Bihar Board 12th Maths Important Questions Short Answer Type Part 1 in Hindi

BSEB Bihar Board 12th Maths Important Questions Short Answer Type Part 1 are the best resource for students which helps in revision.

Bihar Board 12th Maths Important Questions Short Answer Type Part 1

संबंध एवं फलन

प्रश्न 1.
साबित करें कि फलन f :R→R जहाँ f(x) = 2x एकैक तथा अच्छादक है।
उत्तर:
एकैक के लिए
f(x1) = f(x2) लिया
⇒ 2x1 = 2x2
⇒ x1 = x2.
∴ f एकैक है।
आच्छादक के लिए
प्रभाव क्षेत्र = R
परास = y = 2x = 2 x R = R
∴ प्रभाव क्षेत्र = परास
∴ f आच्छादक है।
अत f एकैक आच्छादक है।
Bihar Board 12th Maths Important Questions Short Answer Type Part 1 in Hindi 1(ii)

Bihar Board 12th Maths Important Questions Short Answer Type Part 1 in Hindi

प्रश्न 2.
f : N→N इस प्रकार हों कि f(1) = f(2) = 1 एवं f(x) = x-1 ∀ x>2 तो सिद्ध करें कि फलन | अच्छादक है परन्तु एकैक नहीं है।
उत्तर:
∵ f(1) = f(2) = 1
∴ f एकैक नहीं है।
∵ f(x) = x – 1
∵ प्रभाव क्षेत्र = N
∀ x>2 परास = N
∵ प्रभाव क्षेत्र = परास
∴ f(x) अच्छादक है।
Bihar Board 12th Maths Important Questions Short Answer Type Part 1 in Hindi 1(i)

प्रश्न 3.
यदि किसी समतल में खींचे गये सभी सरल रेखाओं का समुच्चय L हो तथ R समुच्चय L में कोई संबंध इस प्रकार हो कि R=<(LpL2) < L1, तथा L2 परस्य लम्ब है। तो सिद्ध करें कि संबंध R सम्मित है परन्तु न तो स्वतुल्य और न ही सकर्मक है।
उत्तर:
∵ एक रेखा L1 स्वयं पर लम्ब नहीं हो सकता है।
∴ R स्वतुल्य नहीं है।
सम्मित के लिए-
यदि L1RL2
L2RL1
L2RL1 पर लम्ब है।
= L1 L2 पर लम्ब है।
(L2, L1) ∈ R
सकर्मक के लिए, यदि L1RL2, L2RL3
L1 RL3 दिया है, . 41,
L1 , L2 पर लम्ब है और L2, L3 पर लम्ब है। =
L1 //L3 दिया है,
∴ R संकर्मक नहीं है।

Matrices (आव्यूह)

प्रश्न 1.
यदि A= \(\left[\begin{array}{ll}
3 & 2 \\
1 & 1
\end{array}\right]\) तो a और b का मान ज्ञात करें जब A2 + aA + bI = 0
उत्तर:
Bihar Board 12th Maths Important Questions Short Answer Type Part 1 in Hindi 1
⇒ 4 + a = 0 ⇒ a = -4 तथा 3 + a + b + 0
⇒ 3 – 4 + b = 0 ⇒ b = 1 अतः a = -4, b = 1.

प्रश्न 2.
यदि A = \(\left[\begin{array}{cc}
3 & 1 \\
-1 & 2
\end{array}\right]\) सिंद्व करें कि A2 – 5A + 7I = 0
उत्तर:
Bihar Board 12th Maths Important Questions Short Answer Type Part 1 in Hindi 2

Bihar Board 12th Maths Important Questions Short Answer Type Part 1 in Hindi

प्रश्न 3.
यदि Aα = \(\left[\begin{array}{cc}
\cos \alpha & \sin \alpha \\
-\sin \alpha & \cos \alpha
\end{array}\right]\) सिंद्व करें कि AαAβ = AβAα = Aα+β
उत्तर:
Bihar Board 12th Maths Important Questions Short Answer Type Part 1 in Hindi 3
Bihar Board 12th Maths Important Questions Short Answer Type Part 1 in Hindi 4
∴ AαAβ = AβAα = Aα+β

