BSEB Bihar Board 12th Maths Important Questions Short Answer Type Part 1 are the best resource for students which helps in revision.
Bihar Board 12th Maths Important Questions Short Answer Type Part 1
Relation & Functions
Question 1.
Prove that the function f :R→R given by f(x) = 2x is one-one & on to.
Solution:
For one-one – Take f(x1) = f(x2) .
⇒ 2x1 = 2x2
⇒ x1 = x2
∴ f is one-one.
For on to co-domain = R
Rage = y = 2x = 2 x R = R
∴ Co-domain = Rage
∴ f is on to
Hence f is one-one onto.
![]()
Question 2.
Show that the function f: N → N given by f(1) = f(2) = 1 & f(x) = x-1 for every x > 2 is on to but not one-one,
Solution:
∴ f(1) = f(2) = 1
∴ f is not one-one
∴ f(x) = x – 1
∵ Co -domain = N
∀ x > 2, Rage = N
∴ Co-domain = Rage
∴ f(x) is on to.

Question 3.
Let L be the set of all lines in a plane and# he the relation inL defined as R = { (L1 L2) : L1 is perpendicular to L2). Show that R is symmetric but neither reflexive nor transitive.
Answer:
a line L1 can not be ⊥r to itself.
R is not reflexive.
For symmetric — If L1 RL2
⇒ L2RL1

⇒ L1 is ⊥r to L2
⇒ L2 is ⊥r to L1
⇒ (L2,L1) ∈ R.
∴ R is symmetric
for transitive — If L1 RL2, L2RL3 = L1RL3
Given is ⇒ L1 is ⊥r L2
& . L2 is lr L3
⇒ L1||L3
⇒ L1 is ⊥r L2
⇒ L2 is ⊥r L3
⇒ L1||L3
∴ R is not transitive.
![]()
Question 4.
Show that the function f:R→R: f(x) =x3 is one-one and onto.
Solution:
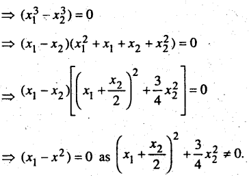
Given, f(x1) = f(x2) ⇒ x13 = x23

⇒ x1 = x2
⇒ f is one-one.
Let y ∈ R and 3; = x3; Then x = y1/3 e R.
Thus, for each y in the codonain R there exists y1/3 in R such that
f(y1/3) = (y1/3)3 = y
⇒ f is onto.
Hence, f is one-one to.
Matrix
Question 1.
If A = \(\left[\begin{array}{cc}
2 & 4 \\
3 & 2
\end{array}\right]\), B = \(\left[\begin{array}{ll}
1 & 3 \\
-2 & 5
\end{array}\right]\) , C = \(\left[\begin{array}{rr}
-2 & 5 \\
3 & 4
\end{array}\right]\) then find the value of (i) A- B (ii) 3A – C
Answer:

Question 2.
If A = \(\left[\begin{array}{rr}
3 & 1 \\
-1 & 2
\end{array}\right]\) Prove that A2 – 5. A + 7I= 0.
Solution:

Question 3.
If Aα = \(\left[\begin{array}{rr}
\cos \alpha & \sin \alpha \\
-\sin \alpha & \cos \alpha
\end{array}\right]\), Prove that AαAβ = AβAα = Aα+β
Solution:

AαAβ = AβAα = Aα+β
![]()
Question 4.
If A = \(\left[\begin{array}{ll}
3 & 2 \\
1 & 1
\end{array}\right]\)
Find the number a and b such that A2 + aA + bI = 0 where I is an identity matrix of order 2×2 and 0 is a 2 x 2 Zero matrix.
Solution:

Equation the respective elements of two matrices we get.
8 + 2a = 0 ⇒ a =—4
and 11 + 3a + b = 0 ⇒ 11 – 12 + b = 0 ⇒ b= 1
Hence .
a = -4, b = 1.
Determinants
Question 1.
Prove that \(\left|\begin{array}{ccc}
a+b+2 c & a & b \\
c & b+c+2 a & b \\
c & a & c+a+2 b
\end{array}\right|\) = 2(a + b + c)3
Solution:
Operating C1 + C2 + C3 is the determinant of L.H.S.

