BSEB Bihar Board 12th Maths Important Questions Long Answer Type Part 4 are the best resource for students which helps in revision.
Bihar Board 12th Maths Important Questions Long Answer Type Part 4
Application of derivatives
Question 1.
The volume of cube is increasing at a rate of 9 cubic centime Ires per second. How fast is the surface area increasing when the length of an edge is 10 centimetres ?
Solution:
Let x be the length of a side
v be the volume and
S be the surface areas of the cube
then v = x3
and S = 6x2, where x is a function of time t.
Given, \(\frac{d v}{d t}\) = 9cm3/s

Hence x = 10cm.
\(\frac{d s}{d t}\) = 3.6cm3/s

Question 2.
Find the intervals in which the function f given by f(x) = sinx + cosx, 0 ≤ x ≤ 2π is strictly increasing or strictly decreasing.
Solution:
We have
f(x) = sin x + cos x
f(x) = cosx-sinx
Now, f'(x) = 0
gives sin x= cos x which gives that
x = \(\frac{\pi}{4}, \frac{5 \pi}{4}\)
0 ≤ x ≤ 2π
The point x = \(\frac{\pi}{4}\) and x = \(\frac{5 \pi}{4}\) divide the interval [0, 2π] into three disjoint intervals namely,

| Interval | Sign of f’(x) | Nature of function |
| (0, \(\frac{\pi}{4}\) ) | >0 | f is strictly increasing |
| (\(\frac{\pi}{4}, \frac{5 \pi}{4}\) ) | <0 | f is strictly decreasîng |
| ( \(\frac{5 \pi}{4}\), 2π ) | >0 | F is strictly increasing |
Question 3.
Find the equation of the tangent to-the curve y = \(\frac{x-7}{(x-2)(x-3)}\) at the point where it cuts’the x- axis.
Solution:
Note that on x-axis, y = 0 .
So that equation of the curve, when y = 0, gives x=7. Thus, the curve cuts the x-axis at (0,7). Now differentiating the equation of the curve with respect to x, we obtain.
\(\frac{d y}{d x}=\frac{(1-y)(2 x-5)}{(x-2)(x-3)}\)
or, \(\left.\frac{d y}{d x}\right]_{(7,0)}=\frac{1-0}{(5)(4)}=\frac{1}{20}\)
Therefore, the slope of the tangent at (7,0) is \(\frac{1}{20}\)
Hence the equation of the tangent at (7,0) is
y – 0 = \(\frac{1}{20}\) (x – 7)
or, 20y – x + 7 = 0
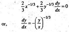
Question 4.
Find the equations of the tangent and normal to be the curve x2/3 + y2/3 = 2 at (1, 1)
Solution:
Differentiating x2/3 + y2/3 = 2 with respect to x, we get

Therefore, the slope of tangent at (1,1) is \(\left.\frac{d y}{d x}\right]_{1,1}\) = -1
So the equation of the tangent at (1,1) is
y – 1 = -1(x – 1)
or, y + x – 2 = 0
Also, the slope of the normal at ( 1,1) is given by
\(\frac{-1}{\text { Slope of tangent at }(1,1)}\) = 1
Therefore, the equation of the normal at (1,1) is
y – 1 = 1 (x – 1)
or, y – x = 0

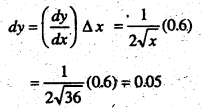
Question 5.
Use differential to approximate \(\sqrt{36-6}\)
Solution:
Take y = \(\sqrt{x}\)
Let x = 36 and let Δx = 0.6 then

Now dy is approximate equal to Δy and is given by

(as y = \(\sqrt{x}\)
Thus, the approximate value of \(\sqrt{36.6}\) is 6 + 0 05 = 6.05.
Question 6.
Use differential to approximate (25)1/3
Solution:
Let y = x1/3
Let x = 27 and let Δx = -2 then
Δy = (x + Δr)1/3 – x1/3 = (25)1/3 – (27)1/3
= (25)1/3 – 3
or, (25)1/3 = 3 + Δy
Now dy is approximately equal to Δy and is given by

