\left(\frac{3}{x^{2}}\right)=\frac{26}{x}\)
अत: x = 10 cm, \(\frac{d s}{d t}\) = 3.6 cm2/sec

Bihar Board 12th Maths Important Questions Long Answer Type Part 4 in Hindi

प्रश्न 2.
दिए गए फलन में f(x) = sin x + cos x,0 ≤ x ≤ 2π की ओर वृद्धि और कमी होने का अंतराल ज्ञात करें।
उत्तर:
दिया गया है
f(x) = sin x + cos x
f(x) = cos x – sin x
अब, f(x) = 0
∴ sinx = cosx जो कि दिया गया
x = \(\frac{\pi}{4}, 5 \frac{\pi}{4}\) 0 ≤ x ≤ 2π
बिन्दु x = \(\frac{\pi}{4}\) तथा x = \(\frac{5\pi}{4}\)
अंतराल [0, 2π] तीन लगातार अंतराल में विभक्त करता है। जो है
\(\left[0, \frac{\pi}{4}\right],\left[\frac{\pi}{4} ; \frac{5 \pi}{4}\right] \&\left[\frac{5 \pi}{4}, 2 \pi\right]\)
Bihar Board 12th Maths Important Questions Long Answer Type Part 4 in Hindi 2
Bihar Board 12th Maths Important Questions Long Answer Type Part 4 in Hindi 40

प्रश्न 3.
किसी वक्र \(\frac{y=x-7}{(x-2)(x-3)}\) के स्पर्श का समीकरण उस बिन्दु पर ज्ञात करें जो x-axis को काटती है।
उत्तर:
हम जानते हैं कि x-axis पर
y = 0
∴  वक्र का समीकरण जब g = 0
∴ x = 7
∵ वक्र x-अक्ष को बिन्दु (7,0) पर काटती है।
∴ वक्र के समीकरण को x के संदर्भ में अवकलित करने पर
Bihar Board 12th Maths Important Questions Long Answer Type Part 4 in Hindi 3
= स्पर्श की ढाल बिन्दु (7, 0) पर \(\frac{1}{20}\) है।
∴ स्पर्श का समीकरण बिन्दु (7,0) पर
y – 0 = \(\frac{1}{20}\) (x – 7)
या, 20y – x + 7 = 0.

Bihar Board 12th Maths Important Questions Long Answer Type Part 4 in Hindi

प्रश्न 4.
विन्दु (1, 1) पर किसी वक्र x2/3 + y2/3 = 2 पर स्पर्श तथा अभिलंब का समीकरण ज्ञात करें।
उत्तर:
वक्र का समीकरण
x2/3 + y2/3 = 2
x के संदर्भ में अवकलित करने पर,
\(\frac{2}{3} x^{-1 / 3}+\frac{2}{3} y^{-1 / 3} \frac{d y}{d x}=0\)
या, \(\frac{d y}{d x}=-\left(\frac{y}{x}\right)^{1 / 3}\)
∴ बिन्दु (1, 1) पर स्पर्श की ढ़ाल = \(\left.\frac{d y}{d x}\right]_{(1,1)}\) = -1
∴ बिन्दु (1, 1) पर स्पर्श रेखा का समीकरण
y – 1 = -1 (x – 1)
या, y + x = 2
तथा बिन्दु (1, 1) पर अभिलंब की ढाल
Bihar Board 12th Maths Important Questions Long Answer Type Part 4 in Hindi 4
इस प्रकार, बिन्दु (1, 1) अभिलंब का समीकरण
y – 1 = 1 (x – 1)
या, y – x = 0

