Bihar Board 12th Maths Important Questions Long Answer Type Part 5

BSEB Bihar Board 12th Maths Important Questions Long Answer Type Part 5 are the best resource for students which helps in revision.

Bihar Board 12th Maths Important Questions Long Answer Type Part 5

Application Of Integrals

Question 1.
Find the area of the region in the first quadrant enclosed by the x-axis, the liney = x and the circle x2 + y2 = 32
Solution:
The given equations are
y = x …(i)
and x2 + y2 = 32 …(ii)
Solving (i) and (ii), we find that the line and’the-circle meet at B (4,4) in, the first quadrant., Draw perpendicular BM to the x- axis.
Therefore, the required area = area of the region OBMO + area of the region BMAB. ,
Now, the area of the region OBMO
Bihar Board 12th Maths Important Questions Long Answer Type Part 5 1
Bihar Board 12th Maths Important Questions Long Answer Type Part 5 2
Again, the area of the region BMAB
Bihar Board 12th Maths Important Questions Long Answer Type Part 5 3
Adding (iii) and (iv), we get
the required area = 8 + 4π – 8
= 4π

Bihar Board 12th Maths Important Questions Long Answer Type Part 5

Question 2.
Find the area bounded by the ellipse\(\frac{x^{2}}{a^{2}}+\frac{y^{2}}{b^{2}}\) and the cordinates x = 0 and x = ae, where b2 = a2 (1 – e2) and e < 1.
Solution:
The required area of the region BOB’RFSB us enclosed by the ellipse and the line x = 0 and x = ae
Bihar Board 12th Maths Important Questions Long Answer Type Part 5 4
Now, the area of the region BOBRFSB
Bihar Board 12th Maths Important Questions Long Answer Type Part 5 5
Bihar Board 12th Maths Important Questions Long Answer Type Part 5 6

Question 3.
Find the area of the parabola y2 = 4ax bounded by its locus rectum.
Solution:
The vertex of the parabola y2 = 4ax is at origin (0,0).
The equation of the locus rectum ∠SL’ is x = a. Also, parabola is symmetrical about the x-axis.
The required area of the region OLL’ = 2 (area of the region OLSO).
Bihar Board 12th Maths Important Questions Long Answer Type Part 5 7

Bihar Board 12th Maths Important Questions Long Answer Type Part 5

Question 4.
Form the differential equation representing the family of curves y = a sin (x + b), where a, b are arbitrary constants.
Solution:
We have
y = a sin {x + b) ………….(i)
Differentiating both sides of the eqn. (i)
with respect to x, we get
\(\frac{d y}{d x}\) = a cos (x + b) ……………… (ii)
\(\frac{d^{2} y}{d x^{2}}\) = -a sin(x + b) ………………..(iii)
Eliminating a and b from equations
(i),(ii) and (iii), we get
\(\frac{d^{2} y}{d x^{2}}\) + y = 0
Which is free form the arbitrary constants a and b hence this the required differential equation.

Question 5.
Find the general solution of the differential equation.
\(\frac{d y}{d x}=\frac{x+1}{2-y}\), (y ≠ 2)
Solution:
We have
\(\frac{d y}{d x}=\frac{x+1}{2-y}\)
Separating the variables in equation (i), we get
(2-y)dy = (x + 1)dx
Integrating both sides of equation (ii), we get
∫(2-y)dy = ∫(x + 1)dx
2y – \(\frac{y^{2}}{2}=\frac{x^{2}}{2}\)+ x + c1
or, x2 + y2 + 2x – 4y + 2c = 0 .
or, x2 + y2 + 2x – 4y + c = 0,
Where c = 2c1
Which is the general solution of eqn. (i).