Thus, the approximate value of (25)1/3 is given by 3 + (-0.074) = 2.926
Question 7.
Find the approximate value of 3412, where f(x) = 3x2 + 5x + 3.
Solution:
Let x = 3 and Δx = 0.02 Then
f(3.02) = f(u + Δx)
= 3(x + Δx)2 + 5( x + Δx) + 3
Note that Δy = f(x+Δx) – f(x) ‘
Therefore, f(x + Δr)f(x)+Δy
= f(x) + f'(x)Δx (as dx = Δx)
f(3.02) = (3x2 + 5x + 3) + (6x + 5)Δx
= (3(3)2 + 5(3) + 3} + {6(3) + 5}(0.02)Δx
_ (as x = 3, Δx = 0.02)
= (27 + 15 + 3) + (18 + 5)(0.02)
= 45 + 0.46 = 45.46
Hence, approximate value of f( 3.62) is 45.46

Question 8.
Find the approximate change in the volume v of a cube of side x meters caused by increasing the side by 2%.
Solution:
Note that
y = x3
or dv = \(\left(\frac{d v}{d x}\right) \Delta x\) = (3x2)Δx
= (3x2) (002x) = 006 x3 m3 at 2% of x is 002x.
Thus, the approximate change in yolume is 0 06 x3 m3
Question 9.
A car starts from a point p at time t = 0 seconds and stops a point Q. The distance x in metres covered by it in t seconds is given b x = t2(2 – \(\frac{t}{3}\))
Find the time taken by it to reach Q and also find distance between i and Q.
Solution:
Let v be the velocity of the car at t seconds.
Now x = t2(2 – \(\frac{t}{3}\))
∴ v = \(\frac{d x}{d t}\) = 4r – t2 = t(4 – t)
Thus v = 0 gives t = 0 and/or t = 4 ’
Now v = 0 at P as well as at Q and at P, t- 0.
so, at Q. t = 4.
Thus the car will reach the point Q after 4 seconds. Also the distance travelled in 4 seconds is given by
[x]t = 4 = 42(2 – \(\frac{4}{3}\)
= 16( \(\frac{2}{3}\) ) = \(\frac{32}{3}\)m
Question 10.
A mail of height 2 metres walks at a uniform speed of 5 km/h s* way from a lamp post which is 6 metres high. Find the rate at which the length of his shadow increases.
Solution:
Let AB be the lamp-post, the lamp being at the position Band let MN be the man at a particular time t and Let AM= l metres. Then MS is the shadow of the man. Let MS = S metres.

Note that ΔMSN ~ ASB
or, \(\frac{M S}{A S}=\frac{M N}{A B}\)
AS = 3S(MN = 2 and AB = 6)
AM = 35 – 5 = 25 But AM = l
l = 2S
∴ \(\frac{d l}{d t}=2 \frac{d S}{d t}\)
Since \(\frac{d l}{d t}\) = 5km/h
Hence, the length of the shadow increase at the rate \(\frac{5}{2}\) km/ h

Question 11.
Find \(\int \frac{d x}{x\left(x^{2}+1\right)^{2}}\)
Solution:

Integrals
Question 1.
find the following integrals :
(i) \(\int \frac{2 x}{1+x^{2}} d x\)
(ii) \(\int \frac{(\log x)^{2}}{x} d x\)
(iii) \(\int \frac{e^{\tan ^{-1} x}}{1+x^{2}} d x\)
Solution:
(i) Put 1 + x2 = t then 2xdx = dt
Therefore \(\int \frac{2 x d x}{1+x^{2}}=\int \frac{d t}{t}\)
= \(\int \frac{1}{t} \cdot d t\)
= logt + c
= log(1 + x2) + c
(ii) Put log x = t (log x)2 so that \(\frac{1}{x}\)dx = dt
Therefore ∫\(\frac{1}{x}\) (logx)2dx = ∫t2 dt
= \(\frac{t^{3}}{3}+C\)
= \(\frac{(\log x)^{3}}{3}\) + c
(iii) Put etan-1 x = t so that
etan-1 x \(\frac{1}{1+x^{2}}\).dx = dt
Therefore \(\frac{1}{1+x^{2}}\)
= ∫ dt = t + c = etan-1 x + c
Question 2.
Find the following integrals :
(i) ∫ sin3 x.cos2 xdx
(ii) ∫\(\frac{\sin x}{\sin (x+a)} d x\)
Solution:
(i) = ∫ sin2 x . cos3 x . (sin x).dx
= ∫ (1 – cos2 x). cos2 x . (sinx).dx
= ∫ (cos2x – cos4x)sinx dx
Let cos x = t
Differentiate w.r. t. x
-sin x = \(\frac{d t}{d x}\)
⇒ sin x . dx = -dt
= ∫(t2 – t4)(-dt)
= -∫(t2 – t4)(dt)
= -∫(t2dt – ∫t4)(dt)
= \(\frac{t^{3}}{3}+\frac{t^{4}}{5}\) + c
= \(-\frac{\cos ^{3} x}{3}+\frac{\cos ^{4} x}{5}\) + c

(ii) Put x + a = t
Then dx = dt

= cosa∫dt – sina∫cott dt
= (cos a) t -sin a [ log | sin t| + c1]
= (cos a) ( x +a) – sin a [ log | sin {x + a)| + Cj]
= x cos a + a cos a – sin a log | sin (x+a) |+ c
Hence, \(\int \frac{\sin x}{\sin (x+a)} d x\) = xcosa – sinalog|sin(x + a)| + c
where, c = c1 sin a + a cos a is another arbitrary constant.
Question 3.
Find the following integrals:
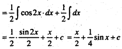
(i) ∫cos2x.dx
(ii) ∫sin 2x. cos3x. dx
(iii) ∫sin3xdx
Solution:
(i) We know that
cos2x = 2cos2 x – 1
cos2 = \(\frac{\cos 2 x+1}{2}\)
Then ∫ cos2x. dx = \(\int \frac{\cos 2 x+1}{2} d x\)

(ii) = \(\frac{1}{2}\)∫ 2sin2.x-cos3.x-cfct
= \(\frac{1}{2}\)∫[sin(2x + 3x) + sin(2x – 3x)]dx
= \(\frac{1}{2}\)∫(sin5x – sinx)dx
= \(\frac{1}{2}\)∫sin5x dx – \(\frac{1}{2}\)∫sin x. dx

(iii) We know that,
sin 3x = 3 sin x – 4 sin3 x
sin3x = \(\frac{3 \sin x-\sin 3 x}{4}\)


Question 4.
Find the following integrals : dx t dx
(i) \(\int \frac{d x}{x^{2}-16}\)
(ii) \(\int \frac{d x}{\sqrt{2 x-x^{2}}}\)
Solution:

(ii) = \(\int \frac{d x}{\sqrt{1-(x-1)^{2}}}\)
Put x – 1 = t then dx = dt
Therefore , = \(\int \frac{d x}{\sqrt{2 x-x^{2}}}=\int \frac{d t}{\sqrt{1-t^{2}}}\)
sin-1(t) + c = din-1(x – 1) + c
Question 5.
Find the following intergrals
(i) \(\)
(ii) \(\)
Solution:
(i) We have x2 – 6x + 13 = x2-6x + 32 -32 + 13 . ; = (x -3)2 + 4
So \(\int \frac{d x}{x^{2}-6 x+13}=\int \frac{d x}{(x-3)^{2}+4}\)
Let x – 3 = t then dx = dt



Question 6.
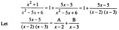
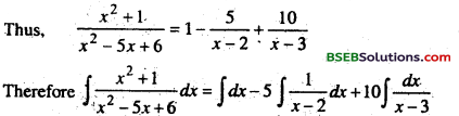
Find the integrals : = \(\int \frac{x^{2}+1}{x^{2}-5 x+6}\)
Solution:
\(\frac{x^{2}+1}{x^{2}-5 x+6}\) is not proper rational junction, so we divide x2 + 1 by x2 – 5x + 6 a and find that