प्रश्न 5.
संभावित मान \(\sqrt{36 \cdot 6}\) में अवकलित का प्रयोग करें।
उत्तर:
माना कि y = \(\sqrt{x}\)
x = 36 (माना)
तथा माना कि Δx = 0.6 तो,
Δy = \(\sqrt{(x+\Delta x)}-\sqrt{x}\)
= \(\sqrt{36 \cdot 6}-\sqrt{36}=\sqrt{36 \cdot 6}-6\)
∴ \(\overline{36.6}\) = 6 + Δy
Δy ≅ dy दिया गया है।
Bihar Board 12th Maths Important Questions Long Answer Type Part 4 in Hindi 5
∴ \(\overline{36.6}\) का संभावित मान = 6 + 0.05 = 6.05

प्रश्न 6.
(25)1/3 के संभावित मान में अवकलन का प्रयोग करें।
उत्तर:
माना कि y = x1/3,x = 27 तथा माना कि Δx = -2
तो, Δy = (x + Δx)1/3 – x1/3 – x1/3
Δy= (25)1/3 -(27)1/3
Δy= (25)1/3 – 3
(25)1/3 = 3 + Δy
= dy = Ay
Bihar Board 12th Maths Important Questions Long Answer Type Part 4 in Hindi 6
(25)1/3 का संभावित मान = 3 + (0.07) = 2.326

Bihar Board 12th Maths Important Questions Long Answer Type Part 4 in Hindi

प्रश्न 7.
(3.02) के संभावित मान ज्ञात करें जहाँ f(x) = 3x 2 + 5x + 3.
उत्तर:
माना कि x = 3 तथा Δx = 0.02 तब,
f(3.02) =f(x + Δx) = 3(x + Δx) 2 + 5(x + Δx) + x
Δy = f(x + Δx) – f(x)
f(x+ Δx) = f(x) + Δy [∵ dx ≅ Δx]
≅ f(x) + f(x)Δx
f(3.02)= (3x 2 + 5x+3) + (6x +5)Δx
= {3 (3) 2 + 5 (3) + 3} + {6(3) + 5} (0.02)
जहाँ = 3, Δx= 0.02
= (27 + 15 + 13) + (18+5) (0.02)
= 45 + 0.46%D 45.46
f(3.02) का संभावित मान 45.46 है।

प्रश्न 8
ए जसपाल गेस पेपर, 2020 0.8. घन की भुजा को 2% से बढ़ने के कारण xm की भुजा के घन के आयतन v में संभावित परिवर्तन ज्ञात करें।
उत्तर:
हम जानते हैं कि –
घन का आयतन v = x3
या, dv = \(\left(\frac{d v}{d x}\right)\)Δx = (3x2)Δx
= (3x2) (0.02x) = 0.06x3m3
जहाँ x का 2% है 0.02x।
∴ घन के आयतन में संभावित परिवर्तन = 0.06x3m3

प्रश्न 9.
माना बिन्दु A और B पर दो धरातल ध्रुव AP तथा BQ स्थित है। यदि AP = 16 m. BQ = 22 m तथा AB = 20 m तो, बिन्दु A से; AB पर स्थित बिन्दु R की .दूरी ज्ञात करें इस प्रकार कि RP2 + RQ2 न्यूनतम हों।
उत्तर:
माना कि बिन्दु RAB पर इस प्रकार स्थित है।
कि AR = xm तो,
Bihar Board 12th Maths Important Questions Long Answer Type Part 4 in Hindi 7
RB = (20-xym (:: AB = 20m)
हम जानते हैं कि –
RP2 = AR2 + AP2
RQ2 = RB2 + B2
RP2 + RQ2 = AR2 + AP2 + RB2+ BQ2
= x2 + (16)2 + (20-x)2 + (22)2
= 2x2 – 40x + 160
माना कि,
= S(x) = RP2 + RQ2
= 2x2 – 40x + 1140
∴ S'(x)= 4x – 40
अब, S'(x) = 0 तो, x = 10 ..
इस प्रकार, S”(x) = 4 > 0,x के सभी मानों के लिए तया S”(10)>0.
∴ द्वितीय अवकलित जाँच से,
S के Local minima,x= 10 बिन्दु पर है।
∴ AB पर, A से R के बीच की दूरी AR = x = 10m