Question 6.
Find the particular solution of the differential equation
\(\frac{d y}{d x}=-4 x y^{2}\) given that y = 1. where x = 0
Solution:
if y ≠ 0, the given differentail equation can be written as
\(\frac{d y}{y^{2}}\) = -4x dx …………..(i)
Integrating both sides of equation (i), we get
\(\int \frac{d y}{y^{2}}\) = -4∫x dx
\(-\frac{1}{y}\) = -2x2 + c
y = \(\frac{1}{2 x^{2}-c}\) ………….(ii)
Substituting y,= 1 and x = 0 in equation (ii), we get c = -1
Now substituting the value of c in equation (ii), we get the particular
solution of the given differential equation as y = \(\frac{1}{2 x^{2}+1}\)

Bihar Board 12th Maths Important Questions Long Answer Type Part 5

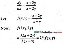
Question 7.
Show that the differential equation x – y \(\frac{d y}{d x}\) = x + 2y is homogeneous and solve It.
Solution:
The given differential equation can be expressed as dy x + 2y
Bihar Board 12th Maths Important Questions Long Answer Type Part 5 8
Therefore, f(x, y) is a homogenous function of degree zero. So, the given differential equation is a homogenous differential equation.

Question 8.
Find the general solution of the differential equation
x\(\frac{d y}{d x}\) + 2y = x2(x ≠ 0).
Solution:
The given differential equation is
x\(\frac{d y}{d x}\) + 2y = x2
Dividing both sides of equation (i) by x, we get
\(\frac{d y}{d x}+\frac{2}{x} y=x\)
Which is a linear differential equation of the type
\(\frac{d y}{d x}\) + py = Q
Where p = \(\frac{2}{x}\) and Q = x
So, I.F \(\int_{e}^{2} \frac{2}{x} d x=e^{2 \log x}=e^{\log ^{x^{2}}}=x^{2}\)
Therefore, solution of the given equation is given by
y. x2 = ∫ (x)(x2) dx +c
= ∫x3 dx + c
= \(\frac{x^{2}}{4}\) + cx-2
Which is the general solution of the given differential equation.

Question 9.
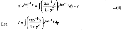
Solve the differential equation
(tan-1 y – x)dy = (1 + y2)dx
Solution:
The given differential eqn. can be written as
\(\frac{d x}{d y}+\frac{x}{1+y^{2}}=\frac{\tan ^{-1} y}{1+y^{2}}\)
Now (i) is a linear differential eqn. of die form \(\frac{d x}{d y}\) + P1x = Q1
Where P1 = \(\frac{1}{1+y^{2}}\) and Q1 = \(\frac{\tan ^{-1} y}{1+y^{2}}\)
Therefore, I.F = \(\int_{e} \frac{1}{1+y^{2} d y}=e^{\tan ^{-1} y}\)
Thus, the solution of the given differential eqn. is
Bihar Board 12th Maths Important Questions Long Answer Type Part 5 9
substituting tan-1 y = t
So that ( \(\frac{1}{1+y^{2}}\)) dy = dt
I = ∫tetdt = tet – ∫1.etdt = tet – et
= et (t – 1)
I = etan-1(tan-1 y – 1)
Substituting the value of l in eqn. (ii), we get
x etan-1y = e tan-1 y(tan-1 y – 1) + c
or, x = (tan-1y – 1) + c e-tan-1y
Which is the general solution of the given differential equation.

Bihar Board 12th Maths Important Questions Long Answer Type Part 5

Question 10.
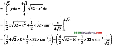
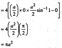
Find the area enclosed by the circle x2 + y2 = a2.
Solution:
The whole area enclosed by the given circle = 4 (area of the region AOBA bounded by the curve, x-axis and the ordinates x-0 and(x = a)
Bihar Board 12th Maths Important Questions Long Answer Type Part 5 10
As the region AOBA lies in the first quadrant y is taken as positive.
Integrating, we get the whole area enclosed by die given circle.
Bihar Board 12th Maths Important Questions Long Answer Type Part 5 11
Bihar Board 12th Maths Important Questions Long Answer Type Part 5 12

Differential Equation

Question 1.
Solve x cos(\(\frac{{y}}{{x}}\))(ydx + xdy) = ysin(\(\frac{{y}}{{x}}\))(xdy – ydx).
Solution :
Put y = vx ⇒ dy = vdx + xdv
So the given equation becomes
x cos v(xvdx + xvdx + x2 dv) = vx sin v(yxdx + x2 dv – vxdx)
⇒ x2 cosv(2vdx+xdv) = vx2 sinvdv
⇒ 2vdx + xdv = vx tan vdv.
Dividing both sides by vac
⇒ \(\frac{2 d x}{x}+\frac{d v}{v}\) = tan v dv. Intergrating, we get
2logx + logv = logseev + logc
x2v = cseev xy = c sec (\(\left(\frac{x}{y}\right)\))