प्रश्न 4.
यदि A = \(\left[\begin{array}{ll}
2 & 4 \\
3 & 3
\end{array}\right]\), B = \(\left[\begin{array}{rr}
1 & 3 \\
-2 & 5
\end{array}\right]\), C = \(\left[\begin{array}{rr}
-2 & 5 \\
3 & 4
\end{array}\right]\) तो (i) A – B (ii) 3A – C का मान यात करें
उत्तर:
Bihar Board 12th Maths Important Questions Short Answer Type Part 1 in Hindi 5

Bihar Board 12th Maths Important Questions Short Answer Type Part 1 in Hindi

Determinants

प्रश्न 1.
यदि A = \(\left[\begin{array}{lll}
1 & 0 & 1 \\
0 & 1 & 2 \\
0 & 0 & 4
\end{array}\right]\) तो सिद्ध करें कि |3A| = 27|A|
उत्तर:
3A = 3\(\left[\begin{array}{lll}
1 & 0 & 1 \\
0 & 1 & 2 \\
0 & 0 & 4
\end{array}\right]\) = \(\left[\begin{array}{ccc}
3 & 0 & 3 \\
0 & 3 & 6 \\
0 & 0 & 12
\end{array}\right]\)
= 3. \(\left|\begin{array}{cc}
3 & 6 \\
0 & 12
\end{array}\right|\)
= 3 x (36 – 0) = 3 x 36
= 108

RHS = 27|A|
= 27\(\left|\begin{array}{lll}
1 & 0 & 1 \\
0 & 1 & 2 \\
0 & 0 & 4
\end{array}\right|\)
= 27 x 4\(\left|\begin{array}{ll}
1 & 0 \\
0 & 1
\end{array}\right|\)
= 27 x 4 = 108
Hence L.H.S = R.H.S

प्रश्न 2.
यदि त्रिभुज का क्षे० 4 वर्ग मात्रक हो तथा शीर्षों के नियामक निम्न हो तो k मानों को ज्ञात करें । (k, 0), (4,0), (0, 2).
उत्तर:
Δ = \(\left|\begin{array}{lll}
1 & 1 & 1 \\
k & 4 & 0 \\
0 & 0 & 2
\end{array}\right|\) या, 4 = \(\left|\begin{array}{ccc}
1 & 1 & 1 \\
k & 4 & 0 \\
0 & 0 & 2
\end{array}\right|\)
या, 4 = 2 \(\left|\begin{array}{ll}
1 & 1 \\
k & 4
\end{array}\right|\) या, 4 = 2 (4 – k)
⇒ 4 – 2 = k या, 4 – k = 2
∴ k = 2

Bihar Board 12th Maths Important Questions Short Answer Type Part 1 in Hindi

प्रश्न 3.
Show that \(\left|\begin{array}{ccc}
a & b & c \\
a+2 x & b+2 y & c+2 z \\
x & y & z
\end{array}\right|\) = 0
उत्तर:
\(\left|\begin{array}{ccc}
a & b & c \\
a+2 x & b+2 y & c+2 z \\
x & y & z
\end{array}\right|\) = 0
= \(\left|\begin{array}{lll}
a & b & c \\
a & b & c \\
x & y & z
\end{array}\right|+\left|\begin{array}{lll}
a & b & c \\
2 x & 2 y & 2 z \\
x & y & z
\end{array}\right|\) = 0 + 0 = 0 = RHS

प्रश्न 4.
सिद्ध करें कि \(\left|\begin{array}{ccc}
a+b+2 c & a & b \\
c & b+c+2 a & b \\
c & a & c+a+2 b
\end{array}\right|\) =2 (a + b + c)3
उत्तर:
c1 + c2 + c3 की क्रिया करने पर,
Bihar Board 12th Maths Important Questions Short Answer Type Part 1 in Hindi 6
Bihar Board 12th Maths Important Questions Short Answer Type Part 1 in Hindi 6