Bihar Board 12th Maths Important Questions Long Answer Type Part 4 in Hindi

प्रश्न 10.
दिए गए फलन /का निरपेक्ष महत्तम (absolute maximum) तथा न्यूनतम मान ज्ञात करें।
f(x) = 12x4/3 – 6x1/3,x∈[-1, 1]
उत्तर:
प्रश्नानुसार,
f(x) = 12x4/3 – 6x1/3
f'(x) = 16x1/3 – \(\frac{2}{x^{2 / 3}}=\frac{2(8 x-1)}{x^{2 / 3}}\)
जब, – f;(x) = 0 तो x = 1/8
इसके बाद f'(x), x = 0 पर परिभाषित नहीं है।
∴ Critical बिन्दु x = 0 तथा x = 1/8 है।
Critical बिन्दु x = 0, 1/8 पर फलन fका मान तथा अंतराल x = -1 तथा x = 1 पर अंत बिन्दु
f(-1) = 12 (-1)4/3-6 (-1)1/3 = 18
f(0) = 12 (0)4/3 -6 (0)1/3 = 0
\(f\left(\frac{1}{8}\right)=12\left(\frac{1}{8}\right)^{4 / 3}-6\left(\frac{1}{8}\right)^{1 / 3}=-\frac{9}{4}\)
f(1)= 12(1)4/3 – 6(1)1/3 = 6
बिंदु x = -1 पर फलन fका निरपेक्ष महत्तम मान 18 हैं।
तथा बिंदु x = 1/8 पर फलन fका निरपेक्ष न्यूनतम मान \(-\frac{9}{4}\) हैं।

प्रश्न 11.
एक कार t = 0 sec समय पर बिन्दु P से चलना प्रारंभ करती है तथा जिन्दु Q पर रुक जाती है। t seconds में उसके द्वारा x meters दूरी तय करती है। जो दिया गया है x = t2(2 – \(\frac{t}{3}\) ) कार को Q तक पहुँचाने का समय ज्ञात करें तथा P और के बीच की दूरी तय करें।
उत्तर:
माना कि t-second में कार का वेग v है।
∴ प्रश्नानुसार,
x = t2(2 – \(\frac{t}{3}\))
∴ v = \(\frac{d x}{d t}\) = 4t – t2 = t(4 – t)
जब v = 0 तथा t = 0,4
अब, P पर v 0 इसी प्रकार ए तथा P, = 0.
इसलिए, Q पर, t = 4
इस प्रकार, कार बिन्दु Q पर 4 seconds के बाद पहुंचती है।
तथा समय t = 4 second में तय की गयी दूरी
= [x]t = 4 sec = 42 [2 – 4/3]
= 16[2/3] = 32/3 m

Bihar Board 12th Maths Important Questions Long Answer Type Part 4 in Hindi

प्रश्न 12.
एक जलावास (Water tank) जो अंत समवृतीय शंकु के आकार का हैं। निसका अक्ष धरातल तथा शीर्थ नीचे है तथा जलावास (water tank) का अर्द्धधरातल कोण {semivertical angle) tan-1 (0.5) है। 5 cubic meter/hour की स्थित दर से इसमें पानी भरा जा रहा है। जब tank में जल की गहराई 4m हो जाती है। उस समय जल की सतह किस दर से बढ़ रही है ज्ञात करें।
उत्तर:
माना कि शंकु की त्रिज्या r, ऊंचाई h तथा कोण α है।
तो tanα = \(\frac{r}{h}\)
या, α = tan-1(\(\frac{r}{h}\))
माना कि शंकु का आयतन v है तो
Bihar Board 12th Maths Important Questions Long Answer Type Part 4 in Hindi 8
Bihar Board 12th Maths Important Questions Long Answer Type Part 4 in Hindi 9
∴ आयतन में परिवर्तन की दर
\(\frac{d v}{d t}\) = 5m3/h en h= 4m
∴ \(5=\frac{\pi}{4}(4)^{2} \cdot \frac{d h}{d t}\)
या \(\frac{d h}{d t}=\frac{5}{4 \pi}=\frac{35}{88}\)m/h
∴ जल की सतह में परिवर्तन की दर = \(\frac{35}{88}\) m/h

प्रश्न 13.
एक आदमी जिसकी ऊंचाई 2 meter है, 5 km/h के समरूप वेग से हम रहा है तथा वह आदमी एक 1 amp post जिसकी ऊंचाई 6 meters है उससे दूर टहल रहा है तो, उसकी छाया में किस दर से वृद्धि होगी ज्ञात करें?
उत्तर:
माना किAB lamp post है तथा MN एक आदमी है। 1 amp post B पर स्थित है तथा माना कि Am = 1 meters तो MS उस आदमी की छाया है।
माना कि MS = S meters
∴ ΔMSN ~ΔASB
या \(\frac{M S}{A S}=\frac{M N}{A B}\)
AS = \(\frac{M S \cdot A B}{M N}\)
[MN= 2 & AB = 6m]
AS = 3S
AM = 3S – S = 2S लेकिन AM = l
l = 2S
∴ \(\frac{d l}{d t}=2 \frac{d s}{d t}\)
∴ \(\frac{d l}{d t}\) = 5km/h
∴ छाया की लम्बाई में वृद्धि की दर \(\frac{d l}{d t}\) = 5km/h है।
Bihar Board 12th Maths Important Questions Long Answer Type Part 4 in Hindi 10

प्रश्न 14.
वक्र x2 = 4y के अभिलंब का समीकरण ज्ञात करें जो बिन्दु (1, 2) हो होकर गुजरती है।
उत्तर:
वक्र x2 = 4y
समी० (i) को x के संदर्भ में अवकलित करने पर
\(\frac{d y}{d x}=\frac{x}{2}\)
माना कि वक्र x2 = 4y के अभिलंब का नियामक (h, k) है।
∴ नियामक (h, K) के स्पर्शी की ढाल
\(\left.\frac{d y}{d x}\right]_{h, k}=\frac{h}{2}\)
∴ बिन्दु (h, K) पर अभिलंब की ढाल –
y – k = \(\frac{-2}{h}\)(x-h) ………………(i)
∵ यह बिन्दु (1, 2) से होकर गुजरती है
∴ 2 – k = \(\frac{-2}{h}\)(1 – h) ………………..(ii)
∵ नियामक (h, k) वक्र x2 = 4y पर स्थित है।
h2 = 4k
∴ समी० (ii) तथा (ii) से,
h = 2 तथा k = 1
∴ अभिलंब का समीकरण
⇒ y – 1 = \(\frac{-2}{2}\)(x – 2)
या, x+y= 3.

समाकलन

प्रश्न 1.
निम्नलिखित का समाकलन ज्ञात करें :
(i) ∫\(\frac{2 x}{1+x^{2}} d x\)
(ii) ∫ \(\frac{(\log x)^{2}}{x} d x\)
(iii) ∫ \(\frac{e^{\tan ^{-1} x}}{1+x^{2}} d x\)
उत्तर:
माना कि I = ∫\(\frac{2 x}{1+x^{2}} d x\)
Put 1 + x2 = t ⇒ 2x. dx = dt
∴ I = \(\int \frac{d t}{t}\) = log t+c = log (1+x2) + c

(ii) माना कि logx = t
∴ \(\frac{1}{x}\)dx = dt
∴ I = \(\int \frac{(\log x)^{2}}{x} d x\)
= ∫t2 dt
= \(\frac{t^{3}}{3}\) + c
= \(\frac{(\log \dot{x})^{3}}{3}\) + c