Question 2.
Solve (1 + y2)dx = (tan-1 y – x)dy.
Solution:\(\frac{d x}{d y}=\frac{\tan ^{-1}-x}{1+y^{2}} \Rightarrow \frac{d x}{d y}+\frac{x}{1+y^{2}}=\frac{\tan ^{-1} y}{1+y^{2}}\) ……………. (1)
which is a linear equation of the form \(\frac{d x}{d y}\) + px = Q.
Bihar Board 12th Maths Important Questions Long Answer Type Part 5 13
Multiplying (1) with I.F. arid integrating, we get ac
x x IF = ∫ Q x IF dy
Bihar Board 12th Maths Important Questions Long Answer Type Part 5 14

Bihar Board 12th Maths Important Questions Long Answer Type Part 5

Question 3.
Solve (x + y)2\(\frac{d y}{d x}\) = a2
Solution:
Bihar Board 12th Maths Important Questions Long Answer Type Part 5 15

Question 4.
Show that xdy – ydx = \(\sqrt{x^{2}+y^{2}} \cdot d x\) is a homogeneous differential eqn. and hence solve it.
Solution:
Given eqn. xdy-ydx = \(\sqrt{x^{2}+y^{2}} \cdot d x\) .dx
or, \(x \cdot \frac{d y}{d x}-y=\sqrt{x^{2}+y^{2}}\)
Bihar Board 12th Maths Important Questions Long Answer Type Part 5 16……………..(i)
f(x) is homogeneous differential eqn
Put \(\frac{y}{n}\) = v
y = vx
\(\frac{d y}{d x}=v+x \cdot \frac{d v}{d x}\)
From eqn (i)
Bihar Board 12th Maths Important Questions Long Answer Type Part 5 17

Question 5.
Solve -x \(\frac{d y}{d x}\) = y. (log y – log x – 1)
Solution:
Given eqn is -x \(\frac{d y}{d x}\) = y. (log y – log x – 1
or, \(\frac{d y}{d x}=\frac{y}{x} \cdot\left(\log \frac{y}{x}-1\right)\)
put v = \(\frac{y}{x}\) ⇒ y = vx
∴ \(\frac{d y}{d x}=v+x \cdot \frac{d v}{d x}\)
From Eqn (i)
v + x \(\frac{d v}{d x}\) = v. (log v -1)
or x.\(\frac{d v}{d x}\) = v. (log v – 2)
or, \(\frac{d v}{v \cdot(\log v-2)}=\frac{d x}{\dot{x}}\)
or, \(\int \frac{d v}{v(\log v-2)}=\int \frac{d x}{x}\)
For L.H.S. put log v – 2 = t
1/v dv = dt
∴ From eqri. (ii),
\(\int \frac{d t}{f}=\int \frac{d x}{x}\)

or, log|t| = log|x| + log|c|
or, log|t| = log |x|; c
or, |t| = |x| .c
or, |log v — 2| = |x| c
or, |log(\(\frac{y}{x}\) – 2) = |x|.c
|log y – log x – 2| = c |x|

Bihar Board 12th Maths Important Questions Long Answer Type Part 5

Question 6.
Solve (x2 -1) \(\frac{d y}{d x}\)+2xy = \(\frac{2}{x^{2}-1}\)
Solution:
Bihar Board 12th Maths Important Questions Long Answer Type Part 5 18
Bihar Board 12th Maths Important Questions Long Answer Type Part 5 19

Question 7.
Solve \(\frac{d y}{d x}\) – 3y cot x = sin x given that y = 2 when x = \(\frac{\pi}{2}\)
Solution:
\(\frac{d y}{d x}\) – 3y cot x = sin x
Bihar Board 12th Maths Important Questions Long Answer Type Part 5 20
Bihar Board 12th Maths Important Questions Long Answer Type Part 5 21
or, 2 = -2 + c
c = 4
From eqn. (ii)
y = -2sin2x + 4sin3 x