प्रश्न 5.
(-2,–3), (3, 2), (-1, -8) शीर्ष वाले A का क्षेत्रफल ज्ञात करें।
उत्तर:
(x, y), (x2, y2), (x3,y3) शीर्ष वाले Δ???? का क्षेत्रफल
= \(\frac { 1 }{ 2 }\) \(\left|\begin{array}{lll}
x_{1} & y_{1} & 1 \\
x_{2} & y_{2} & 1 \\
x_{3} & y_{3} & 1
\end{array}\right|\)
∴ अभीष्ट Δ का क्षेत्रफल = \(\frac{1}{2}\left|\begin{array}{ccc}
-2 & -3 & -1 \\
3 & 2 & -1 \\
-1 & -8 & 4
\end{array}\right|\)
= \(\frac{1}{2}\left|\begin{array}{ccc}
-5 & -5 & 0 \\
4 & 10 & 0 \\
-1 & -8 & 1
\end{array}\right|\) (R1 – R2, R2 – R3) = \(\frac{1}{2}\left|\begin{array}{cc}
-5 & -5 \\
4 & 10
\end{array}\right|\)
= \(\frac { 1 }{ 2 }\) (-50+20) = -15 = 15 वर्ग इकाई

Bihar Board 12th Maths Important Questions Short Answer Type Part 1 in Hindi

Trigonometry

प्रश्न 1.
निम्न का प्रधान मान ज्ञात करें :
(i) sin-1 (\(\frac{1}{\sqrt{2}}\))
(ii) cot -1(\(\frac{1}{\sqrt{3}}\))
(iii) sin -1(\(\frac{\sqrt{3}}{2}\))
(iv) sin -1(\(-\frac{1}{\sqrt{2}}\))
(v) sin -1(\(-\frac { 1 }{ 2 }\))
उत्तर:
(i) Let sin -1 (\(\frac{1}{\sqrt{2}}\)) = y
Then sin y = \(\frac{1}{\sqrt{2}}\) = +ve
Bihar Board 12th Maths Important Questions Short Answer Type Part 1 in Hindi 7
∵ Least value of Angle \(\frac{\pi}{4}\)
∵ PV of sin-1 (\(\left(\frac{1}{\sqrt{2}}\right)=\frac{\pi}{4}\))

(ii) Let y = cot-1\(-\frac{1}{\sqrt{3}}\)
या, cot y = \(-\frac{1}{\sqrt{3}}\)
We know that the range of principal value of cos-1 is (0,π)
∴ cot y = cot \(\frac{\pi}{3}\) = cot (π – \(\frac{\pi}{3}\) = cot \(\frac{2 \pi}{3}\) )
Hence P.V. \(\frac{2\pi}{3}\)

(iii) Ley y = sin\(\frac{\sqrt{3}}{2}\)
Then sin y = \(\frac{\sqrt{3}}{2}\)
∵ Range of Principal value of sin-1 is [ \(\frac{-\pi}{2}, \frac{\pi}{2}\) ]
∴  sin y = \(\frac{\sqrt{3}}{2}\) = sin \(\frac{\pi}{3}\)
∴  P.V = \(\frac{\pi}{3}\)

(iv) let y = sin-1( \(-\frac{1}{\sqrt{2}}\) )
या, sin y = \(\frac{1}{\sqrt{2}}\)
∵ Range of P.V of sin-1 is [ \(-\frac{\pi}{2}, \), \(\frac{\pi}{2}\)]
∴ sin y = sin \(\frac{\pi}{4}\)
∴ P.V = \(\frac{\pi}{4}\)

(v) let y = sin-1( \(\frac {1}{2}\))
∵ Range of P.V of sin-1 is [ \(\frac{-\pi}{2}, \frac{\pi}{2}\) ]
sin y = \(-\frac {1}{2}\) = sin( \(-\frac{\pi}{6}\))
∴ P.V = \(-\frac{\pi}{6}\)