(iii) \(\int \frac{e^{\tan -1 x}}{1+x^{2}} d x\)
माना कि I = \(\int \frac{e^{\tan -1 x}}{1+x^{2}} d x\)
Put etan-1x = t
etan-1x. \(\frac{1}{1+x^{2}}\).dx = dt
I = ∫dt = t + c = etan-1x + c

Bihar Board 12th Maths Important Questions Long Answer Type Part 4 in Hindi

प्रश्न 2.
निम्नलिखित का समाकलन ज्ञात करें :
(i) ∫ sin3x. cos2 x. dx
(ii) ∫ \(\frac{\sin x}{\sin (x+a)} d x\)
(iii) ∫\(\frac{d x}{1+\tan x}\)
उत्तर:
(i) ∫ sin3x. cos2 x. dx
∫ sin 2x. cos2 x. sin x. dx
∫ (1 – cos2x) . cos2 x. sin x dx
∫ (cos2x – cos4x)sin x dx
माना कि cosx=y
∴ -sinx. dx = -dy
= ∫(y2 – y4) (-dy)
= ∫y2dy + ∫y4dy
= \(-\frac{y^{3}}{3}+\frac{y^{5}}{5}+k\)
= \(-\frac{\cos ^{3} x}{3^{\circ}}+\frac{\cos ^{5} x}{5}+k\)

(ii) ∫\(\frac{\sin x}{\sin (x+a)} d x\)
x + a =t रखने पर
∴ dx = dt
∴ \(\int \frac{\sin x}{\sin (x+a)} \cdot d t=\int \frac{\sin (t-a)}{\sin t} d t\)
= ∫ \(\frac{\sin t \cdot \cos a-\cos t \cdot \sin a}{\sin t} \cdot d t\)
= ∫ cos a.dt – ∫ cot tsin a. dt
= (cos a)t – sina[log|sin t|]
= (x + a) . cos a – sin a . [log |sin(x + a)| + k ]

Bihar Board 12th Maths Important Questions Long Answer Type Part 4 in Hindi 11
cosx + sinx = y रखने पर
Diff w.r.to x.
(-sinx+cos x)dx = dy
∴ I = \(\int \frac{d y}{y}\) = log|y| + c2
= log|cos x + sin x| + + c2
समी० (i) से,
Bihar Board 12th Maths Important Questions Long Answer Type Part 4 in Hindi 12

प्रश्न 3.
निम्नलिखित का समाकलन ज्ञात करें :
(i) ∫cos2
(ii) ∫sin 2x. cos 3x . dx
(iii) ∫ sin3. dx
उत्तर:
(i) ∫cos2
Bihar Board 12th Maths Important Questions Long Answer Type Part 4 in Hindi 13

(ii) ∫sin 2x. cos 3x . dx
= \(\frac { 1 }{ 2 }\) ∫2sin 2x. cos 3x dx
= \(\frac { 1 }{ 2 }\) ∫[sin(2x+3x) + sin(2x – 3x)]dx
= \(\frac { 1 }{ 2 }\) ∫(sin 5x – sin x)dx
= \(\frac { 1 }{ 2 }\) ∫sin 5x. dx – \(\frac { 1 }{ 2 }\) ∫ sin x. dx
= \(\frac{1}{2} \cdot \frac{(-\cos 5 x)}{5}-\frac{1}{2} \cdot(-\cos x)+c\)
= \(\frac{-\cos 5 x}{10}+\frac{\cos x}{2}+c\)

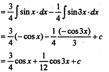
(iv) ∫ sin3dx
∵ सूत्र से sin 3x = 3 sin x – 4sin3
Bihar Board 12th Maths Important Questions Long Answer Type Part 4 in Hindi 14
Bihar Board 12th Maths Important Questions Long Answer Type Part 4 in Hindi 15