So that 5x-5 = (x- 3) A + (x-2) B
Equating the coefficients of x and constant 7 terms on both sides, we get A + B = 5 and 34 + 21? = 5 r
A = -5 and B = 10

= x – 5 tog |x – 2| + 10 tog |x – 3| + c

Question 7.
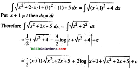
Find the integrals ; \(\int \sqrt{x^{2}+2 x+5} d x\)
Solution:

Question 8.
Find the integral : \(\sqrt{3-2 x-x^{2}} d x\)
Solution:
\(\int \sqrt{4-(x-1)^{2}} d x\)
Put x + 1 = r then dx = dt.

Question 9.
Find the integrals :\(\int \frac{\sin 2 x \cdot \cos 2 x}{\sqrt{9-\cos ^{4}(2 x)}} d x\)
Solution:
Put cos2 (2x) = t
So that 4sin2x . cos2x .dx = -dt

Question 10.
Evaluate \(\int_{0}^{\pi / 2} \frac{\sqrt{\cos x}}{\sqrt{\cos x}+\sqrt{\sin x}} d x\)
Solution:



Question 11.
Prove that \(\int_{0}^{\pi / 2} \log \sin x d x=\int_{0}^{\pi / 2} \log \cos x d x=\frac{-\pi}{2} \log 2 .\)
Solution:
Let I = \(\int_{0}^{\pi / 2}\)logsin dx = \(\int_{0}^{\pi / 2}\) log sin(\(\frac{\pi}{2}\) – x)dx
[ \(\int_{0}^{\alpha} f(x) d x=\int_{0}^{\alpha} f(a-x) d x\) ]
[∵ latex]\int_{0}^{\pi / 2}[/latex] log cos x dx
I = \(\int_{0}^{\pi / 2}\) log cos xdx
Adding (1) and (2), we have
2I = \(\int_{0}^{\pi / 2}\) (log sin x + log cos x)dx = \(\int_{0}^{\pi / 2}\) log\(\frac{\sin 2 x}{2}\) dx
= \(\int_{0}^{\pi / 2}\) log sin 2x dx – log 2\(\int_{0}^{\pi / 2}\) dx
= \(\int_{0}^{\pi / 2}\) logsin 2x dx – \(\frac{\pi}{2}\)log 2 …………….. (3)
Let 2x = z = dx = \(\frac{d z}{d z}\) ∴ limit are 0 to π.
2 I = \(\frac{1}{2} \int_{0}^{\pi / 2} \log \sin z d z-\frac{\pi}{2} \log 2\)
\(\int_{0}^{\pi / 2}\) logsin z dz – \(\frac{\pi}{2}\) lofg 2
= I – \(\frac{\pi}{2}\) log 2
∴ I = \(\frac{\pi}{2}\) log 2
Question 12.
Evaluate \(\int_{0}^{\infty} \frac{\sin \left(\sin ^{-1} x\right)}{1+x^{2}} d x\)
Solution:
Put tan-1 x = z ⇒ \(\frac{d x}{1+x^{2}}\) = dz\
Limits are o to \(\frac{\pi}{2}\)
I = \(\int_{0}^{\pi / 2}\) sin z dz = \(-[\cos z]_{0}^{\pi / 2}\)
= = (cos\(\frac{\pi}{2}\) – cos 0) = 1
Question 13.
Evaluate \(\int_{0}^{1} \frac{\tan ^{-1} x}{1+x^{2}} d x\)
Solution:
Let t = tan-1 x then dt = \(\frac{1}{1+x^{2}} d x\)
The new limits are when x = 0, t = 0 and when x = 1, t = \(\frac{\pi}{4}\) thus a x varies form 0 to 1 , t, varies from 0 to \(\frac{\pi}{4}\)


Question 14.
Evaluate \(\int_{-\pi / 4}^{\pi / 4} \sin ^{2} x d x\)
Solution:
∵ sin2 is an even function

Question 15.
Evaluate sin4θ cos4θ dθ
Solution:

