BSEB Bihar Board 12th Physics Important Questions Short Answer Type Part 1 are the best resource for students which helps in revision.
Bihar Board 12th Physics Important Questions Short Answer Type Part 1
Question 1.
Equipotential surfaces of seme electric field are shown in figure If V1, V2, drawn the approximate distribution of the fines of force of the field and indicate thin direction. Determine in which region is the field intensity larger?

Answer:
We know that the lines of force are perpendicular to equipotential surfaces. Therefore, they are shown by dotted line in figure. Thin direction is from higher potential to lower potential. Field intensity is larger on the left side where equipotential surfaces are move denser.
Question 2.
What do you mean by sensitivity of a potentiometer and how can you increase it?
Answer:
The sensitivity of a potentiometer means the smallest potential difference that can be measured with it help. The sensitivity of a potentiometer can be increased by decreasing its potential gradient. This can be achieved by:
- increasing the length of potentiometer wire
- by decreasing current in potentiometer wire circuit (if wire is of fixed length) with the help of rheostat.
Question 3.
A metal sphere A of radius a is charged to potential V. What will be its potential if it is enclosed by a spherical conducting shell B of radius b and the two are connected by a wire?
Answer:
If ‘q’ be the charge on sphere A, then its potential is V = \(\frac{q}{4 \pi \epsilon_{0} a}\)
∴ q = (4π∈0a) V …….(i)

When A is inclosed by a shell B and the two are conn entire charge q of A is transfered to outer surface of B.

As sphere A is inside B. Therefore final potential of
A = VA = VB = \(\frac{a}{b}\)V
i.e. VA < V. (as a < b)
This mean potential of Ais reduced from its original value.
Question 4.
A concave lens and a convex lens of same focal length and placed in contact coaxially. Find the focal length and Power of this combination.
Answer:
Let P1, and P2 be the power’s of the convex and concave lense respectively. Then the power of the combination is P = P1 + P2
But P2 = -P1 because both have the same power but of opposite nature.
∴ P = P1 +(-P1) = 0(zero)
i.e. the power of this combination is zero.
But \(P=\frac{1}{f} \Rightarrow f=\frac{1}{P}=\frac{1}{0}=\infty\)
i.e. the focal length of this combination is infinity.
Thus, the combination behaves like a simple glass slab.
Question 5.
What is total internal reflection? Write two condition for it.
Answer:

Total Internal reflection: When light rays in rare medium from denser medium, it go away from the normal at that point of the interface, i.e. anlge of refection (r) is greater than angle of incidence (i) with increase of ∠i, ∠r also
Increases and at a particular angle of incidence (i) the angle of refraction becomes 90°. Now, if the value of i is increased further more, the refracted rays do not go into other medium, it come back to the same madium. As shown in the fig. This phenomena of light is called total internal reflection. The angle of incidence ic corresponding to which angle of refraction is r = 90°. is called critical angle value depends upon the nature of the two medium and since \(\frac{\mu}{\mu_{2}}\)
Condition for total internal reflection.
- The light rays must go from denser to rave medium
- i > ic must be
Question 6.
What is optical fibres? Write its main use.
Answer:
Optical Fibre: It is an optical device used to send optical signal at distant places without lose of intensity of light. This is also based on the phenomenon of total interval reflection. Optical fibres consists of several thousands of very long fine quality fibres of glass or quartz.

The diameter of enach fibre is of the order of 10-4 cm with refractive index of material being of the order 1.5 the fibres are covered with a thin layer of material of lower refractive index of the order 1.48. This called Clading to prevent from rubing serach. Clading is also covered with a Jacket.
Now a days. Optical fibres are used in several ways-
- In medical test i.e. in endoscopy as light pipe. A bundle of optical fibres is called light pipe.
- In tranmissian and reception of eletrical signal by coverting them first into light signal.
- It also used in telephone and other transmitting cables. Each fibre can carry upto 2000 telephone massage.
Question 7.
Focal length of a convex lens is increased when it is immersed in water wholly, why?
Answer:
The focal length of a lens is given by the relation

where µ is the refractive index of the material of the lens, µ1 is the refractive index of the medium r1 and r2 are the radius of curvature of the curved surfaces of the lens.
Hence for the given lens