Bihar Board 12th Maths Important Questions Long Answer Type Part 4 in Hindi

प्रश्न 4.
निम्नलिखित का समाकलन ज्ञात करें :
(i) \(\int \frac{d x}{x^{2}-16}\)
(ii) \(\int \frac{d x}{\sqrt{2 x-x^{2}}}\)
उत्तर:
Bihar Board 12th Maths Important Questions Long Answer Type Part 4 in Hindi 16
(ii) \(\int \frac{d x}{\sqrt{2 x-x^{2}}}=\int \frac{d x}{\sqrt{1-(x-1)^{2}}}\)
x – 1 = y रखने पर
dx = dy
\(\int \frac{d y}{\sqrt{1-y^{2}}}\)
sin-1(y) + c = sin-1(x – 1) + c

प्रश्न 5.
निम्नलिखित का समाकलन ज्ञात करें :
(i) \(\int \frac{d x}{x^{2}-6 x+13}\)
(ii) \(\int \frac{x e^{x}}{(x+1)^{2}} d x\)
(iii) \(\int \frac{d x}{\sqrt{5 x^{2}-2 x}}\)
उत्तर:
(i) \(\int \frac{d x}{x^{2}-6 x+13}\)
∵ x2 – 6x + 13 = x2 – 6x + 32 – 32 + 13
= (x – 3)2 + 4
∴ \(\int \frac{d x}{x^{2}-6 x+13}=\int \frac{d x}{(x-3)^{2}+4}\)
x – 3 = y रखने पर
∴ dx = dt
Bihar Board 12th Maths Important Questions Long Answer Type Part 4 in Hindi 17

(ii) \(\int \frac{x e^{x}}{(x+1)^{2}} d x\)
उत्तर:
Bihar Board 12th Maths Important Questions Long Answer Type Part 4 in Hindi 18

(iii) \(\int \frac{d x}{\sqrt{5 x^{2}-2 x}}=\int \frac{d x}{\sqrt{5\left(x^{2}-\frac{2}{5} x\right)}}\)
उत्तर:
Bihar Board 12th Maths Important Questions Long Answer Type Part 4 in Hindi 19

Bihar Board 12th Maths Important Questions Long Answer Type Part 4 in Hindi

प्रश्न 6.
Find the integrals : \(\int \frac{x^{2}+1}{x^{2}-5 x+6} d x\)
उत्तर:
∵ \(\frac{x^{2}+1}{x^{2}-5 x+6}\) वास्तविक भिन्न नहीं है।
∴ x2 + 1 को 3-5x + 6 से विभाजित करने पर,
\(\frac{x^{2}+1}{x^{2}-5 x+6}=1+\frac{5 x-5}{x^{2}-5 x+6}=1+\frac{5 x-5}{(x-2)(x-3)}\)
माना कि \(\frac{5 x-5}{(x-2)(x-3)}=\frac{A}{x-2}+\frac{B}{x-3}\)
∴ 5x – 5 = (x-3)A + (x-2)B
या, 5x-5 = Ax – 3A + Bx – 2B
या, 5x-5 = (A + B)x-(3A + 2B)
∴ A+ B = 5 ………………. (1)
और 3A + 2B = 5 ……………(2)
समी० (i) & समी० (ii) से,
A = -5 एवं B = 10
Bihar Board 12th Maths Important Questions Long Answer Type Part 4 in Hindi 20

प्रश्न 7.
Find the integratx
(i) \(\int e^{x} \cdot\left(\tan ^{-1} x+\frac{1}{1+x^{2}}\right) d x\)
(ii) \(\int \frac{\left(x^{2}+1\right) \cdot e^{x}}{(x+1)^{2}} d x\)
उत्तर:
Bihar Board 12th Maths Important Questions Long Answer Type Part 4 in Hindi 21
यदि f(x) = ∫ex. [f(x) + f'(x)]dx
I = ∫ex (tan-1 x + \(\frac{1}{1+x^{2}}\))dx = ex. tan-1 x + c
Bihar Board 12th Maths Important Questions Long Answer Type Part 4 in Hindi 22

प्रश्न 8.
मान निकालें (Evaluate) ∫sin4θ cos4θ
उत्तर:
Bihar Board 12th Maths Important Questions Long Answer Type Part 4 in Hindi 23

प्रश्न 9.
Find the Intergral : ∫\(\sqrt{x^{2}+2 x+5} d x\)
उत्तर:
Bihar Board 12th Maths Important Questions Long Answer Type Part 4 in Hindi 24
Bihar Board 12th Maths Important Questions Long Answer Type Part 4 in Hindi 25

Bihar Board 12th Maths Important Questions Long Answer Type Part 4 in Hindi

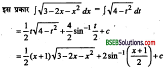
प्रश्न 10.
Find the integrals : \(\sqrt{3-2 x-x^{2}} d x\)
उत्तर:
\(\int \sqrt{4-(x-1)^{2}} d x\)
x + 1 = t रखने पर तब dx = dt
Bihar Board 12th Maths Important Questions Long Answer Type Part 4 in Hindi 26

प्रश्न 11.
ज्ञात करें : \(\int \frac{\sin 2 x \cdot \cos 2 x}{\sqrt{9-\cos ^{4}(2 x)}} d x\)
जब cos2 (2x) = t रखने पर साबित करें 4sin 2x. cos 2x dx = -dt
उत्तर:
Bihar Board 12th Maths Important Questions Long Answer Type Part 4 in Hindi 27

प्रश्न 12.
\(\int_{0}^{\pi / 4} \sec ^{4} x d x\)
उत्तर:
प्रदत्त अनुकूल I = \(\int_{0}^{\pi / 4}\) sec2x ( 1 + tan2x)dx
tan x = y रखने पर sec2xdx = dy
जब x = 0, y = 0
जब x = \(\frac{\pi}{4}\), y = 1
Bihar Board 12th Maths Important Questions Long Answer Type Part 4 in Hindi 28

प्रश्न 13.
\(\int_{0}^{1} \frac{d x}{1+x^{2}}\)
उत्तर:
x = tanθ रखने पर dx = sec2θdθ
जब x = 0, θ = 0 जब x = 1,
प्रदत्त अनुकूल \(=\int_{0}^{\pi / 4} \frac{\sec ^{2} \theta d \theta}{1+\tan ^{2} \theta}=\int_{0}^{\pi / 4} d \theta=[\theta]_{0}^{\pi / 4}=\frac{\pi}{4}\)

प्रश्न 14.
\(\int_{-2}^{2} \frac{d x}{4+x^{2}}\)
उत्तर:
x = 2tanΦ रखने पर dx = 2sec2 ΦdΦ
जब x = -2 Φ = \(\frac{\pi}{4}\) जब x = 2, Φ = \(\frac{\pi}{4}\)
प्रदत्त अनुकूल = \(\int_{-\pi / 4}^{\pi / 4} \frac{2 \sec ^{2} \varphi d \varphi}{4+4 \tan ^{2} \varphi}=\frac{1}{2} \int_{-\pi / 4}^{\pi / 4} d \varphi=\frac{1}{2}\left[\frac{\pi}{4}+\frac{\pi}{4}\right]=\frac{\pi}{4}\)

Bihar Board 12th Maths Important Questions Long Answer Type Part 4 in Hindi

प्रश्न 15.
Limit \(\int_{0}^{2}\left(x^{2}+1\right) dx\) का योग ज्ञात करें।
उत्तर:
परिभाषा द्वारा,
Bihar Board 12th Maths Important Questions Long Answer Type Part 4 in Hindi 29
Bihar Board 12th Maths Important Questions Long Answer Type Part 4 in Hindi 30

प्रश्न 16.
\(\int_{0}^{\pi / 2} \frac{\sqrt{\cos x} d x}{\sqrt{\cos x}+\sqrt{\sin x}}\) का मान ज्ञात करें।
उत्तर:
Bihar Board 12th Maths Important Questions Long Answer Type Part 4 in Hindi 31