Question 2.
Find the area of the triangle with vertices (-2,-3), (3,2) and (-1,-8).
Answer:
Area of the triangle = \(\frac{1}{2}\left|\begin{array}{lll}
x, & y, & 1 \\
x_{2} & y_{2} & 1 \\
x_{3} & y_{3} & 1
\end{array}\right|\)
= \(\frac{1}{2}\left|\begin{array}{rrr}
-2 & -3 & 1 \\
3 & 2 & 1 \\
-1 & -8 & 1
\end{array}\right|=\frac{1}{2}\left|\begin{array}{rrr}
-5 & -5 & 0 \\
4 & 10 & 0 \\
-1 & -8 & 1
\end{array}\right|\) (R1 – R2, R2 – R3
= – 15 = 15 5q.units.
![]()
Question 3.
Find Values of k if area of triangle is 4 Sq. units and vertices are : (k, 0), (4,0)’, (0,2).
Solution:
Δ = \(\left|\begin{array}{lll}
1 & 1 & 1 \\
k & 4 & 0 \\
0 & 0 & 2
\end{array}\right|\) or, 4 = \(\left|\begin{array}{lll}
1 & 1 & 1 \\
k & 4 & 0 \\
0 & 0 & 2
\end{array}\right|\)
or, 4 = 2\(\left|\begin{array}{ll}
1 & 1 \\
k & 4
\end{array}\right|\) or, 4 = 2(4 – k)
or, 4 – k = 2 or, 4 = 2(4 – k)
or, 4 – k = 2 ∴ k = 2
4 – 2 = k
Inverse circular Function
Question 1.
Find the principal value of following :

Solution:
(i) Let sin-1([latex-\frac{1}{\sqrt{2}}][/latex]) = y
Then sin y = \(\frac{1}{\sqrt{2}}\) ≠ +ve (1st or 2nd quadram)
Last value of Angle \(\frac{\pi}{4}\)
∴ P. V of \(\sin ^{-1}\left(\frac{1}{\sqrt{2}}\right)=\frac{\pi}{4}\)
(ii) Let y = cot-1([latex-\frac{1}{\sqrt{3}}][/latex]) or cot y = [latex-\frac{1}{\sqrt{3}}][/latex]
We know that the range of principal value of Cot-1 is (0, π)

Hence P.V \(\frac{2 \pi}{3}\)
(iii) Ley y = sin-1 \(\frac{\sqrt{3}}{2}\)
then sin y = \(\frac{\sqrt{3}}{2}\)
∴ Range of Principal value of sin-1 is \(\left[\frac{-\pi}{2}, \frac{\pi}{2}\right]\)
∴ sin y = \(\frac{\sqrt{3}}{2} \sin \frac{\pi}{3}\)
∴ P.V \(\frac{2 \pi}{3}\)
(iv) Let y = sin-1 ( \(-\frac{1}{\sqrt{2}}\) )
or sin y = \(-\frac{1}{\sqrt{2}}\)
∵ Range of P.V of sin-1 is \(\left[\frac{-\pi}{2}, \frac{\pi}{2}\right]\)
∴ sin y = sin \(-\frac{\pi}{4}\)
∴ P.V = \(-\frac{\pi}{4}\)
(v) sin y = sin-1 (\(-\frac{1}{2}\))
∵ Range of P. V. of sin -1 is \(\left[\frac{-\pi}{2}, \frac{\pi}{2}\right]\)
∴ sin y = sin (-π/4)
∴ P.V = \(-\frac{\pi}{6}\)
Question 2.
Find the value of sin-1(sin \(\frac{3 \pi}{5}\)
Solution:
we knoe that,

![]()
Question 3.
Prove that \(2 \tan ^{-1} \frac{1}{3}+\tan ^{-1} \frac{1}{7}=\frac{\pi}{4}\)
Answer:


Question 4.
Prove that \(\tan ^{-1} \frac{\alpha-\beta}{1+\alpha \beta}+\tan ^{-1} \frac{\beta-\gamma}{1+\beta \gamma}+\tan ^{-1} \frac{\gamma-\alpha}{1+\gamma \alpha}\)

Question 5.
Prove that \(\sin ^{-1} \frac{4}{5}+\sin ^{-1} \frac{5}{13}+\sin ^{-1} \frac{16}{25}=\frac{\pi}{2}\)
Answer:

Question 6.
Solve 2tan-1(cosx) = tan-1(2 cosec x)
Answer:
2tan-1(cosx)
= \(\tan ^{-1}\left(\frac{2 \cos x}{1-\cos ^{2} x}\right)=\tan ^{-1}\left(\frac{2 \cos x}{\sin ^{2} x}\right)\)
Putting this valu in (1)
∴ \(\tan ^{-1}\left(\frac{2 \cos x}{\sin ^{2} x}\right)\) = s cosec x = \(\frac{2}{\sin x}\)
cos x = sin x or tan x = 1
⇒ x = \(\frac{\pi}{4}\)
Question 7.
\(\tan ^{-1} \frac{1-x}{1+x}=\frac{1}{2} \tan ^{-1} x\), x > 0
Answer:
\(\frac{1}{2} \tan ^{-1} x=\tan ^{-1} \frac{1-x}{1+x}\)

![]()
Question 8.
sin-1(1 – x) – 2sin-1 x – \(\frac{\pi}{2}\) then x is equal to
(A) 0, \(\frac{1}{2}\)
(B) 1, \(\frac{1}{2}\)
(C) 0
(D) \(\frac{1}{2}\)
Solution:
sin-1(1 – x) – 2sin-1 x – \(\frac{\pi}{2}\)
Putting \(\frac{\pi}{2}\) = sin-1(1 – x) + cos-1 (1-x)
-2sin-1 = cos-1(x-1)
Let sin-1 = α
-2sin-1 = -2α = cos-1(x-1)
or cos 2α = 1 – x
1 – 2cos2α = (1 – x)
Putting sin α = x
1 – 2x2 = 1 – x
or 2x2-x = 0
x(2x – 1) = 0 x = 0, \(\frac { 1 }{ 2 }\)
But x = \(\frac { 1 }{ 2 }\) does not satisfy the equation ∴ x = 0
∴ Part (C) is the correct answer.
Continuity and Differentiabiilty
Question 1.
f(x) = x sin \(\frac { 1 }{ x }\) , x ≠ 0 and f(0) = 0.
Solution:

= \(L_{h \rightarrow 0}\left(h \sin \frac{1}{4}\right)\) = 0
Also given that f(0) = O
![]()
So, function is continous at x = 0
Question 2.
Prove that every differentiable function is continuous also.
Solution:
Let the function f(x) is differentiable at x = a.

\(\underset{h \rightarrow 0}{L t}\) f(a -h) – f(a) = f1(a) x 0 = 0
\(\underset{h \rightarrow 0}{L t}\) f(a – h) = f(a)
\(\underset{h \rightarrow 0}{L t}\)f(a + h) \(\underset{h \rightarrow 0}{L t}\)f(a
So, \(\underset{h \rightarrow 0}{L t}\) f(a+h) = \(\underset{h \rightarrow 0}{L t}\) f(a-h) = f(a)
∴ f(x) is continuous at x = a.
![]()
Differentiation
Question 1.
Differentiate the following w.r.t to x.
(i) Cos(sin(log a))
(ii) log (x + \(\sqrt{a^{2}+x^{2}}\)
(iii) log \(\sqrt{\frac{1-\cos x}{1+\cos x}}\)
(iv) loge (logen
(v) ta-1\(\left(\frac{1-x}{1+x}\right)\)
(vi) sin(x2 + 1)
(vii) tan-1\(\frac{\sqrt{1+x^{2}}-1}{x}\)
(viii) (logx)logx
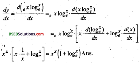
(ix) (x)x
(x) (logx)x + xlogx
(xi) cos (a cos x + b sin x)
(xii) xcos-1x
(xiii) esinx + (tanx)x
Solution:(i) Let Sin (logx) = t, log x = v
∴ y = cos t , t = sin v = log x

(ii) Let y = log(x + \(\sqrt{a^{2}+x^{2}}\))
Diff w.r.to x

(iii) Let y = \(\sqrt{\frac{1-\cos x}{1+\cos x}}\) = log \(\sqrt{\frac{2-\sin ^{2} x / 2}{2 \cos ^{2} x / 2}}\)
or y = log \(\sqrt{\tan ^{2} x / 2}=\log \left(\tan \frac{x}{2}\right)\)
Diff w.r.to x

(iv) Let y = log3 (log)xe
Diff w.r.to x
\(\frac{d y}{d x}=\frac{d\left(\log _{e}\left(\log _{e}^{x}\right)\right)}{d x}=\frac{1}{\log _{e}^{x}} \cdot \frac{1}{x}\)
(v) Let y = \(\tan ^{-1}\left(\frac{1-x}{1+x}\right)\)
Diff w.r.to x

![]()
(vi) Let y = sin(x2 + 1)
Diff w.r.to x
\(\frac{d y}{d x}=\frac{d\left(\sin \left(x^{2}+1\right)\right)}{d x}=\cos \left(x^{2}+1\right) \cdot \frac{d\left(x^{2}+1\right)}{d x}\)
cos (x2 + 1).(2x + 0) = 2xcos (x2 + 1)
(vii) Let y = tan-1\(\frac{\sqrt{1+x^{2}-1}}{x}\) put x = tan θ 1 + x2 = sec2

Differentiability with respect for, we get
\(\frac{d y}{d x}=\frac{1}{2\left(1+x^{2}\right)}\)
(viii) Let y = (logx)x
⇒ log y = log x log (log x)
differentiablity w. r. for , we get

(ix) Let y = xx = exlogex
With restpect to x

(x) Let y = (log)x + xlogx
y = elogex + elogex. logex
Diff With respect to x

(xi) Let y = cos (a cos x + bsin x)
⇒ \(\frac{d y}{d x}\) = -sin (a cos x + b sin x_) \(\frac{d}{d x}\) (acos x +b sin x)
= -sin(a cos x + b sin x ). (-a sin x + b cos x)
(xii) Let y = ecos-1x
cos-1x.loex
or y = e
Diff With respect to x

![]()
(xiii) Let y = esinx + (tanx)x + (tan x)x = esinx + exloge tan x
Diff w.r.to x

Question 2.
If y = sin(tan-12x) then prove that \(\frac{d y}{d x}=\frac{2}{\left(1+4 x^{2}\right)^{3 / 2}}\)
Solution:
Put tan-1 2x = t
y = sin(tan-12x) = sin t
\(\frac{d y}{d t}\) = cos t
∴ tan -12x = t