प्रश्न 2.
Prove the following :
(i) 3 sin-1 x = sin-1 (3x – 4x3), x ∈ [-\(\frac {1}{2}\), \(\frac {1}{2}\) ]
(ii) 3 cos-1 x = cos-1 (44 – 3x), x ∈ [1/2, 1]
(iii) tan-1 \(\frac{2}{11}\) + tan-1 \(\frac{7}{24}\) = tan-1 \(\frac{1}{2}\)
(iv) 2 tan-1 \(\frac{1}{2}\) + tan-1\(\frac{1}{7}\) = tan-1\(\frac{31}{17}\)
उत्तर:
Solution to(i)
Let sin-1x = θ sinθ = x
sin 3θ = 3 sinθ – 4sin3θ = 3x – 4x3.
3θ = sin-1 (3x – 4x3)
or, 3sin-1 sin-1(3x – 4x3), x ∈ [ \(-\frac{1}{2}, \frac{1}{2}\)]

(ii) Let cos-1x = θ ∴ cos θ = x
Now cos3θ = 4cos3θ – 3cosθ = 4x3 – 3x
or, 3θ = cos-1(4x3 – 3x)
or, 3cos-1 = cos-1(4x3 – 3x), x ∈ [ \(-\frac{1}{2},1\)]

Bihar Board 12th Maths Important Questions Short Answer Type Part 1 in Hindi

Bihar Board 12th Maths Important Questions Short Answer Type Part 1 in Hindi 8 Bihar Board 12th Maths Important Questions Short Answer Type Part 1 in Hindi 9

प्रश्न 3.
सिद्ध करें कि sin-1\(\frac{4}{5}\) + sin-1\(\frac{5}{13}\) + sin-1\(\frac{16}{65}\) = \(\frac{\pi}{2}\)
उत्तर:
Bihar Board 12th Maths Important Questions Short Answer Type Part 1 in Hindi 37
Bihar Board 12th Maths Important Questions Short Answer Type Part 1 in Hindi 10

प्रश्न 4.
व्यजक sin-1 (sin \(\frac{3 \pi}{5}\)) का मान ज्ञाता करें |
उत्तर:
We know that
Bihar Board 12th Maths Important Questions Short Answer Type Part 1 in Hindi 11

Bihar Board 12th Maths Important Questions Short Answer Type Part 1 in Hindi

प्रश्न 5.
सिद्ध करें 2tan-1 \(\frac{1}{3}\) + tan-1 \(\frac{1}{7}\) = \(\begin{array}{l}
\pi\\
4
\end{array}\)
उत्तर:
Bihar Board 12th Maths Important Questions Short Answer Type Part 1 in Hindi 12

प्रश्न 6.
सिद्ध करें कि \(\tan ^{-1} \frac{1}{3}+\tan ^{-1} \frac{1}{5}+\tan ^{-1} \frac{1}{7}+\tan ^{-1} \frac{1}{8} \frac{\pi}{4}\)
उत्तर:
Bihar Board 12th Maths Important Questions Short Answer Type Part 1 in Hindi 13

Calculus

प्रश्न 1.
किसी बिन्दु पर फलन के सतता की परिभाषा दें
उत्तर:
Continuity at a print → A function f(x) is said to be continuous at print x = a if.
L.H.L. at x = a = R.H.L. at r= a =f(a)

प्रश्न 2.
फलान f(x) का पूलबिंदु पर सताता जाँचें |
\(f(x)=\left\{\begin{array}{ll}
\frac{|x|}{x} & x \neq 0 \\
1, & x \neq 0
\end{array}\right.\)
उत्तर:
Bihar Board 12th Maths Important Questions Short Answer Type Part 1 in Hindi 14
Bihar Board 12th Maths Important Questions Short Answer Type Part 1 in Hindi 15

Bihar Board 12th Maths Important Questions Short Answer Type Part 1 in Hindi

प्रश्न 3.
फलान f(x) की सताता जाँचें |
\(f(x)\left\{\begin{array}{ll}
2 x-1, & x<0 \\
2 x+1, & x \geq 0
\end{array}\right.\)
उत्तर:
When x < 0; f(x) = 2x – 1 = Polynomial function When x > 0 f(x) = 2x + 1= Polynomial function
∴ Polynomial function is continuous every where.
∴ f(x) will be continuous for x > 0, x < 0 at x = 0
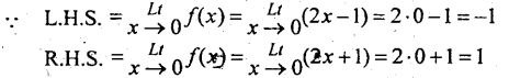
Bihar Board 12th Maths Important Questions Short Answer Type Part 1 in Hindi 16
Bihar Board 12th Maths Important Questions Short Answer Type Part 1 in Hindi 38
∵ L.H.S. ≠ R.H.S.
∴ f(x) is discountinuous at x = 0

प्रश्न 4.
यदि फलन \(f(x)=\left\{\begin{array}{ll}
\frac{x-4}{x-4} & x \neq 1 \\
& x \neq 4
\end{array}\right.\) हो तो सिंद्वकरें कि f(x) ; x = 4 को छोडकर प्रत्येक स्थान पर सतत होगा
उत्तर:
Bihar Board 12th Maths Important Questions Short Answer Type Part 1 in Hindi 17
when x<4 then f (x)=-1 = constant function. When x > 4 then f(x) = 1 = constant function.
∵Constant function is continuous every where.
∴ f(x) will be continuous for x < 4, x > 4 at x = 4.
Bihar Board 12th Maths Important Questions Short Answer Type Part 1 in Hindi 18
∵ LHS = \(\underset{x \rightarrow 4}{L t} f(x)\)
\(\underset{x \rightarrow 4}{L t}\) (-1) = 1
f(4) = 0
∵ LHS ≠ f(4)
∴ f(x) is not continous at x = 4
Hence f(x) is every where continuous except at x = 4.

प्रश्न 5.
सिद्ध करें कि फलन f (x) = 2x – |x|, x = 0 पर सतत है
उत्तर:
Given f(x) = 2 x – |x|
Bihar Board 12th Maths Important Questions Short Answer Type Part 1 in Hindi 19
∵ LHS \(\underset{x \rightarrow 0}{L t} f(x)\) = \(\underset{x \rightarrow 0}{L t}\)3(x) = 3.0 = 0
RHS \(\underset{x \rightarrow 0}{L t} f(x)\) = \(\underset{x \rightarrow 0}{L t}\) (x) = 0
f(0) = 0
∵ L.H.S. = R.H.S. = f(0)
∴ f(x) is continuous at x = 0

Bihar Board 12th Maths Important Questions Short Answer Type Part 1 in Hindi

प्रश्न 6.
यदि फलन \(f(x)\left\{\begin{array}{ll}
3 a x+b & x>1 \\
11, & x=1, x=1 \\
5 a x-2 b, x<1
\end{array}\right.\) पर सतत हो तो a एवं b का मान ज्ञत करें
उत्तर:
Bihar Board 12th Maths Important Questions Short Answer Type Part 1 in Hindi 20
∵ f(x) is continuous at x = 1
∴ L.H.S. = R.H.S. = f(1)
∴ 5a – 2b = 3a + b = 11
∴ 5a – 2b = 11 …………………(i)
& 3a + b = 11 …………………(ii)
समी० (i) समी० (ii) x 2
5a-2b + 6a +2b = 11 + 22
या 11a = 33 ⇒ a = 3
समी० (i) से
b = 2

Differentiation

प्रश्न 1.
निग्न फलन का x के सापेक्ष अवकल करें :
(i) log\(\tan \left(\frac{\pi}{4}+\frac{x}{2}\right)\)
(ii) log \(\left(x+\sqrt{a^{2}+x^{2}}\right)\)
(iii) log \(\sqrt{\frac{1-\cos x}{1+\cos x}}\)
(iv) tan-1 \(\frac{\sqrt{1+x^{2}}-1}{x}\)
(v) y = log(logx)
(vi) cos-1 \(\frac{2 x}{1+x^{2}}\)
(vii) (log x)log x
(viii) sin (log x)
(ix) \(\sqrt{\sin } \sqrt{x}\)
(x) (sin x)cos-1x
(xi) (logx)x + xlogx
(xii) \(\sqrt{\sin \sqrt{x}}\)
(xiii) xcos-1x
(xiv) esin x + (tan x)x
(xv) (sinx)cos-1x
(xvi) cos (a cos x + b sin x)
उत्तर:
माना कि y = log tan \(\left(\frac{\pi}{4}+\frac{x}{2}\right)\)
Diff w.r.t x
Bihar Board 12th Maths Important Questions Short Answer Type Part 1 in Hindi 22