Bihar Board 12th Maths Important Questions Long Answer Type Part 4 in Hindi

प्रश्न 17.
सिद्ध करें कि
\(\int_{0}^{\pi / 2} \log \sin x d x=\int_{0}^{x / 2} \log \cos x d x=-\frac{\pi}{2} \log 2\)
प्रमाण मान लिया कि I = \(\int_{0}^{\pi / 2}\) log sin x dx …………..(1)
Bihar Board 12th Maths Important Questions Long Answer Type Part 4 in Hindi 32
मान लिया कि 2x = z ⇒ dx = \(\frac{d z}{2}\) limit = 0 से π
Bihar Board 12th Maths Important Questions Long Answer Type Part 4 in Hindi 33

प्रश्न 18.
गणना करें – \(\int_{0}^{1} \frac{\tan ^{-1} x}{1+x^{2}} d x\)
उत्तर:
माना t = tan-1 तब dt = \(\frac{1}{1+x^{2}}\)dx
नया limits है जब x = 0, t = 0 और जब x = 1, t = π/4 इस प्रकार t, 0 to 1 से परिवर्तित है , t, 0 to π/4
Bihar Board 12th Maths Important Questions Long Answer Type Part 4 in Hindi 34

प्रश्न 19.
गणना करें – \(\int_{-\pi / 4}^{\pi / 4} \sin ^{2} x d x\)
उत्तर:
sin2 एक सम फलन है
Bihar Board 12th Maths Important Questions Long Answer Type Part 4 in Hindi 35
Bihar Board 12th Maths Important Questions Long Answer Type Part 4 in Hindi 36

Bihar Board 12th Maths Important Questions Long Answer Type Part 4 in Hindi

प्रश्न 20.
\(\int_{0}^{\infty} \frac{\sin \left(\tan ^{-1} x\right)}{1+x^{2}} d x\) का मान ज्ञात करें
उत्तर:
मान लिया कि tan-1 x = z ⇒ [altex]\frac{d x}{1+x^{2}}[/latex]= dz
limit = 0 + \(\frac{\pi}{2}\)
∴ I = \(\int_{0}^{\pi / 2} \sin z d z-[\cos z]_{0}^{\pi / 2}\)
= -(cos \(\frac{\pi}{2}\) – cos0) = 1

प्रश्न 21.
यदि y = sin(tan(logx)} है तो \(\frac{d y}{d x}\) ज्ञात करें |
उत्तर:
∵ y = sin{tan(logx)}
⇒ \(\frac{d y}{d x}=\frac{d}{d x}\) [sin{tan(logx)}]
= cos{tan(logx)} x \(\frac{d}{d x}\) [tan{log x}]
= cos{tan(log x} x sec2(log x) x \(\frac{d}{d x}\) {log x}
= cos {tan (log x)} x sec2 (log x) x 1/x
= 1/x sec2 (logx)cos{tan(logx)}

प्रश्न 22.
Integral I = \(\int_{0}^{\pi / 4} \cos ^{2} x d x\)
उत्तर:
Bihar Board 12th Maths Important Questions Long Answer Type Part 4 in Hindi 37
Bihar Board 12th Maths Important Questions Long Answer Type Part 4 in Hindi 38

प्रश्न 23.
ज्ञात करें (Find) \(\int \frac{d x}{x\left(x^{2}+1\right)^{2}}\)
उत्तर:
I = \(\int \frac{d x}{x\left(x^{2}+1\right)^{2}}=\int \frac{\sec ^{2} \theta d \theta}{\tan \theta \cdot \sec ^{4} \theta}\)
put x = tan θ
dx = sec2θdθ
x2 + 1 = sec2θ
Bihar Board 12th Maths Important Questions Long Answer Type Part 4 in Hindi 39