Bihar Board 12th Maths Important Questions Long Answer Type Part 5

Question 8.
Solve \(\frac{d y}{d x}+\frac{1}{x}=\frac{e^{y}}{x}\)
Solution:
Bihar Board 12th Maths Important Questions Long Answer Type Part 5 22
⇒ iog|t| = log |x| + logc
⇒ log | 1 – e-y | = log |x| .c)
∴ 1 – e-y = c |x|

Question 9.
Solve (x + 2y3 )\(\frac{d y}{d x}\) = y
Solution:
Given (x + 2y3 )\(\frac{d y}{d x}\) = y
or, x + 2y3 = y\(\frac{d x}{d y}\)
or, y. \(\frac{d x}{d y}\) – x = 2y3
or, \(\frac{d x}{d y}+\left(\frac{-1}{y}\right)\). x = 2y2 …………. (i)
From eqn (i)
Bihar Board 12th Maths Important Questions Long Answer Type Part 5 23

Question 10.
\(\frac{d y}{d x}\) + ycot x = 2y2 cos x
Solution:
\(\frac{1}{y^{2}} \frac{d y}{d x}+\frac{1}{y} \cot x\) = 2cos x …………………..(1)
put \(\frac{1}{y}\) ⇒ \(\frac{1}{y^{2}} \frac{d y}{d x}=\frac{-d z}{d x}\)
∴ (1) ⇒ \(\frac{-d z}{d x}\) + zcotx = 2cos x
\(\frac{d z}{d x}\) z cot x = -2 cos x
∴ I.F = e-∫cotxdx = e-logsinx = cosec x
Multiplying (2) by IF and integrating, we have
zx cosec x = -∫ cosx . cosec xdx = -2 ∫ cot x dx
⇒ z cosec x = -2 log sin x + k ⇒ \(\frac{cosecx}{y}\) = -2logsin x + k

Bihar Board 12th Maths Important Questions Long Answer Type Part 5

Question 11.
\(\frac{d y}{d x}\) + y sec x = tan x
Solution:
I. F = e∫secx dx = e∫log(sec+tanx) = sec x + tan x
Multiplying the given eqn. with I.F.and integrating we get.
∴ y x (sec x + tan x) =∫ tanx(secx + tanx)dx
= ∫ tanx secx dx + ∫ (sec2x – 1)dx
⇒ y(secx + tan x) = sec x + tan x – x + k.

Question 12.
Evaluate ∫sec3 xdx
Solution:
I = ∫sec3 xdx = ∫sec2 x.sec xdx
⇒ I = secx∫sec2xdx – ∫ [\(\frac{d}{d x}\) (secx)∫sec2xdx]dx
= secx tanx – ∫secx – tanx tanxdx
= sec x tanx- ∫sec x(sec2 x – 1)dx
= sec x tan x – ∫sec3 xdx + ∫secdx
= secx tanx – I + log(secx + tanx) + k
⇒ 2I = sec x . tan x + log (secx + tan x) + k
⇒ I = \(\frac { 1 }{ 2 }\) secx tanx + \(\frac { 1 }{ 2 }\)log(secx + tanx) + c .

Question 13.
Evaluate ∫cos\(\sqrt{x} d x\)
Solution:
Let \(\sqrt{x} d x\) = z
⇒ x = z2 ⇒ dx = 2zdz
∴ I = ∫cos z. 2zdz = 2 ∫zcoszdz
= 2z∫coszdz – 2∫\(\frac{d}{d z}\)(z)∫ coszdz]dz
= 2zsinz- 2∫sinzdz
= 2 z sinz + 2 cos z + c
⇒ I = \(2 \sqrt{x} \sin \sqrt{x}+2 \cos \sqrt{x}\) + c

For each of the differential equations in exercises from 14 to 17, find a particular solution satisfying the given condition.

Question 14.
(x3 + x2 + x + x + 1)\(\frac{d y}{d x}\) = 2x2 + x; y = 1 when x = 0
Solution:
(x3 + x2 + x + x + 1)\(\frac{d y}{d x}\) = 2x2 + x;
or, (x3 + x2 + x + 1)dy = (2x2 + x )dx
Bihar Board 12th Maths Important Questions Long Answer Type Part 5 24

2x2 + x = A(x2 + 1) + (Bx + C)(x + 1)
= A(x2 +1) + B(x2 + x) + C( x + 1)
Put x = -1, 2 – 1 = A( 1 + 1) ⇒ A = \(\frac{1}{2}\)
Comparing the cofficients of x2 and x
2 = A + B and 1 = B + C
B = 2 – A = 2 – \(\frac{1}{2}=\frac{3}{2}\)
C = 1, B = 1 – \(\frac{3}{2}=-\frac{1}{2}\)
Bihar Board 12th Maths Important Questions Long Answer Type Part 5 25
[Note : for integrating \(\int \frac{2 x}{x^{2}+1} d x\), put x2 + 1 = t 1
We have y = 1 when x = 0
Putting these values
1 = \(\frac{1}{2}\)logl + \(\frac{3}{4}\)log1 – \(\frac{1}{2}\) tan-10 + c
= 0 + c is c = 1
Thus the solution is
y = \(\frac{1}{2}\) log(x + 1) + \(\frac{3}{4}\) (x2 + 1) – \(\frac{1}{2}\) tan-1 x + 1
= \(\frac{1}{4}2\)2log(x + 1) + \(\frac{3}{4}\)log(x2 + 1) – \(\frac{1}{2}\) tan-1 x + z
= \(\frac{1}{4}\)[Iog(x + 1)2 + log(x2 + 1)3] – tan-1 x + 1
= \(\frac{1}{4}\) log(x + 1)2(x2+1)2 – \(\frac{1}{2}\)tan-1 x + 1
This is the required solution.

Bihar Board 12th Maths Important Questions Long Answer Type Part 5

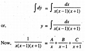
Question 15.
x(x2 – 1)dy/dx = 1
Solution:
x(x2 – 1)dy/dx = 1
or x(x2 – 1)dy = dx
∴ \(d y=\frac{d x}{x\left(x^{2}-1\right)}=\frac{d x}{x(x-1)(x+1)}\)
Integrating, we get
Bihar Board 12th Maths Important Questions Long Answer Type Part 5 26
1= A (x – 1) (x + 1) + Bx (x + I) + Cx (x-1)
Put x-0,1 = A (-1)(+1) ∴ A = -1
Put x = 1, 1 = B = 1.2 ∴ B = \(\frac{1}{2}\)
Put x = -1, 1 = C (-1) (-2) ∴ C = \(\frac{1}{2}\)
∴ y = \(\int \frac{d x}{x}+\frac{1}{2} \int \frac{1}{x-1} d x+\frac{1}{2} \int \frac{d x}{x+1}\)
= – log x + \(\frac{1}{2}\) log; (x -1) + \(\frac{1}{2}\) log(x +1) + log C
Multing by 2
2y = -2 log x + log (x – 1) + log (x + 1) + 2 log C.
= log \(\frac{x^{2}-1}{x^{2}}\) + 2 log C.
When x = 2, y = 0
∴ 0 = log \(\frac{4-1}{4}\) + 2 log C.
2 log C = -log\(\frac{3}{4}\)
Solution is
Bihar Board 12th Maths Important Questions Long Answer Type Part 5 27

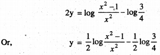
Question 16.
cos \(\frac{d y}{d x}\) = a; (a ∈ R), y = 1 when x = 0
Solution:
cos \(\frac{d y}{d x}\) = a ∴ \(\frac{d y}{d x}\) = cos-1a
or dy = (cos-1a)dx
Integrating
∫ dy = (cos-1a)∫dx or, y = (cos-1a)x + C
we have y = 2 when x = 0
2 = C
∴ Solution y = x(cos-1a) + 2 or cos-1 a = \(\frac{y-2}{x}\)
a = cos \(\frac{y-2}{x}\) is the reqd. solution.

Question 17.
Solution:
\(\frac{d y}{d x}\) = ytan x; y = 1 when x = 0
Solution:
\(\frac{d y}{d x}\) = ytan x
or, \(\frac{d y}{y}\) = tan xdx
Integrating we get
\(\int \frac{d y}{y}=\int \tan x d x\)
log y = – log cos x + log C
or, log y + log cos x = log C
or, lyg y cosx = log C
∴ y cos x = C
Putting y = 1, x = 0 => C = 1
∴ y cos x = 1
or, y = sec x is the solution.