Bihar Board 12th Maths Important Questions Short Answer Type Part 1 in Hindi

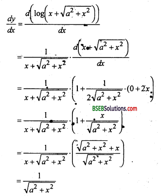
(ii) Let y = log( x + \(\sqrt{a^{2}+x^{2}}\))
Diff w.r.t x
Bihar Board 12th Maths Important Questions Short Answer Type Part 1 in Hindi 23

(iii) let y = \(\log \sqrt{\frac{1-\cos x}{1+\cos x}}=\log \sqrt{\frac{2-\sin ^{2} x / 2}{2 \cos ^{2} x / 2}}\)
Bihar Board 12th Maths Important Questions Short Answer Type Part 1 in Hindi 24

(vi) Let g = tan-1\(\frac{\sqrt{1+x^{2}}-1}{x}\) Put x = tan θ ⇒ 1 + x2 = sec2 θ
Bihar Board 12th Maths Important Questions Short Answer Type Part 1 in Hindi 25

Bihar Board 12th Maths Important Questions Short Answer Type Part 1 in Hindi

(v) माना कि y = log(logx)
मान लिया कि log x = v
y = log V
∴ \(\frac{d y}{d x}=\frac{1}{V} \cdot \frac{d v}{d x}\)
= \(\frac{1}{\log x} \cdot \frac{d(\log x)}{d x}=\frac{1}{\log x}\)
= \(\frac{1}{x \log x}\)

(vi) माना कि
y = sin-1 5x + cos-1√x [sin-1θ + cos-1θ = π/2]
= π/2
∴ \(\frac{d y}{d x}=\frac{d}{d v}\) (π/2) = 0

(vii) माना कि y = (logx)log x
∴ log y = log x . log(log x)
x के सापेक्ष अवकलन करने पर
Bihar Board 12th Maths Important Questions Short Answer Type Part 1 in Hindi 26
Bihar Board 12th Maths Important Questions Short Answer Type Part 1 in Hindi 27

(viii) माना कि y = sin(log.x)
\(\frac{d y}{d x}\) = cos (log x). \(\frac{d}{d x}\) (log x)
= \(\frac{\cos (\log x)}{x}\)

(ix) Ley y = xx = elogex
Diff w.r.to x
Bihar Board 12th Maths Important Questions Short Answer Type Part 1 in Hindi 28

(x) Let y = (sin x)cos-1xe = cos-1 x. log sin ex
Diff w.r.to x
Bihar Board 12th Maths Important Questions Short Answer Type Part 1 in Hindi 29

(xi) Let y = (log)x + xlog x
Bihar Board 12th Maths Important Questions Short Answer Type Part 1 in Hindi 30
Bihar Board 12th Maths Important Questions Short Answer Type Part 1 in Hindi 31

Bihar Board 12th Maths Important Questions Short Answer Type Part 1 in Hindi

(xii) माना कि y = y = \(\sqrt{\sin \sqrt{x}}\)
Bihar Board 12th Maths Important Questions Short Answer Type Part 1 in Hindi 32

(xiii) Let y = xcos-1x
cos-1xloge<sup.x या y = e
Diff w.r.to x
Bihar Board 12th Maths Important Questions Short Answer Type Part 1 in Hindi 33

(xiv) Let y = esin x + (tan x)x = esin x + exlogetanx
Diff w.r.to x
Bihar Board 12th Maths Important Questions Short Answer Type Part 1 in Hindi 34
Bihar Board 12th Maths Important Questions Short Answer Type Part 1 in Hindi 35

(xv) Let y = (sin)cos-1x = e cos-1 x. logesin x
Diff w.r.to x
Bihar Board 12th Maths Important Questions Short Answer Type Part 1 in Hindi 36

Bihar Board 12th Maths Important Questions Short Answer Type Part 1 in Hindi

(xvi) Let y = cos (a cos x + b sin x)
⇒ \(\frac{d y}{d x}\) = -sin (a cos x + b sin x)\(\frac{d}{d x}\) (a cos x + b sin x)
= -sin(a cos x + b sin x) (-a sin x + b cos x)