Hence the focal length of lens in waterwill be greater than that in air.
Question 8.
What do you understand by dispersion of light?
Answer:
When a ray of white light passes through prism is, split up into its constituent colours. This is known as “dispersion of light.”
The constituent colours i.e. seven colouer may be easily remembered by word “VIBGYOR”. The violet rays are deviated most and the red rays are least. The deviation of the remaining five colours lies between two colours.
Let δν and δr are the diviations for the extreme violet and red rays and ur and uv are&the refractive indices respectively.
∴ δν = (µν – 1)A
and δr = (µr – 1)A where A is the angle of prism.
∴ Dispersion angle = δν – δr
= (µν – µr)A
The difference in deviation for the extreme violet and red is known as angular dispersion.
Question 9.
What is power of a lens?
Answer:
Power of a lens is inversely proportional to the focal length. The unit of power is diopter (D).
∴ Power = \(\frac{1}{\text { focal length in metres }}\)
Power of convex lens is taken as (+ ve) but concave lens is taken as (-ve).
Question 10.
What do you mean by magnifying power of an instrument?
Answer:
The magnifying power of instrument represents the ability of the instrument to show a magnified view of the object to the eye. In case of a telescope the magnifying power is defined as the ratio of the angle subtended by the final image at the eye of the angle subtended by object in its actual position at the unaided eye.
Question 11.
What do you understand by persistence of vision?
Answer:
When an eye looks at an objects its image is formed at the ratina. If the object is removed the sensation of the image remains for \(\frac{1}{10}\) sec. This is called persistence of vision. This is because even if the light is withdrawn from the ratina it remains sensitised up to \(\frac{1}{10}\) sec. more.
Example: When a luminous object is rotated it appears like a luminous ring due to persistence of vision.
Question 12.
What is light year?
Answer:
The distance travelled by light in vacuum in one year is called light year.
Dimension of light year = [L]
The distance travelled in vacuum in one second = 3 × 108m
one light year = 365 × 24 × 60 × 60 × 3 × 108
= 9.461 × 1015 metre
= 9.461 × 1011 km.
Question 13.
Why red lamp is used in signal of danger?
Answer:
According to Lord Rayleigh, intensity of scattering of light ray (I) inversely proportional to the fourth power of wavelength (λ) of ray.
i.e., I ∝ \(\frac{1}{\lambda^{4}}\)
As red light has got largest wavelength so its scattering will be much lesser so it moves to a greater distance than any other ray. So it is used in signal.
Question 14.
Explain why sky appears blue?
Answer:
Lord Rayleigh found that light is reflected in all direction by the molecules of the atmosphere. This type of reflection is called scattering of light. He showed that intensity of scattered light (I) varies inversely as the fourth power of the wavelength of light (λ)
i.e, I ∝ \(\frac{1}{\lambda^{4}}\)
Now the wavelength of blue and violet is small than red rays. Hence blue and violet rays are more scattered than red rays. Thus the scattered light is rich in blue and violet in sky. Due to this reason the light received by the observer is rich in blue. Hence sky appears blue.
Question 15.
What are Fraunhofer lines?
Answer:
‘Continuous spectrum” is obtained from sunlight. It consists of seven colours. ‘Fraunhofer’ first observed that there are not only seven colours but many dark lines also in this spectrum. Some of these lines are clear but some are not clear and there are nearly 700 such lines. Fraunhofer named clear lines as A, B, C, D, E, F, G, H and K. These are called ‘Fraunhofer lines.’
Line A lies in last portion and line B and C lies in middle portion of red colour. Line D lies between yellow and orange. E and F lies near to Green and Indigo respectively. G is in blue portion and H, K lines is violet region.
The reason for their existence was first told by ‘Kirchoff.’
Question 16.
Why sky appears red at the time of sunrise and sunset?
Answer:
Lord Rayleigh showed that intensity of scattered light (l) varies inversely as the fourth power of wavelength of light (λ)
i.e, I ∝ \(\frac{1}{\lambda^{4}}\)
When the sun is near the horizon the sun’s rays reach the earth after traversing a very large thickness of air. These rays are scattered by air molecules dust particles etc. The wavelength of blue and violet is smaller than red rays. Hence blue and violet rays are more scattered than red rays. Thus most of the violet and blue light is lost by scattering. Hence the light received by the observer is rich in red. Due to this cause the sun appears red at rising and setting.
Question 17.
Explain why dark lines are observed in solar spectrum?
Answer:
The sun has two parts-
- Photosphere,
- Chromosphere

According to Kirchoff, photosphere is so hot that given out white light which would give continuous spectrum. But this photosphere is surrounded by atmosphere chromosphere. It consists of vapours of various element at a lower temp, than the photosphere vapours of the elements present absorb just those colours which they exit and so the continuous spectrum is crossed by a set of dark lines. So dark lines are observed in solar spectrum.
Question 18.
On clear night, the stars in the sky are seen to be twinkling.
Answer:
The density of the atmosphere becomes less as we go up to higher levels. A ray, coming from a star at night has to pass through layers of air of different refractive indices. The refractive index of air varies periodically even at the same level. This rays of light from a star are sometimes concentrated at a point and sometimes decrease in intensity. Therefore, the star appears to be moving in a small area. Hence the stars are seen to be twinkling.
Question 19.
Compare the difference between interference and diffraction.
Answer:
- The phenomenon of interference takes place between two separate move fronts starting from coherent source, whereas diffraction is the effect of interference taking place between the secondary wavelets starting from different points of the same wavefront.
- All the bright fringes in interference are of equal intensities but diffraction fringes are of different intensities.
- In the interference all the fringes are of equal width but in diffraction, the fringes are not of the same width.
- In the interference pattern the minima is almost dark but it is not so in diffraction pattern.
Question 20.
What do you mean by Laser?
Answer:
The English word Laser is an abbreviation of “Light wave Amplification by Stimulated Emission of Radiation”. A Laser is a device which produces a highly concentrated, monochromatic, coherent and unidirectional beam of light. The typical operating frequency of a laser is 1015 Hz in visible region.
A laser is the modified form of masses which uses microwaves instead of light. The principle of laser work on stimulated emission and self emission.
Various types of lasers-
- Solid lasers (Ruby lasers)
- Helium Neon laser
- Liquid laser
- Gaseous laser
- Semi-conductor laser.
Lasers find wide applicational in different branches of science, technology and in surgery etc.
Such as, laser beam acts as a sharp knife and is used to perform bloodless surgery. In high speed photography, it is used to obtain very sharp images of moving objects, laser beam is also used for automatic control and guidance of rockets and satellite. It can also be used to destroy aeroplanes missiles and tanks.
Question 21.
What do you mean by resolving power of an instrument?
Answer:
The resolving power on the other hand, represents the ability of the instrument to show the five details in the object to the eye. It is measured by details in the object to the eye. It is measured by the angle subtended at the objective by two object points which are just resolved. Smaller the value of this angle, higher is said to the resolving power.
Question 22.
What is photocells?
Answer:
A photocell is an arrangement that converts light energy into electrical energy. There are two main types of photoelectric cells-
- Photo emissive,
- Photovoltaic.
The photocell are widely used in various fields.
Such as-
- In reproduction of sound in films.
- In scanning system of television.
- In transmission of pictures to distant places.
- In photoelectric countess for counting objects.
- In automatic light switches for switching components in. On and switching off the street light.
- In alarms to detect thieves.
- In determination of temperature of stars.
- An photoelectric sorter for sorting out objects.
Question 23.
What is Polaroids? Give its uses.
Answer:
Polaroids: If light beam is allowed to pass through polaroids, plane polarised light is obtained from it. It is made up of Herapathite crystal with their optic axis parallel. The layer of crystal are mounted between glass sheets so that crystal are not spoilt.

Two polaroid films mounted separately in rings between thin glass plates are used. In the paralleled position (Fig. a), light vibrating in the plane indicated by paralleled lines is transmitted. In the cross position (Fig. b.) the axes of the polaroids are perpendicular to each others. So no light is transmitted.
Uses:
- Inpolaroids sunglasses.
- In window panes of Aeroplanes and A.C. Bogie of trains.
- In headlight of Automobiles.
- In three dimensional motion pictures
- For producing and analysing of polarised light in laboratory.
Question 24.
Write Imitation of coulomb’s law.
Answer:
Limitation of coulomb’s law:
- It is valid for point charge.
- It is strictly applicable for static charge.
- Coulomb’s law fails to explain the stability of nucleus where a number of +ve charge protons exist and they are closely packed.
- Coulomb’s force is not valid for a distance less than 10-14 m and greater then kilometer.
Question 25.
What do you mean by permittivity of the medium. Write its unit and dimension.
Answer:
Permittivity of the medium: It is an electrical characteristic of the medium which indicates that how much electrical properties propage in the medium when a charge or charged body is placed there. It is denoted greek letter ∈. It is SI unit is C2/Nm2 and dimension M-1L-3T4A2.
Question 26.
Draw electric field lines for two point charges of same magnitude dated near by.
Answer:

Question 27.
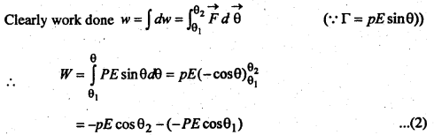
Obtain expresion for potential energy of an electric dipole in a uniform electric field.
Answer:
Electric Potential energy of a dipole: The work done in deflecting electric dipole from electric field is stored as potential energy called its electric potential energy.
i.e., W = ∆U = Uf – Ui
Where Ui and Uf are pot. energy in initial (θ = θ1) and final (θ = θ2) position.

on compansion of equ. (1)and(2), we get
Uf = Uθ2= -PE cosθ2 & Ui = Uθ1 = -pE cosθ1
∴ We can write for electric pot. energy of dipole
U = -pE cosθ = \(-\vec{p} \cdot \vec{E}\)
This is the required expression.
Question 28.
What do you mean by dielectric break down and dielect strength?
Answer:
Dielectric break down: Where dielectric metarial is placed in external electric field, it gets polarised and polarisibilty is proportional to the electric field applied. If the electric field is more than a certain value, the electrons get away from parent molecules and begin to strick in the other molecules with high velocity. The result is more an more free electrons in the substance and it becomes a conducted. This phenomenon is called dielectric break down.
Dielectric strength: The magnitude of the maximum electric field that a dielectric material can withstand without the occurrence of the breakdown is called its dielectric strength. After this electric spark begins to start for dry air at normal pressure dielectric strength is about -3 × 106 Vm-1
Question 29.
What is electric dipole?
Answer:
Two equal and opposite charges seperated by a very small distance apart constitutes an electric dipole or doublet
Let q is the magnitude of the charge. Distance between the charges are 2l.
Hence electric moment of the dipole
= Charge . Distance
= 2lq
Question 30.
Expression for torque on an electric dipole placed in a uniform electric field.
Answer:
Consider a electric dipole AB of length 2l. It is placed in uniform electric field E. Its charges are +Q and -Q. It makes an angle with field E.
The force acting on A and B = QE

These two forces are equal, parallel and act at the two ends of dipole and so constitute a couple.
∴ Torque = Force × perpendicular distance
= QE · AC
= QE · 2l sin α
= PE sinα
[∵ 2lQ = P (dipole moment)]
In a uniform electric field, if l = 0 then torque and force will be zero.
But if α = 90° and E = 1 then
Torque = P
= Electric dipole moment.
Question 31.
What is electric field and expression for electric field due to a point charge?
Answer:
Electric field: Electric field at a point is defined as the force acting upon a unit position charge.
Expression for electric field:

Let +Q is a point charge at A. P is a point at a distance x from A. A unit positive charge is placed at P.
According to Coulomb’s law

Its unit is volt per mitre (Vm-1) or Newton per coulomb (NC-1).
Question 32.
What is Conservation of charge?
Answer:
Electric charge of an isolated system is conserved. It can neither be created or destroyed.
For this, consider a glass rod and silk cloth. On nibbing glase rod with silk some (+ve) charge is developed on glass rod and an equal amount of (-ve) charge is developed on silk. Net charge of the system is zero which is equal to zero before rubbing.
Question 33.
Is Coulomb’s law a universal law?
Answer:
Coulomb’s law is not universal law because it depends upon the nature of the medium in which charge are placed. More over this law is valid for point charges at rest.
Question 34.
Differentiate the difference between the electrical intensity and the electric potential at a point in an electric field.
Answer:
Following are the points of difference between an electric intensity and potential at a point in an electric field:

Question 35.
Deduce an expression for the electric intensity near a charged plane conductor.
Or, State coulomb’s theorem and prove it.
Answer:
Let us consider a plane conductor S on whose AB the surface density of charge is O. Let P be a point near this surface where the intensity or. the electric field E due to the charged conductor is to be calculated. Now we assume such a cylindrical surface abed where curved surfaces are perpendicular to the AB surface while the plane surface ab and cd are parallel to AB and that the point P is situated on the plane surface ab, while cd surface is inside the conductor. Let ds be the area of the surface ab and cd. As the direction of the intensity of the electric field is perpendicular to the surface of the conductor, hence the electric flux passing through the curved surface of the cylindrical surface will be zero. As the intensity inside a charged conductor is zero, hence the electric flux passing through cd will also be zero as cd is inside the conductor AB.

Hence the electric flux passing through ab will be ex ds. This also is the total electric flux passing through the cylindrcal surface.
Now the change on the area ds will be σ ds.
Hence, according to Gauss’s theorem the total flux on the cylindrical surface.

Question 36.
Capacity is increased on placing metallic slab between parallel plate condenser. Why?
Answer:
The capacity of a parallel plate condenser with air between the plates.
(c1) = \(\frac{\epsilon_{0} a}{d}\) ……….(1)
Where a = Area of plate
d = Distance between two plates
On placing metallic slab between the plates the capacity
(c2) = \(\frac{\epsilon_{0} a}{d-1}\left(1=\frac{1}{\epsilon_{r}}\right)\) ……..(2)
Where ∈r = Relative permittivity of medium
From Eq. (1), we found that on placing metallic slab the thickness of air medium is decreased by
\(t\left(1-\frac{1}{\epsilon_{r}}\right)\)
Hence the capacity of condenser is increased.
Question 37.
What do you understand by conductor and insulator?
Answer:
(i) Conductors are material in which charge can flow from one part to another.
Example: Metal, human body etc.
Insulator are material in which charge cannot flow from one part to another.
Example: Glass, rubber etc.
Some materials are having properties in between conductor and insulator. These are called semi-conductors.
Example: Germenium, silicon etc.
(ii) Electrons in atoms of conductor are free and they can easily flow independently but in insulators they are bounded, hence cannot flow independently. Due to this charge cannot flow.
Question 38.
What is capacity of capacitor?
Answer:
Let Q charge is given to collecting plate of a capacitor. The potential difference between the plates becomes V.
∴ Q ∝ V
= CV
Where C is constant quantity which is called capacity of a capacitor.
If V = 1 then Q = C
Hence the capacity of a capacitor is defined as the charge given to the collecting plate by which the potential difference between the plates become unity.
Its unit is Farad, millifarad, microfarad etc. It depends on (i) the area of the plates, (ii) on the distance between the plates, (iii) on the nature of the medium between plates.
Question 39.
What do you understand by electric current?
Answer:
Flow of charge in a conductor is called electric current. It is defined as the charge flowing per second i.t. rate of flow of charge.
If a amount of charge flows through a conductor in t seconds.
∴ Electric current = \(\frac{Q}{t}\)
The value of current remind unattered even if the conductor be twitted.
It is a scalar quantity. Its unit is ampere.
Question 40.
State and explain Ohm’s law.
Answer:
When the current flows through conductor then Ohm gave a relation between current and potential difference.
Law- “At constant temperature, the potential difference between the ends of the conductor is proportional to the current flowing through it.”
Let I be the current flows through conductor. The potential difference between the ends of the conductor is V.
Hence V ∝ I
= RI
When R is a constant quantity which is known as resistance of the conductor.
Question 41.
Explain the variation of resistance with temperature.
Answer:
If the change of temperature is small the resistance of a conductor changes according to the following relation
Rt = R0(1 + αt)
Where R0 → resistance at 0°C
Rt → resistance at t°C
α → Temperature coefficient of the resistance.
If the change is temperature be large, the resistance of a conductor is expressed as
Rt = R0[1 + αt + βr2 ]
Where α and β are the constant of the conductor.
Question 42.
Define the terms (i) Specific resistance or Resistivity, (ii)Conductivity, (iii) Specific conductivity and state their units.
Answer:
(i) The resistance (R) of a body depends upon the length (l) and the area of the cross section (A).
Hence R ∝ l
∴ R \(\propto \frac{1}{A}=\rho \frac{l}{A}\)
Where ρ is a constant depending upon the nature of the body. This constant is called “specific resistance or Resistivity.”
If l = 1 m, A = 1 then ρ = R.
Hence the specific resistance or resistivity of a body is numerically equal to the resistance of a body of length 1 m and cross sectional area 1 m2.
Its unit is “Ohm metre (Ωm)”.
(ii) The reciprocal of the resistivity of a body is called “conductivity or conductance”. If R be the resistance then conductivity k = \(\frac{1}{R}\).
Its unit is “mho” (Ω-1m-1).
(iii) The reciprocal of the specific resistance of a body is called “specific conductivity or conductance.” If ρ be the specific resistance then
Specific conductivity (σ) = \(\frac{1}{\rho}\)
Its unit is “per Ohm metre”.
Question 43.
What is difference between e.m.f. and potential difference?
Answer:
| e.m.f | potential difference |
| 1. It is the difference of potential between two electrodes of a cell on open circuit. | 1. It is the difference of potential between any two points in a closed circuit. |
| 2. It does not depend upon the resistance of the circuit. | 2. The potential diff. between two points is proportional to the resistance. |
| 3. It exists even when the circuit is not closed. | 3. It exists only when the circuit is closed i.e. when current flows in the circuit. |
| 4. It is greater than the p.d. between any two points of a conductor. | 4. It is always lower than e.m.f. |
| 5. It is measured in volts. | 5. It is also measured in volts. |
Question 44.
A potentiometer can measure potential differences as well as current. Explain how?
Answer:
A potentiometer consists of long wire. A known potential difference can be established across the wire of the potentiometer. The unknown potential difference source is connected at the two points of a certain length of this wire in opposite sense and the length of the wire is so used that no current flows through the second circuit. The potential difference between the points of the wire (of a particular length) give the value of the unknown potential difference.
For the measurement of an unknown current a standard resistance of known value is used. The unknown is passed through this standard resistance and the potential difference thus developed is measured by the potentiometer as explained above. By knowing the value of the potential difference the value of the unknown current can be calculated as the value of the resistance is known.
Question 45.
What is maximum power theorem? Give its proof also.
Answer:
Maximum Power theorem:
“The power given to the load by the source will be maximum when the laoad resistance is equal to the internal resistance of the source.” This condition is known as maximum power theorem.

Proof: Let a source of emf E & internal resistance r is connected to external resistance R (load) through which a currnet ‘i’ is passed. Then power consumed by the load is

This is the condition for maximum power.
Question 46.
Write and explain Ampere’s circuital law:
Answer:
Ampere’s circuital law: This law states that ’the line integral of magnetic field induction \(\vec{B}\) around a closed path in vacuum is equal to µ0 times the total current I threading the closed path.”

Let us consider an open surface with a boundary C and a current I is passing through it. If \(\vec{B}\) be magnetic field induct at any point on the boundary then the product of tangential component (Bt) and elemental length dl that point is
Bt.dl = Bcosθdl = \(\vec{B} \cdot \overrightarrow{d l}\)
The summation of all such product over closed boundary Σ\(\vec{B} \cdot \overrightarrow{d l}\) tends to integral \(\oint \vec{B} \cdot \overrightarrow{d l}\) which is called line integral of \(\vec{B}\) around, the close path or loop.
Thus according to Ampere’s circuital law,
\(\oint \vec{B} \cdot \overrightarrow{d l}\) = µ0I
Here I = Σi = total current threading the closed path.
There is a sign convension involves with this relation. Which is given by Right hand thumb’s rule. If the sense of closed path traversed in the direction of curvature of the fingers of right hand the current is taken +ve along the thumb which is perpendicular to curvature of the fingers.

Question 47.
How does a hot wire ammeter measures an alternating current?
Answer:
As the name suggests the heating effect of current is used for measuring an a.c by a hot wire ammeter. The unknown current is allowed to pass through the metallic wire (of the ammeter) that gets expanded due to heating effect and this expansion is converted into certain deflection of a pointer on a scale-both being inside the hot wire ammeter. If Q be the quantity of heat produced and be the value of the (unknown) current then,
Q ∝ I2
The expansion in the wire is also proportional to the square of the current. It is clear that direction of the flow of the current immaterial. In an a.c. the heat produced in wire through which the current flows depends only on the magnitude and not on the direction of the current flowing. This is the reason that a hot wire ammeter measured are a.c.